A Wafer Pre-Alignment Algorithm Based on Weighted Fourier Series Fitting of Circles and Least Squares Fitting of Circles
Abstract
1. Introduction
2. Circle Fitting Method
2.1. Fitting the Center of the Wafer by WFC
2.2. Fitting the Arc of the Wafer by LSC
2.3. Pre-Alignment Algorithm
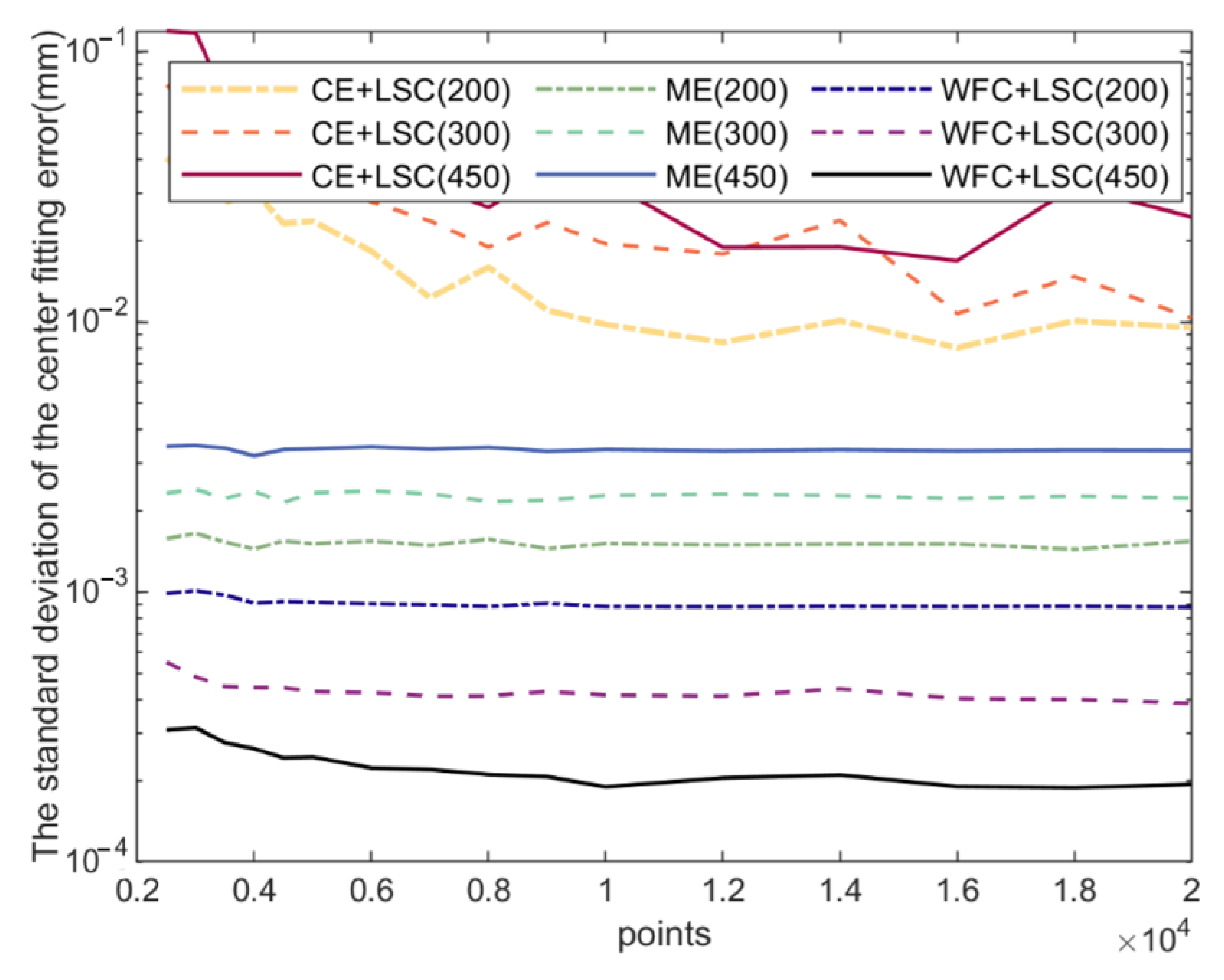
3. Simulation Analysis
3.1. WFC Simulation Analysis
3.2. Pre-Alignment Simulation and Result
4. Conclusions
Author Contributions
Funding
Data Availability Statement
Conflicts of Interest
References
- Wei, Y. Advanced Lithography Theory and Application of VLSI; Science Press: Beijing, China, 2016; ISBN 978-7-03-048268-6. [Google Scholar]
- Cong, M.; Du, Y.; Shen, B.; Jin, L.; Baek, S.Y. Robotic Wafer Handling Systems for Integrated Circuit Manufacturing: A Review. ROBOT 2007, 29, 261–266. [Google Scholar] [CrossRef]
- Lee, H.; Jeon, J.W.; Kim, J.; Jung, S.; Byun, J. A 12-inch wafer prealigner. Microprocess. Microsyst. 2003, 27, 151–158. [Google Scholar] [CrossRef]
- Chien, J.; Wu, M.; Lee, J. Inspection and Classification of Semiconductor Wafer Surface Defects Using CNN Deep Learning Networks. Appl. Sci. 2020, 10, 5340. [Google Scholar] [CrossRef]
- Wan, F.; Luo, H.; Liu, J. Online High-Precision Vision Measurement Method for Large-Size Gear Parameters. In Proceedings of the 2019 2nd International Conference on Robot Systems and Applications, Moscow, Russia, 4–7 August 2019; pp. 20–24. [Google Scholar]
- Shim, J.H.; Nam, T.H. Machine Vision Based Automatic Measurement Algorithm of Concentricity for Large Size Mechanical Parts. J. Phys. Conf. Ser. 2017, 806, 12002. [Google Scholar] [CrossRef]
- Huang, C.; Cao, Q.; Fu, Z. New wafer prealigner based on multi-sensor fusion. In Proceedings of the 2008 7th World Congress on Intelligent Control and Automation, Chongqing, China, 25–27 June 2008; pp. 3455–3458. [Google Scholar]
- Rong, W.; Song, Y.; Qiao, S.; Sun, L.; Zhao, Y.; Li, C. Research on Wafer Pre-alignment System. ROBOT 2007, 331–336. [Google Scholar] [CrossRef]
- Huang, C.; Cao, Q.; Fu, Z.; Leng, C. The development of a wafer prealigner based on the multi-sensor integration. Assem. Autom. 2008, 28, 77–82. [Google Scholar] [CrossRef]
- Zhang, Z.; Wang, X.; Zhao, H.; Ren, T.; Xu, Z.; Luo, Y. The Machine Vision Measurement Module of the Modularized Flexible Precision Assembly Station for Assembly of Micro- and Meso-Sized Parts. Micromachines 2020, 11, 918. [Google Scholar] [CrossRef] [PubMed]
- Xu, J.; Hu, H.; Lei, Y.; Liu, H. A Wafer Prealignment Algorithm Based on Fourier Transform and Least Square Regression. IEEE Trans. Autom. Sci. Eng. 2017, 14, 1771–1777. [Google Scholar] [CrossRef]
- Tao, W.; Zhong, H.; Chen, X.; Selami, Y.; Zhao, H. A new fitting method for measurement of the curvature radius of a short arc with high precision. Meas. Sci. Technol. 2018, 29, 75014. [Google Scholar] [CrossRef]
- Fu, Z.; Huang, C.X.; Liu, R.Q.; Zhao, Y.Z.; Cao, Q.X. Wafer prealigning robot based on shape center calculation. Ind. Robot Int. J. 2008, 35, 536–540. [Google Scholar] [CrossRef]
