Automatic Frequency Tuning Technology for Dual-Mass MEMS Gyroscope Based on a Quadrature Modulation Signal
Abstract
1. Introduction
2. Dual-mass MEMS Gyroscope Structure
2.1. Gyroscope Overall Structure
2.2. Quadrature Stiffness Correction Structure
2.3. Frequency Tuning Structure
3. Automatic Frequency Tuning System
3.1. Frequency Tuning Theory
3.2. Frequency Tuning System Analysis
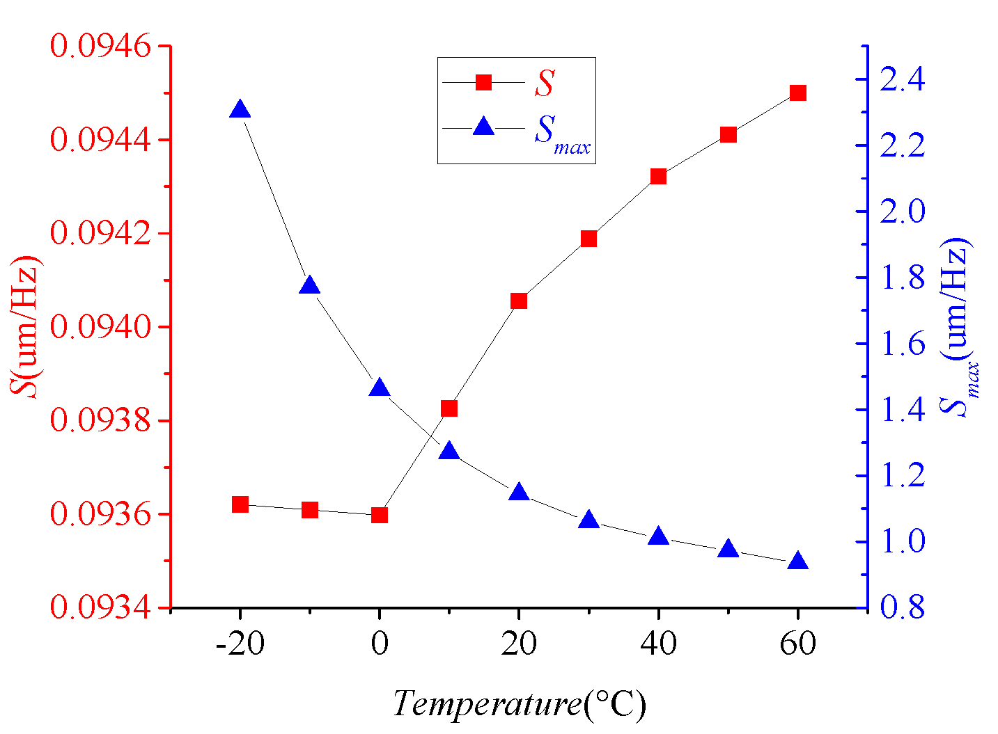
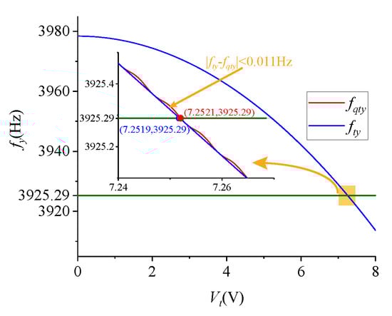
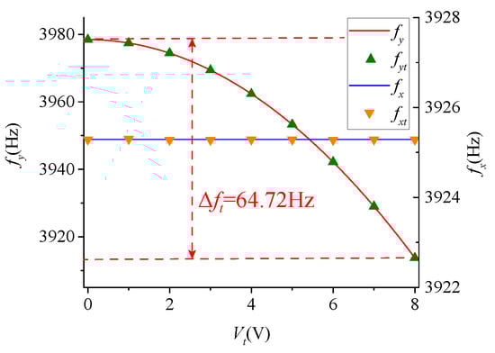
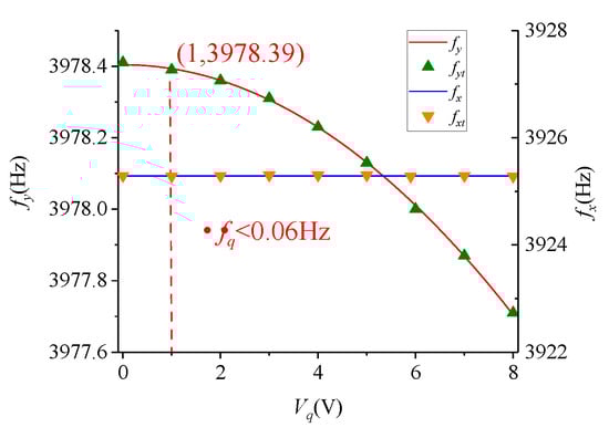
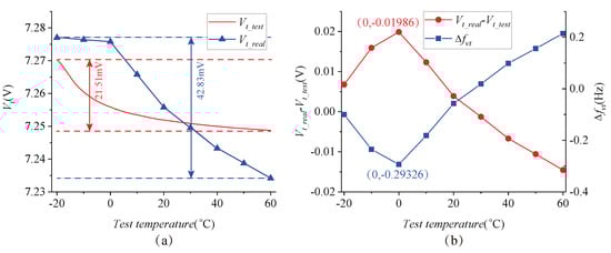
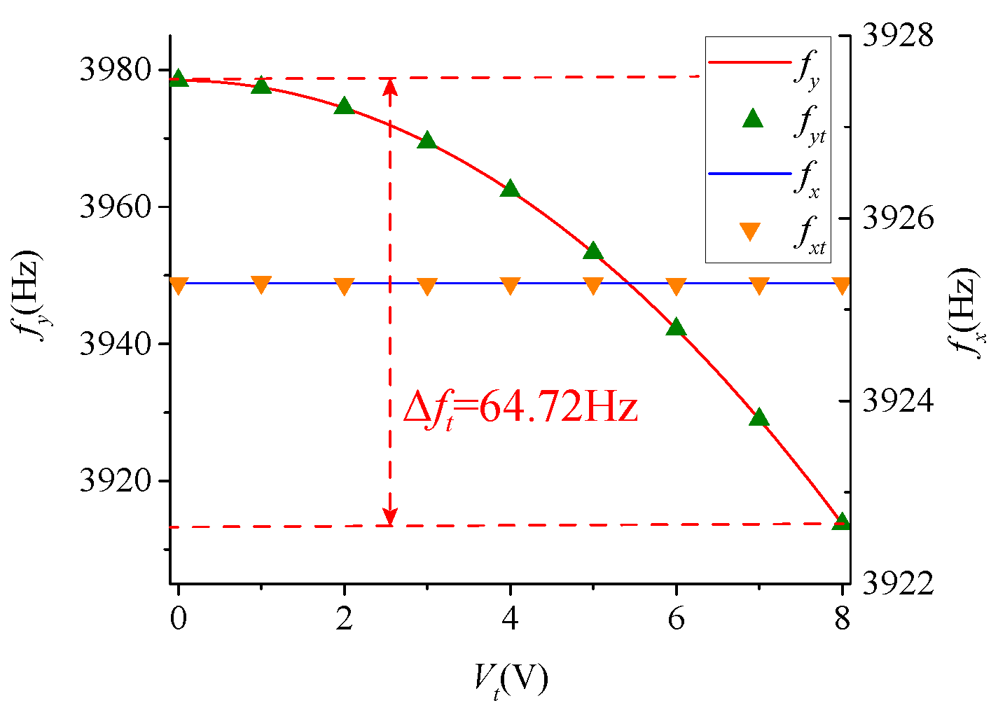
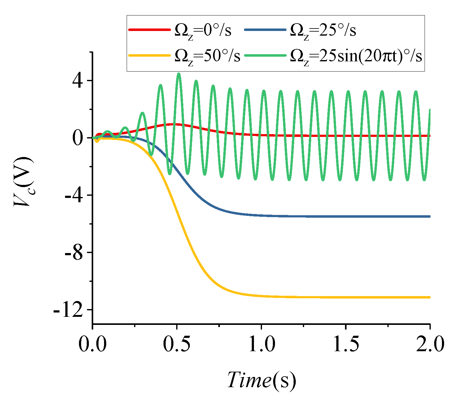
4. Experiments
5. Conclusions
Author Contributions
Conflicts of Interest
References
- Ezekwe, C.D.; Boser, B.E. A Mode-Matching ΔΣ Closed-Loop Vibratory Gyroscope Readout Interface with a 0.004∘/s/√Hz Noise Floor Over a 50 Hz Band. IEEE J. Solid State Circ. 2008, 43, 3039–3048. [Google Scholar] [CrossRef]
- Sharma, A.; Zaman, M.F.; Ayazi, F. A Sub-0.2∘/hr Bias Drift Micromechanical Silicon Gyroscope with Automatic CMOS Mode-Matching. IEEE J. Solid State Circ. 2009, 44, 1593–1608. [Google Scholar] [CrossRef]
- Antonello, R.; Oboe, R.; Prandi, L.; Biganzoli, F. Automatic mode matching in MEMS vibrating gyroscopes using extremum-seeking control. IEEE Trans. Ind. Electron. 2009, 56, 3880–3891. [Google Scholar] [CrossRef]
- Sonmezoglu, S.; Alper, S.E.; Akin, T. An automatically mode-matched MEMS gyroscope with wide and tunable bandwidth. J. Microelectromech. Syst. 2014, 23, 284–297. [Google Scholar] [CrossRef]
- Painter, C.C.; Shkel, A.M. Active structural error suppression in MEMS vibratory rate integrating gyroscopes. IEEE Sens. J. 2003, 3, 595–606. [Google Scholar] [CrossRef]
