Micro Electro-Osmotic Thrusters of Power-Law Fluids for Space Propulsion
Abstract
1. Introduction
2. Electrodynamic Mathematical Model
2.1. Electric Potential and Ionic Concentration Distributions
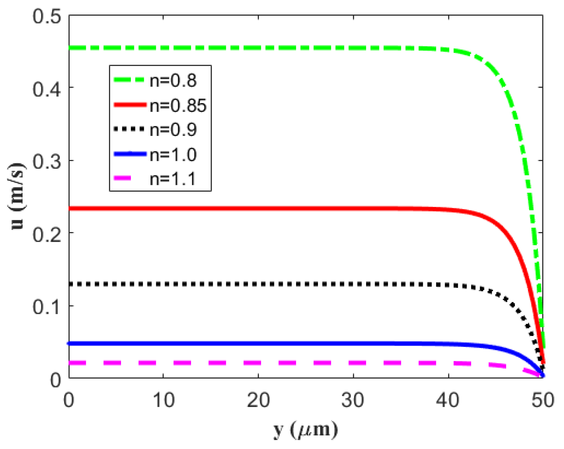
2.2. Fluid Velocity Distribution
3. Thruster Performance Analysis
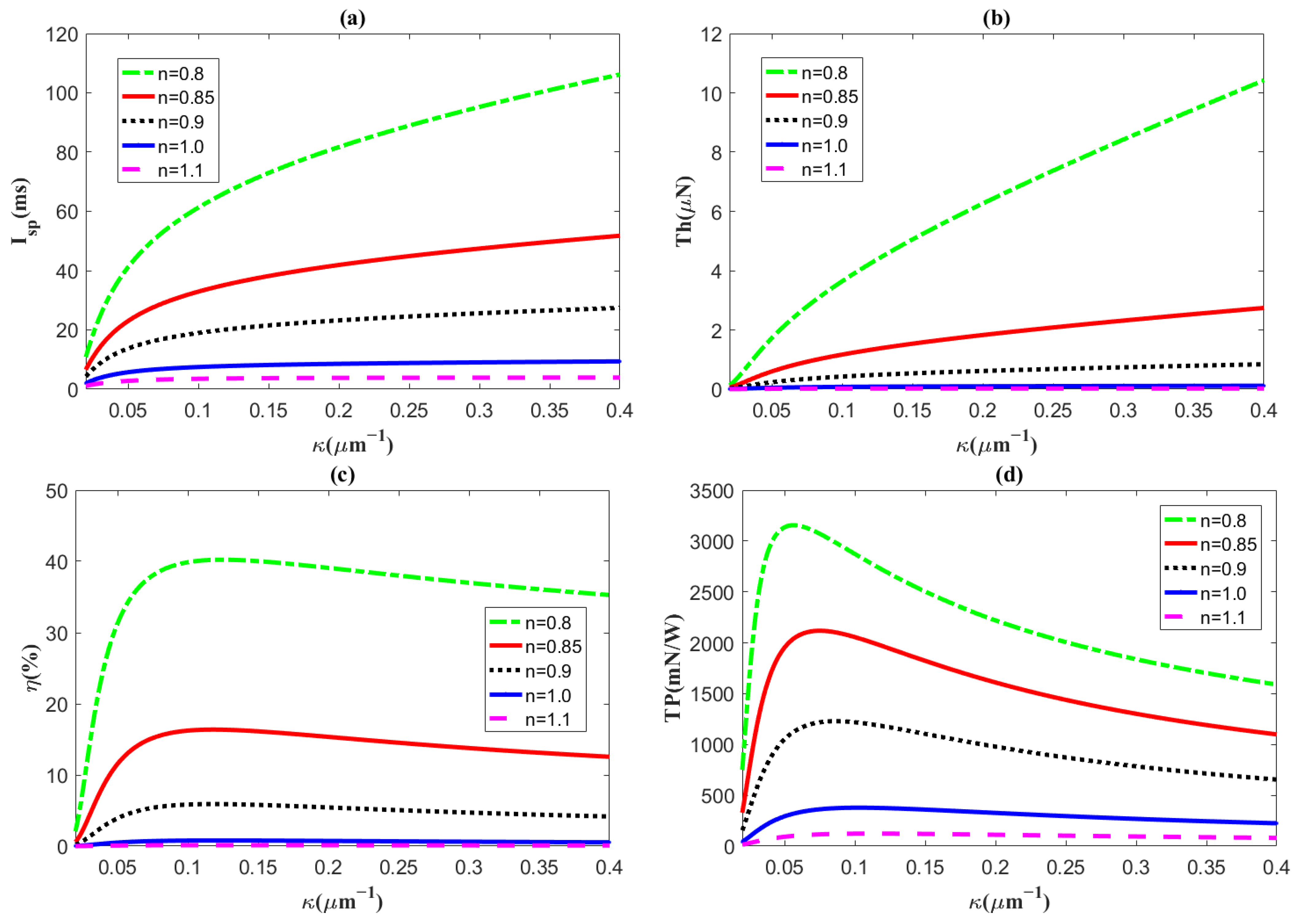
3.1. Specific Impulse
3.2. Thrust
3.3. Efficiency
3.4. Thrust-to-Power Ratio
4. Results and Discussion
5. Conclusions
Author Contributions
Funding
Data Availability Statement
Acknowledgments
Conflicts of Interest
Nomenclature
| L | length of the channel, mm |
| W | width of the channel, μm |
| H | depth of the channel, μm |
| Ex | Electric field strength, V m−1 |
| x, y | two-dimensional coordinate components, μm, μm, respectively |
| x *, y * | dimensionless two-dimensional coordinate components |
| e | proton charge = 1.602 × 10−19 °C |
| z | valence number of ions |
| n0 | ion density, m−3 |
| Kb | Boltzmann constant = 1.38 × 10−23 J K−1 |
| Tav | absolute temperature of the system, K |
| u | fluid velocity, m/s |
| u* | dimensionless fluid velocity |
| uHS | Helmholtz–Smoluchowski electro-osmotic velocity, m/s |
| m | flow consistency index |
| n | flow behavior index |
| Isp | specific impulse of thruster, s |
| Isp* | dimensionless specific impulse of thruster |
| Th | thrust of thruster, N |
| Th* | dimensionless thrust of thruster |
| Pin | total power input, W |
| Pin* | dimensionless total power input |
| K | kinetic energy per unit time, W |
| K* | dimensionless kinetic energy per unit time |
| Pj | Joule heating effect, W |
| Pj* | dimensionless Joule heating effect |
| Pv | viscous dissipation, W |
| Pv* | dimensionless viscous dissipation |
| Pf | frictional heating, W |
| Pf* | dimensionless frictional heating |
| TP | thrust-to-power of thruster, N W−1 |
| TP* | dimensionless thrust-to-power of thruster |
| Greek symbols | |
| ψ | electric potential of fluid, V |
| ψ* | dimensionless electric potential of fluid |
| ε0 | electric permittivity of free space, F m−1 |
| εr | relative permittivity, F m−1 |
| ρe | volumetric net charge density of the fluid, cm−3 |
| λD | EDL thickness, μm |
| κ | reciprocal of the EDL thickness, μm−1 |
| κ* | dimensionless reciprocal of the EDL thickness |
| ζ | electric potential at the wall, V |
| μ | viscosity of the power-law fluid, kg/(ms) |
| β | slip length, nm |
| ρ | fluid density, kg m−3 |
| σ | electrical conductivity of electrolytic propellant, S m−1 |
| σ0 | electrical conductivity of the neutral liquid, S m−1 |
| η | thruster efficiency, % |
References
- Mueller, J. Thruster options for microspacecraft—A review and evaluation of existing hardware and emerging technologies. In Proceedings of the 33rd Joint Propulsion Conference and Exhibit, Seattle, WA, USA, 6–9 July 1997. [Google Scholar] [CrossRef]
