Low Switching Loss Built-In Diode of High-Voltage RC-IGBT with Shortened P+ Emitter
Abstract
:1. Introduction
2. Device Structure and Mechanism
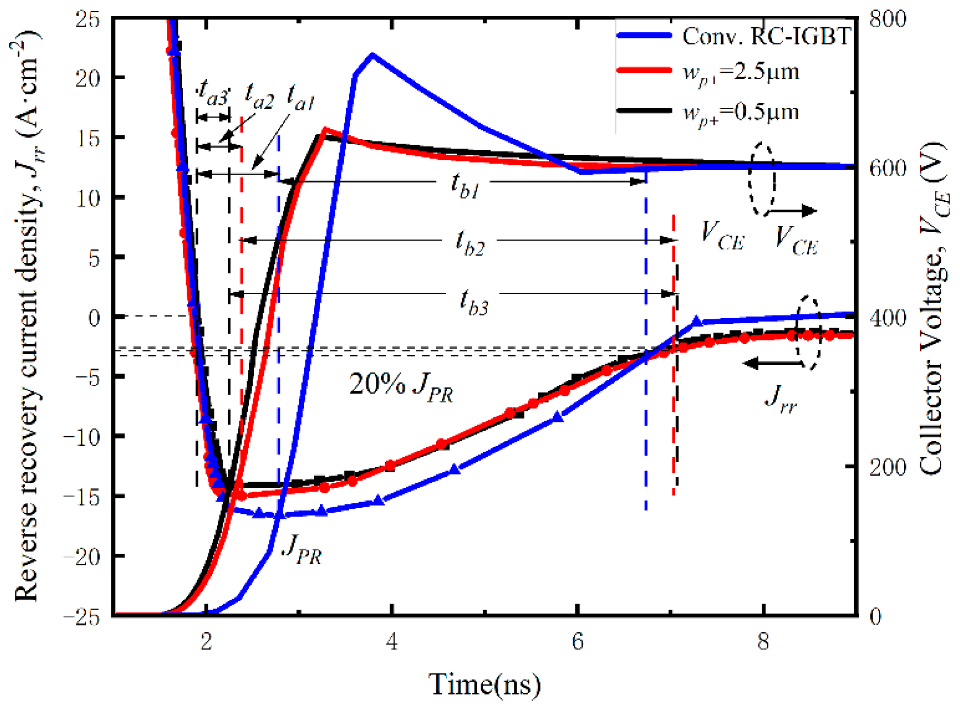
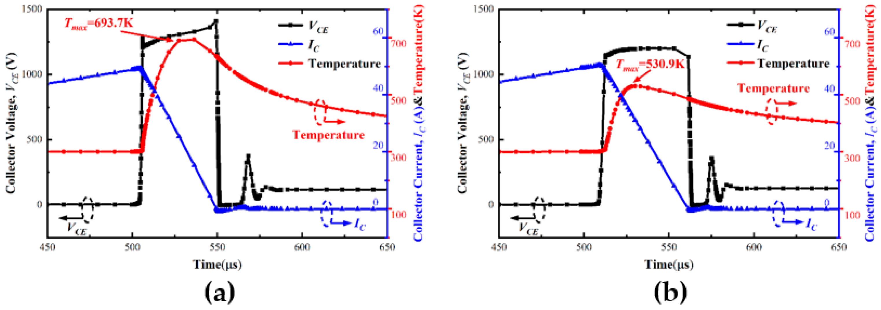
3. Simulation and Discussions
4. Conclusions
Author Contributions
Funding
Data Availability Statement
Acknowledgments
Conflicts of Interest
References
- Findlay, E.M.; Udrea, F. Reverse-Conducting Insulated Gate Bipolar Transistor: A Review of Current Technologies. IEEE Trans. Electron. Devices 2019, 66, 219–231. [Google Scholar] [CrossRef]
- Suzuki, K.; Yoshida, T.; Haraguchi, Y.; Koketsu, H.; Narazaki, A. Low Switching Loss Diode of 600V RC-IGBT with New Contact Structure. In Proceedings of the International Symposium on Power Semiconductor Devices and ICs, Nagoya, Japan, 30 May–3 June 2021; pp. 31–34. [Google Scholar] [CrossRef]
- Zhang, X.D.; Wang, Y.; Wu, X.; Bao, M.T.; Yu, C.H.; Cao, F. An Improved VCE-EOFFTradeoff and Snapback-Free RC-IGBT with P Pillars. IEEE Trans. Electron. Devices 2020, 67, 2859–2864. [Google Scholar] [CrossRef]
- Xu, X.; Chen, Z. Simulation Study of a Novel Full Turn-On RC-IGBT with Ultralow Energy Loss. IEEE Electron. Device Lett. 2019, 40, 757–760. [Google Scholar] [CrossRef]
- Chen, Y.; Zhang, P.; Hu, X.; Huang, H.Z.; Lai, P.; He, Z.; Chen, Y.; Fu, Z.W.; Liu, C. Study on Electrothermal Characteristics of the Reverse-Conducting IGBT (RC-IGBT). In Proceedings of the 2020 21st International Conference on Electronic Packaging Technology, ICEPT, Guangzhou, China, 12–15 August 2020. [Google Scholar] [CrossRef]
- Nishi, K.; Narazaki, A. CSTBTTM Based Split-Gate RC-IGBT with Low Loss and EMI Noise. In Proceedings of the International Symposium on Power Semiconductor Devices and ICs, Vienna, Austria, 13–18 September 2020; pp. 138–141. [Google Scholar] [CrossRef]
- Liu, C.; Wu, G.; Wei, M.; Xu, X.; Xing, P.; Zhang, P.; Sun, R.; Chen, W.; Li, Z.; Zhang, B. A Novel Full Tun-on Reverse-Conducting IGBT with Enhanced Carrier Concentration Modulation in Collector Side. In Proceedings of the 2022 IEEE 16th International Conference on Solid-State and Integrated Circuit Technology, ICSICT, Nangjing, China, 25–28 October 2022. [Google Scholar] [CrossRef]
- Rahimo, M.; Reigosa, P.D.; Schulz, N.; Iannuzzo, F. Analysis of the RC-IGBT Snap-Back Phenomenon on the Switching Performance of Parallel Devices. In Proceedings of the International Symposium on Power Semiconductor Devices and ICs, Vienna, Austria, 13–18 September 2020; pp. 482–485. [Google Scholar] [CrossRef]
- Diaz Reigosa, P.; Rahimo, M.; Minamisawa, R.; Iannuzzo, F. Switching Stability Analysis of Paralleled RC-IGBTs with Snapback Effect. IEEE Trans. Electron. Devices 2021, 68, 3429–3434. [Google Scholar] [CrossRef]
- Nishiwaki, K.; Kushida, T.; Kawahashi, A. A Fast & Soft Recovery Diode with Ultra Small Qrr (USQ-Diode) Using Local Lifetime Control by He Ion Irradiation. In Proceedings of the IEEE International Symposium on Power Semiconductor Devices and ICs (ISPSD), Osaka, Japan, 7 June 2001; pp. 235–238. [Google Scholar] [CrossRef]
- Vobecky, J.; Hazdra, P. Future Trends in Local Lifetime Control [Power Semiconductor Devices]. In Proceedings of the 8th International Symposium on Power Semiconductor Devices and ICs, Maui, HI, USA, 23–23 May 1996; pp. 161–164. [Google Scholar] [CrossRef]
