Design of a Compact Wireless Multi-Channel High Area-Efficient Stimulator with Arbitrary Channel Configuration
Abstract
1. Introduction
2. Architecture of the Multiple Channel Neural Stimulation Pattern Generator
2.1. Design of the Current Generator
2.2. Design of the Switch Array for Arbitrary Channel Combination
2.3. Electrode Model Analysis
2.4. Design of the Charge Pump
2.5. Design of the Digital Control Logic
3. Architecture of the Wireless Multiple Channel Stimulator System
3.1. Design of the Interface between the ASIC and Off-Chip Processing Unit
3.2. Design of the Wireless Power Transfer Module
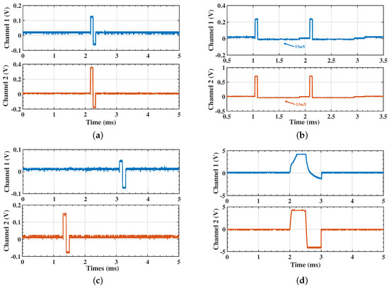
4. Experimental Results
5. Conclusions
Acknowledgments
Author Contributions
Conflicts of Interest
References
- Marijn van Dongen, W.S. Design of Efficient and Safe Neural Stimulators, 1st ed.; Springer: Berlin, Germany, 2016. [Google Scholar]
- Kai, B.; Krack, P. Deep Brain Stimulation for Movement Disorders; Elsevier Inc.: Amsterdam, The Netherlands, 2003; pp. 1099–1111. [Google Scholar]
- Merrill, D.R.; Bikson, M.; Jefferys, J.G. Electrical stimulation of excitable tissue: Design of efficacious and safe protocols. J. Neurosci. Methods 2005, 141, 171–198. [Google Scholar] [CrossRef] [PubMed]
- Lee, H.M.; Park, H.; Ghovanloo, M. A power-efficient wireless system with adaptive supply control for deep brain stimulation. IEEE J. Solid-State Circuits 2013, 48, 2203–2216. [Google Scholar] [CrossRef] [PubMed]
- Park, J.H.; Kim, C.; Ahn, S.H.; Gwon, T.M.; Jeong, J.; Beom Jun, S.; Kim, S.J. A distributed current stimulator ASIC for high density neural stimulation. In Proceedings of the 2016 38th Annual International Conference of the IEEE Engineering in Medicine and Biology Society (EMBC), Orlando, FL, USA, 16–20 August 2016; pp. 1770–1773. [Google Scholar]
- Liu, X.; Zhang, M.; Subei, B.; Richardson, A.G.; Lucas, T.H.; Spiegel, J.V.D. The PennBMBI: Design of a General Purpose Wireless Brain-Machine-Brain Interface System. IEEE Trans. Biomed. Circuits Syst. 2017, 9, 248–258. [Google Scholar] [CrossRef] [PubMed]
- Vinil, T.C.; Devasahayam, S.; Tharion, G.; Naveen, B.P. Investigation of controllable multi electrode based FES (functional electrical stimulation) system for restoration of grasp-preliminary study on healthy individuals. In Proceedings of the 2014 IEEE Global Humanitarian Technology Conference—South Asia Satellite, GHTC-SAS 2014, Trivandrum, India, 26–27 September 2014; pp. 212–215. [Google Scholar]
- Malhi, G.S.; Sachdev, P. Novel physical treatments for the management of neuropsychiatric disorders. J. Psychosom. Res. 2002, 53, 709–719. [Google Scholar] [CrossRef]
- Popovic, M.R.; Keller, T.; Pappas, I.P.; Dietz, V.; Morari, M. Surface-stimulation technology for grasping and walking neuroprosthesis. IEEE Eng. Med. Biol. Mag. 2001, 20, 82–93. [Google Scholar] [CrossRef] [PubMed]
- Hurlbert, R.J.; Tator, C.H.; Theriault, E. Dose-response study of the pathological effects of chronically applied direct current stimulation on the normal rat spinal cord. J. Neurosurg. 1993, 79, 905–916. [Google Scholar] [CrossRef] [PubMed]
- Margalit, E.; Maia, M.; Weiland, J.D.; Greenberg, R.J.; Fujii, G.Y.; Torres, G.; Piyathaisere, D.V.; O’Hearn, T.M.; Liu, W.; Lazzi, G. Retinal Prosthesis for the Blind. Surv. Ophthalmol. 2002, 47, 335–356. [Google Scholar] [CrossRef]
- Sivaprakasam, M.; Liu, W.; Wang, G.; Weiland, J.D.; Humayun, M.S. Architecture tradeoffs in high-density microstimulators for retinal prosthesis. IEEE Trans. Circuits Syst. I 2005, 52, 2629–2641. [Google Scholar] [CrossRef]
- Ortmanns, M.; Rocke, A.; Gehrke, M.; Tiedtke, H.J. A 232-Channel Epiretinal Stimulator ASIC. IEEE J. Solid-State Circuits 2007, 42, 2946–2959. [Google Scholar] [CrossRef]
- Chun, H.; Yang, Y.; Lehmann, T. Safety ensuring retinal prosthesis with precise charge balance and low power consumption. IEEE Trans. Biomed. Circuits Syst. 2014, 8, 108–118. [Google Scholar] [CrossRef] [PubMed]