- De Groot, W. Propulsion Options for Primary Thrust and Attitude Control of Microspacecraft; Elsevier: Amsterdam, The Netherlands, 1999; pp. 200–209. [Google Scholar] [CrossRef]
- Wright, W.; Ferrer, P. Electric micropropulsion systems. Prog. Aerosp. Sci. 2015, 74, 48–61. [Google Scholar] [CrossRef]
- Smith, R.S.; Hadaegh, F.Y. Control of Deep-Space Formation-Flying Spacecraft; Relative Sensing and Switched Information. J. Guid. Control. Dyn. 2005, 28, 106–114. [Google Scholar] [CrossRef]
- Hwang, G.; Braive, R.; Couraud, L.; Cavanna, A.; Abdelkarim, O.; Robert-Philip, I.; Beveratos, A.; Sagnes, I.; Haliyo, S.; Régnier, S. Electro-osmotic propulsion of helical nanobelt swimmers. Int. J. Robot. Res. 2011, 30, 806–819. [Google Scholar] [CrossRef]
- Oddy, M.H.; Santiago, J.G.; Mikkelsen, J.C. Electrokinetic Instability Micromixing. Anal. Chem. 2001, 73, 5822–5832. [Google Scholar] [CrossRef]
- Chen, C.-H.; Santiago, J. A planar electroosmotic micropump. J. Microelectromechanical Syst. 2002, 11, 672–683. [Google Scholar] [CrossRef]
- Huang, H.-F.; Lai, C.-L. Enhancement of mass transport and separation of species by oscillatory electroosmotic flows. Proc. R. Soc. A: Math. Phys. Eng. Sci. 2006, 462, 2017–2038. [Google Scholar] [CrossRef]
- Gao, Y.; Wang, C.; Wong, T.N.; Yang, C.; Nguyen, N.-T.; Ooi, K.T. Electro-osmotic control of the interface position of two-liquid flow through a microchannel. J. Micromech. Microeng. 2007, 17, 358–366. [Google Scholar] [CrossRef]
- Patel, K.D.; Bartsch, M.; McCrink, M.H.; Olsen, J.S.; Mosier, B.P.; Crocker, R.W. Electrokinetic pumping of liquid propellants for small satellite microthruster applications. Sens. Actuators B Chem. 2008, 132, 461–470. [Google Scholar] [CrossRef]
- Wang, X.; Cheng, C.; Wang, S.; Liu, S. Electroosmotic pumps and their applications in microfluidic systems. Microfluid. Nanofluidics 2009, 6, 145–162. [Google Scholar] [CrossRef]
- Gomez, J.; Groll, R. Pressure drop and thrust predictions for transonic micronozzle flows. Phys. Fluids 2016, 28, 022008. [Google Scholar] [CrossRef]
- Manjunathan, S.A.; Bhardwaj, R. Thrust generation by pitching and heaving of an elastic plate at low Reynolds number. Phys. Fluids 2020, 32, 073601. [Google Scholar] [CrossRef]
- Diez, F.; Hernaiz, G.; Miranda, J.; Sureda, M. On the capabilities of nano electrokinetic thrusters for space propulsion. Acta Astronaut. 2013, 83, 97–107. [Google Scholar] [CrossRef]
- Huang, K.-H. Two-liquid electroosmotic thrusters for micro propulsion applications. Phys. Fluids 2019, 31, 122003. [Google Scholar] [CrossRef]
- Zheng, J.; Jian, Y. Electroosmotic thrusters in soft nanochannels for space propulsion. Phys. Fluids 2020, 32, 122005. [Google Scholar] [CrossRef]