- Takahashi, K.; Yoshida, S.; Noguchi, S.; Kuribayashi, H.; Nashida, N.; Kobayashi, Y.; Kobayashi, H.; Mochizuki, K.; Ikeda, Y.; Ikawa, O. New Reverse-Conducting IGBT (1200V) with Revolutionary Compact Package. In Proceedings of the International Symposium on Power Semiconductor Devices and ICs, Hiroshima, Japan, 18–21 May 2014; pp. 131–134. [Google Scholar] [CrossRef]
- Gejo, R.; Ogura, T.; Misu, S.; Maeda, Y.; Matsuoka, Y.; Yasuhara, N.; Nakamura, K. High Switching Speed Trench Diode for 1200V RC-IGBT Based on the Concept of Schottky Controlled Injection (SC). In Proceedings of the International Symposium on Power Semiconductor Devices and ICs, Prague, Czech Republic, 12–16 June 2016; pp. 155–158. [Google Scholar] [CrossRef]
- Baliga, B.J. Fundamentals of Power Semiconductor Devices; Springer: Berlin/Heidelberg, Germany, 2008; pp. 1–1069. [Google Scholar] [CrossRef]
- Lutz, J.; Schlangenotto, H.; Scheuermann, U.; de Doncker, R. Semiconductor Power Devices: Physics, Characteristics, Reliability; Springer Nature: Basel, Switzerland, 2011; pp. 1–536. [Google Scholar] [CrossRef]
- “SynopsysTCAD”, Synopsys.com, March 2023. Available online: https://www.synopsys.com/silicon/tcad.html (accessed on 16 April 2023).















| Structure Parameters | Con. RC-IGBT | Proposed |
|---|---|---|
| P+ width (μm), wp+ | 5 | 0.5 |
| P+ doping concentration (cm−3), NAP+ | 1 × 1020 | 1 × 1020 |
| P+ thickness (μm), tp+ | 0.2 | 0.2 |
| Wafer thickness (μm), tw | 100 | 100 |
| Cell width (um), wcell | 270 | 270 |
| P-collector width (μm), wPc | 240 | 240 |
| Trench pitch (μm), Tp | 6 | 6 |
Disclaimer/Publisher’s Note: The statements, opinions and data contained in all publications are solely those of the individual author(s) and contributor(s) and not of MDPI and/or the editor(s). MDPI and/or the editor(s) disclaim responsibility for any injury to people or property resulting from any ideas, methods, instructions or products referred to in the content. |
© 2023 by the authors. Licensee MDPI, Basel, Switzerland. This article is an open access article distributed under the terms and conditions of the Creative Commons Attribution (CC BY) license (https://creativecommons.org/licenses/by/4.0/).
Share and Cite
Wu, W.; Li, Y.; Yu, M.; Gao, C.; Shu, Y.; Chen, Y. Low Switching Loss Built-In Diode of High-Voltage RC-IGBT with Shortened P+ Emitter. Micromachines 2023, 14, 873. https://doi.org/10.3390/mi14040873
Wu W, Li Y, Yu M, Gao C, Shu Y, Chen Y. Low Switching Loss Built-In Diode of High-Voltage RC-IGBT with Shortened P+ Emitter. Micromachines. 2023; 14(4):873. https://doi.org/10.3390/mi14040873
Chicago/Turabian StyleWu, Wei, Yansong Li, Mingkang Yu, Chongbing Gao, Yulu Shu, and Yong Chen. 2023. "Low Switching Loss Built-In Diode of High-Voltage RC-IGBT with Shortened P+ Emitter" Micromachines 14, no. 4: 873. https://doi.org/10.3390/mi14040873
APA StyleWu, W., Li, Y., Yu, M., Gao, C., Shu, Y., & Chen, Y. (2023). Low Switching Loss Built-In Diode of High-Voltage RC-IGBT with Shortened P+ Emitter. Micromachines, 14(4), 873. https://doi.org/10.3390/mi14040873