- Xu, L.; Li, H.; Ni, Y.; Liu, J.; Huang, L. Frequency tuning of work modes in z-axis dual-mass silicon microgyroscope. J. Sens. 2014, 2014, 891735. [Google Scholar] [CrossRef]
- Park, S.; Horowitz, R.; Hong, S.K.; Nam, Y. Trajectory-switching algorithm for a MEMS gyroscope. IEEE Trans. Instrum. Meas. 2007, 56, 2561–2569. [Google Scholar] [CrossRef]
- Sung, S.; Sung, W.T.; Kim, C.; Yun, S.; Lee, Y.J. On the mode-matched control of MEMS vibratory gyroscope via phase-domain analysis and design. IEEE/ASME Trans. Mechatron. 2009, 14, 446–455. [Google Scholar] [CrossRef]
- Wang, K.; Wong, A.C.; Hsu, W.T.; Nguyen, C.C. Frequency trimming and Q-factor enhancement of micromechanical resonators via localized filament annealing. In Proceedings of the International Solid State Sensors and Actuators Conference (Transducers ’97), Chicago, IL, USA, 19 June 1997; Volume 1, pp. 109–112. [Google Scholar]
- Remtema, T.; Lin, L. Active frequency tuning for micro resonators by localized thermal stressing effects. Sens. Actuators A Phys. 2001, 91, 326–332. [Google Scholar] [CrossRef]
- Joachim, D.; Lin, L. Characterization of selective polysilicon deposition for MEMS resonator tuning. J. Microelectromech. Syst. 2003, 12, 193–200. [Google Scholar] [CrossRef]
- Abdelmoneum, M.A.; Demirci, M.M.; Lin, Y.W.; Nguyen, C.C. Location-dependent frequency tuning of vibrating micromechanical resonators via laser trimming. In Proceedings of the 2004 IEEE International Frequency Control Symposium and Exposition, Montreal, QC, Canada, 23–27 August 2004; pp. 272–279. [Google Scholar]
- Keymeulen, D.; Fink, W.; Ferguson, M.I.; Peay, C.; Oks, B.; Terrile, R.; Yee, K. Tuning of MEMS devices using evolutionary computation and open-loop frequency response. In Proceedings of the 2005 IEEE Aerospace Conference, Big Sky, MT, USA, 5–12 March 2005; pp. 1–8. [Google Scholar]