- Cong, M.; Kong, X.; Du, Y.; Liu, J. Wafer pre-aligner system based on vision information processing. Inf. Technol. J. 2007, 6, 1245–1251. [Google Scholar] [CrossRef]
- Caja, J.; Maresca, P.; Gómez, E.; Barajas, C.; Berzal, M. Metrological characterization of interior circular features using digital optical machines: Calculation models and application scope. Precis. Eng. 2014, 38, 36–47. [Google Scholar] [CrossRef]
- Yu, J.; Wen, Y.; Yang, L.; Zhao, Z.; Guo, Y.; Guo, X. Monitoring on triboelectric nanogenerator and deep learning method. Nano Energy 2022, 92, 106698. [Google Scholar] [CrossRef]
- Ladrón De Guevara, I.; Muñoz, J.; de Cózar, O.D.; Blázquez, E.B. Robust Fitting of Circle Arcs. J. Math. Imaging Vis. 2011, 40, 147–161. [Google Scholar] [CrossRef]
- Qu, D.; Qiao, S.; Rong, W.; Song, Y.; Zhao, Y. Design and Experiment of The Wafer Pre-alignment System. In Proceedings of the 2007 International Conference on Mechatronics and Automation, Harbin, China, 5–8 August 2007; pp. 1483–1488. [Google Scholar]
- Araci, S.; Acikgoz, M. Construction of Fourier expansion of Apostol Frobenius–Euler polynomials and its applications. Adv. Differ. Equ. 2018, 2018, 67. [Google Scholar] [CrossRef]
- Kim, J. New Wafer Alignment Process Using Multiple Vision Method for Industrial Manufacturing. Electronics 2018, 7, 39. [Google Scholar] [CrossRef]











Disclaimer/Publisher’s Note: The statements, opinions and data contained in all publications are solely those of the individual author(s) and contributor(s) and not of MDPI and/or the editor(s). MDPI and/or the editor(s) disclaim responsibility for any injury to people or property resulting from any ideas, methods, instructions or products referred to in the content. |
© 2023 by the authors. Licensee MDPI, Basel, Switzerland. This article is an open access article distributed under the terms and conditions of the Creative Commons Attribution (CC BY) license (https://creativecommons.org/licenses/by/4.0/).
Share and Cite
Chen, J.; Lan, Z.; Xue, C.; Lan, J.; Liu, Z.; Yang, Y. A Wafer Pre-Alignment Algorithm Based on Weighted Fourier Series Fitting of Circles and Least Squares Fitting of Circles. Micromachines 2023, 14, 956. https://doi.org/10.3390/mi14050956
Chen J, Lan Z, Xue C, Lan J, Liu Z, Yang Y. A Wafer Pre-Alignment Algorithm Based on Weighted Fourier Series Fitting of Circles and Least Squares Fitting of Circles. Micromachines. 2023; 14(5):956. https://doi.org/10.3390/mi14050956
Chicago/Turabian StyleChen, Jingsong, Zhou Lan, Cheng Xue, Jun Lan, Zhenghao Liu, and Yong Yang. 2023. "A Wafer Pre-Alignment Algorithm Based on Weighted Fourier Series Fitting of Circles and Least Squares Fitting of Circles" Micromachines 14, no. 5: 956. https://doi.org/10.3390/mi14050956
APA StyleChen, J., Lan, Z., Xue, C., Lan, J., Liu, Z., & Yang, Y. (2023). A Wafer Pre-Alignment Algorithm Based on Weighted Fourier Series Fitting of Circles and Least Squares Fitting of Circles. Micromachines, 14(5), 956. https://doi.org/10.3390/mi14050956