- Zheng, J.; Jian, Y. Space Electroosmotic Thrusters in Ion Partitioning Soft Nanochannels. Micromachines 2021, 12, 777. [Google Scholar] [CrossRef]
- Berli, C.L.A.; Urteaga, R. Asymmetric capillary filling of non-Newtonian power law fluids. Microfluid. Nanofluidics 2014, 17, 1079–1084. [Google Scholar] [CrossRef]
- Dhar, J.; Ghosh, U.; Chakraborty, S. Alterations in streaming potential in presence of time periodic pressure-driven flow of a power law fluid in narrow confinements with nonelectrostatic ion-ion interactions. Electrophoresis 2013, 35, 662–669. [Google Scholar] [CrossRef]
- Zhao, C.; Zhang, W.; Yang, C. Dynamic Electroosmotic Flows of Power-Law Fluids in Rectangular Microchannels. Micromachines 2017, 8, 34. [Google Scholar] [CrossRef]
- Ng, C.-O.; Qi, C. Electroosmotic flow of a power-law fluid in a non-uniform microchannel. J. Non Newton. Fluid Mech. 2014, 208–209, 118–125. [Google Scholar] [CrossRef]
- Qi, C.; Ng, C.-O. Electroosmotic flow of a power-law fluid through an asymmetrical slit microchannel with gradually varying wall shape and wall potential. Colloids Surf. A Physicochem. Eng. Asp. 2015, 472, 26–37. [Google Scholar] [CrossRef]
- Choi, W.; Yun, S.; Choi, D.-S. Approximate Solution for Electroosmotic Flow of Power-Law Fluids in a Planar Microchannel with Asymmetric Electrochemical Boundary Conditions. Micromachines 2018, 9, 265. [Google Scholar] [CrossRef] [PubMed]
- Zhao, C.; Zholkovskij, E.; Masliyah, J.H.; Yang, C. Analysis of electroosmotic flow of power-law fluids in a slit microchannel. J. Colloid Interface Sci. 2008, 326, 503–510. [Google Scholar] [CrossRef] [PubMed]
- Choi, D.-S.; Yun, S.; Choi, W. An Exact Solution for Power-Law Fluids in a Slit Microchannel with Different Zeta Potentials under Electroosmotic Forces. Micromachines 2018, 9, 504. [Google Scholar] [CrossRef] [PubMed]
- Shit, G.; Mondal, A.; Sinha, A.; Kundu, P. Electro-osmotic flow of power-law fluid and heat transfer in a micro-channel with effects of Joule heating and thermal radiation. Phys. A Stat. Mech. Appl. 2016, 462, 1040–1057. [Google Scholar] [CrossRef]
- Zhu, Q.; Zhuang, Y.; Yu, H. An analytical permeability model for power-law fluids in porous fibrous media with consideration of electric double layer. Int. J. Heat Mass Transf. 2015, 91, 255–263. [Google Scholar] [CrossRef]
- Probstein, R.F. Physicochemical Hydrodynamics: An Introduction; Elsevier: Amsterdam, The Netherlands, 1994. [Google Scholar]
- Nguyen, N.T.; Wereley, S.T. Fundamentals and Applications of Microfluidics; Artech House: Fitchburg, MA, USA, 2002. [Google Scholar]
- Sutton, G.P.; Biblarz, O. Rocket Propulsion Elements; John Wiley & Sons: Hoboken, NJ, USA, 2016. [Google Scholar]