- Kim, D.; M’Closkey, R. Real-time tuning of MEMS gyro dynamics. In Proceedings of the American Control Conference, Portland, OR, USA, 8–10 Jun 2005; pp. 3598–3603. [Google Scholar]
- Geiger, W.; Bartholomeyczik, J.; Breng, U.; Gutmann, W.; Hafen, M.; Handrich, E.; Huber, M.; Jackle, A.; Kempfer, U.; Kopmann, H.; et al. MEMS IMU for ahrs applications. In Proceedings of the 2008 IEEE/ION Position, Location and Navigation Symposium, Monterey, CA, USA, 5–8 May 2008; pp. 225–231. [Google Scholar]
- Hu, Z.; Gallacher, B.; Burdess, J.; Fell, C.; Townsend, K. Precision mode matching of MEMS gyroscope by feedback control. In Proceedings of the 2011 IEEE Sensors, Limerick, Ireland, 28–31 October 2011; pp. 16–19. [Google Scholar]
- He, C.; Zhao, Q.; Huang, Q.; Liu, D.; Yang, Z.; Zhang, D.; Yan, G. A MEMS vibratory gyroscope with real-time mode-matching and robust control for the sense mode. IEEE Sens. J. 2015, 15, 2069–2077. [Google Scholar] [CrossRef]
- Xu, L.; Li, H.; Yang, C.; Huang, L. Comparison of three automatic mode-matching methods for silicon micro-gyroscopes based on phase characteristic. IEEE Sens. J. 2016, 16, 610–619. [Google Scholar] [CrossRef]
- Prikhodko, I.P.; Gregory, J.A.; Clark, W.A.; Geen, J.A.; Judy, M.W.; Ahn, C.H.; Kenny, T.W. Mode-matched MEMS Coriolis vibratory gyroscopes: Myth or reality? In Proceedings of the 2016 IEEE/ION Position, Location and Navigation Symposium (PLANS), Savannah, GA, USA, 11–14 April 2016; pp. 1–4. [Google Scholar]
- Yang, C.; Li, H. Digital control system for the MEMS tuning fork gyroscope based on synchronous integral demodulator. IEEE Sens. J. 2015, 15, 5755–5764. [Google Scholar] [CrossRef]
- Cao, H.L.; Li, H.S.; Lu, X.; Ni, Y.F. Temperature Model for a Vacuum Packaged MEMS Gyroscope Structure. In Key Engineering Materials; Trans Tech Publications: Zurich, Switzerland, 2013; Volume 562, pp. 280–285. [Google Scholar]
- Cao, H.; Li, H.; Kou, Z.; Shi, Y.; Tang, J.; Ma, Z.; Shen, C.; Liu, J. Optimization and experimentation of dual-mass MEMS gyroscope quadrature error correction methods. Sensors 2016, 16, 71. [Google Scholar] [CrossRef] [PubMed]
- Cao, H.; Li, H.; Shao, X.; Liu, Z.; Kou, Z.; Shan, Y.; Shi, Y.; Shen, C.; Liu, J. Sensing mode coupling analysis for dual-mass MEMS gyroscope and bandwidth expansion within wide-temperature range. Mech. Syst. Signal Process. 2018, 98, 448–464. [Google Scholar] [CrossRef]
















| Parameter | Values | Units |
|---|---|---|
| Drive mode resonant frequency () | 3925.29 × 2 | rad/s |
| Drive mode quality factor () | 4673 | |
| Sense mode resonant frequency () | rad/s | |
| Sense mode quality factor () | 449 | |
| Drive effective mass () | kg | |
| Sense effective mass () | kg | |
| Drive mode capacitance () | 2.88 | pF |
| Sense mode capacitance () | 4.68 | pF |
| Quadrature correction comb number () | 30 | |
| Quadrature correction comb thickness () | 60 | um |
| Quadrature correction comb gap () | 5 | um |
| Comb overlap length () | 10 | um |
| Unequal spacing ratio () | 2.5 | |
| Vacuum permittivity () | F/m | |
| Tuning comb number () | 300 | |
| Tuning comb number thickness () | 60 | um |
| Correction comb gap () | 4 | um |
| Comb overlap length () | 200 | um |
| Low-frequency signal amplitude () | 1 | |
| Input signal frequency () | rad/s | |
| DC benchmark voltage () | 2.048 | V |
| Interface circuit amplification factor () | ||
| Controller parameters () | 30 | |
| Controller parameters () | 0.0075 | |
| Reference voltage () | 0.2587 | mV |
| Temperature | Test Type | Scale Factor | Scale Factor Nonlinearity | Scale Factor Asymmetry |
|---|---|---|---|---|
| (mV//s) | (ppm) | (ppm) | ||
| −20 C | Test1 | −2.039 | 142 | 546 |
| Test2 | 40.453 | 107,155 | 46,978 | |