- Goebel, D.M.; Katz, I. Fundamentals of Electric Propulsion: Ion and Hall Thrusters; John Wiley & Sons: Hoboken, NJ, USA, 2008. [Google Scholar]
- Maslen, S.H. On Heat Transfer in Slip Flow. J. Aerosp. Sci. 1958, 25, 400–401. [Google Scholar] [CrossRef]
- Morgan, H.; Green, N.G. AC Electrokinetics: Colloids and Nanoparticles; Microtechnologies and Microsystems Series; Research Studies Press: Philadelphia, PA, USA, 2003. [Google Scholar]
- Su, B.; Eugster, N.; Girault, H. Simulations of the adsorption of ionic species at polarisable liquid∣liquid interfaces. J. Electroanal. Chem. 2005, 577, 187–196. [Google Scholar] [CrossRef]
- Hong, C.; Asako, Y. Some considerations on thermal boundary condition of slip flow. Int. J. Heat Mass Transf. 2010, 53, 3075–3079. [Google Scholar] [CrossRef]
- Lee, C.; Choi, C.-H.; Kim, C.-J. Structured Surfaces for a Giant Liquid Slip. Phys. Rev. Lett. 2008, 101, 064501. [Google Scholar] [CrossRef]





| Symbol | Description | Value | Units | References |
|---|---|---|---|---|
| L | thruster length | 1 | mm | [15,29,30,31] |
| W | thruster depth | 500 | μm | [15,29,30,31] |
| H | half channel height of the thruster | 50 | μm | [15,29,30,31] |
| ρ | density of the fluid | 1060 | kg m−3 | [26] |
| ε0 | permittivity of free space | 8.854 × 10−12 | F m−1 | [16] |
| εr | relative permittivity | 78.36 | F m−1 | [16] |
| σ0 | electrical conductivity of the fluid | 10−3 | S m−1 | [26] |
| z | valence number of ions | 1 | [26] |
Disclaimer/Publisher’s Note: The statements, opinions and data contained in all publications are solely those of the individual author(s) and contributor(s) and not of MDPI and/or the editor(s). MDPI and/or the editor(s) disclaim responsibility for any injury to people or property resulting from any ideas, methods, instructions or products referred to in the content. |
© 2023 by the authors. Licensee MDPI, Basel, Switzerland. This article is an open access article distributed under the terms and conditions of the Creative Commons Attribution (CC BY) license (https://creativecommons.org/licenses/by/4.0/).
Share and Cite
Zheng, J.; Wang, J.; Jian, Y. Micro Electro-Osmotic Thrusters of Power-Law Fluids for Space Propulsion. Micromachines 2023, 14, 949. https://doi.org/10.3390/mi14050949
Zheng J, Wang J, Jian Y. Micro Electro-Osmotic Thrusters of Power-Law Fluids for Space Propulsion. Micromachines. 2023; 14(5):949. https://doi.org/10.3390/mi14050949
Chicago/Turabian StyleZheng, Jiaxuan, Jialu Wang, and Yongjun Jian. 2023. "Micro Electro-Osmotic Thrusters of Power-Law Fluids for Space Propulsion" Micromachines 14, no. 5: 949. https://doi.org/10.3390/mi14050949
APA StyleZheng, J., Wang, J., & Jian, Y. (2023). Micro Electro-Osmotic Thrusters of Power-Law Fluids for Space Propulsion. Micromachines, 14(5), 949. https://doi.org/10.3390/mi14050949