| Test3 | 3.857 | 53 | 212 | |
| 60 C | Test1 | −2.048 | 144 | 596 |
| Test2 | 19.324 | 2526 | 10,074 | |
| Test3 | 3.780 | 96 | 568 | |
| Room temperature | Test1 | −2.051 | 322 | 1009 |
| Test2 | 22.024 | 3398 | 14,792 | |
| Test3 | 3.786 | 28 | 128 |
| Temperature | Test Type | Zero Bias (/s) | Zero Bias Stability (/h) | ARW () |
|---|---|---|---|---|
| −20 C | Test1 | 1.138 | 24.746 | 12.780 |
| Test2 | 5.554 | 23.964 | 4.966 | |
| Test3 | 5.381 | 24.580 | 4.862 | |
| 60 C | Test1 | 5.991 | 70.187 | 12.536 |
| Test2 | 13.127 | 67.429 | 5.085 | |
| Test3 | 13.526 | 64.926 | 5.058 | |
| Room temperature | Test1 | 1.458 | 43.439 | 12.229 |
| Test2 | 2.602 | 37.648 | 4.784 | |
| Test3 | 2.601 | 39.545 | 4.956 |
© 2018 by the authors. Licensee MDPI, Basel, Switzerland. This article is an open access article distributed under the terms and conditions of the Creative Commons Attribution (CC BY) license (http://creativecommons.org/licenses/by/4.0/).
Share and Cite
Jia, J.; Ding, X.; Gao, Y.; Li, H. Automatic Frequency Tuning Technology for Dual-Mass MEMS Gyroscope Based on a Quadrature Modulation Signal. Micromachines 2018, 9, 511. https://doi.org/10.3390/mi9100511
Jia J, Ding X, Gao Y, Li H. Automatic Frequency Tuning Technology for Dual-Mass MEMS Gyroscope Based on a Quadrature Modulation Signal. Micromachines. 2018; 9(10):511. https://doi.org/10.3390/mi9100511
Chicago/Turabian StyleJia, Jia, Xukai Ding, Yang Gao, and Hongsheng Li. 2018. "Automatic Frequency Tuning Technology for Dual-Mass MEMS Gyroscope Based on a Quadrature Modulation Signal" Micromachines 9, no. 10: 511. https://doi.org/10.3390/mi9100511
APA StyleJia, J., Ding, X., Gao, Y., & Li, H. (2018). Automatic Frequency Tuning Technology for Dual-Mass MEMS Gyroscope Based on a Quadrature Modulation Signal. Micromachines, 9(10), 511. https://doi.org/10.3390/mi9100511