- Song, H.; Kim, G.; Ko, H. Triple cascode high output impedance current stimulator with dynamic element matching for retinal prostheses. In Proceedings of the ICCAS 2015—2015 15th International Conference on Control, Automation and Systems, Busan, Korea, 13–16 October 2015; pp. 1866–1869. [Google Scholar]
- Lin, Y.J.; Lee, S.Y. A Microstimulator with Parameter Adjustment for Bladder Dysfunction. In Proceedings of the ISCAS, Baltimore, MD, USA, 28–31 May 2017; pp. 1–4. [Google Scholar]
- Lee, S.Y.; Lee, S.C. An implantable wireless bidirectional communication microstimulator for neuromuscular stimulation. IEEE Trans. Circuits Syst. I 2005, 52, 2526–2538. [Google Scholar]
- Mounaim, F.; Laaziri, Y.; Lesbros, G.; Nadeau, P.; Bharucha, E.; Sawan, M.; Bedard, S. Implantable neurostimulator for bladder rehabilitation in paraplegics. In Proceedings of the IFESS, Montreal, QC, Canada, 5–9 July 2005. [Google Scholar]
- Boyer, S.; Sawan, M.; Abdelgawad, M.; Robin, S.; Elhilali, M.M. Implantable selective stimulator to improve bladder voiding: Design and chronic experiments in dogs. IEEE Trans. Rehabil. Eng. A 2000, 8, 464–470. [Google Scholar] [CrossRef]
- Wang, M. Electrode models in electrical impedance tomography. J. Zhejiang Univ. Sci. A 2005, 6A, 1386–1393. [Google Scholar] [CrossRef]
- McNulty, M.J.; Fogarty, P. Design of a highly efficient circuit for electrical muscle stimulation. In Proceedings of the 2006 IEEE BIOCAS, London, UK, 29 November–1 December 2006; Volume 1, pp. 202–205. [Google Scholar]
- Wong, Y.T.; Dommel, N.; Preston, P.; Hallum, L.E.; Lehmann, T.; Lovell, N.H.; Suaning, G.J. Retinal neurostimulator for a multifocal vision prosthesis. IEEE Trans. Neural Syst. Rehabil. Eng. 2007, 15, 425–434. [Google Scholar] [CrossRef] [PubMed]
- Chen, K.; Yang, Z.; Hoang, L.; Weiland, J.; Humayun, M.; Liu, W. An Integrated 256-Channel Epiretinal Prosthesis. IEEE J. Solid-State Circuits 2010, 45, 1946–1956. [Google Scholar] [CrossRef]
- Liu, X.; Subei, B.; Zhang, M.; Richardson, A.G.; Lucas, T.H.; Spiegel, J.V.D. The PennBMBI: A general purpose wireless Brain-Machine-Brain Interface system for unrestrained animals. In Proceedings of the 2014 IEEE International Symposium on Circuits and Systems (ISCAS), Melbourne, Australia, 1–5 June 2014; pp. 650–653. [Google Scholar]
- Altaf, M.A.B.; Zhang, C.; Yoo, J. A 16-Channel Patient-Specific Seizure Onset and Termination Detection SoC With Impedance-Adaptive Transcranial Electrical Stimulator. IEEE J. Solid-State Circuits 2015, 50, 2728–2740. [Google Scholar] [CrossRef]
- Malmivuo, J.; Plonsey, R. Principles and Applications of Bioelectric and Biomagnetic Fields; Oxford University Press: Oxford, UK, 1995. [Google Scholar]
- Sooksood, K.; Stieglitz, T.; Ortmanns, M. An active approach for charge balancing in functional electrical stimulation. IEEE Trans. Biomed. Circuits Syst. 2010, 4, 162–170. [Google Scholar] [CrossRef] [PubMed]
- Ghovanloo, M.; Najafi, K. A Wireless Implantable Multichannel Microstimulating System-on-a-Chip With Modular Architecture. IEEE Trans. Neural Syst. Rehabil. Eng. 2007, 15, 449–457. [Google Scholar] [CrossRef] [PubMed]
- Constandinou, T.G.; Georgiou, J.; Toumazou, C. A partial-current-steering biphasic stimulation driver for vestibular prostheses. IEEE Trans. Biomed. Circuits Syst. 2008, 2, 106–113. [Google Scholar] [CrossRef] [PubMed]
- Huang, C.Q.; Shepherd, R.K.; Center, P.M.; Seligman, P.M. Electrical stimulation of the auditory nerve: Direct current measurement in Vivo. IEEE Trans. Biomed. Eng. 1999, 46, 461–469. [Google Scholar] [CrossRef] [PubMed]
- Kmon, P. Design of a reconfigurable stimulator for multichannel integrated systems dedicated to neurobiology experiments. In Proceedings of the MIXDES 2014, Lublin, Poland, 19–21 June 2014; Volume 2013, pp. 180–184. [Google Scholar]
- Ghovanloo, M.; Najafi, K. A compact large voltage-compliance high output-impedance programmable current source for implantable microstimulators. IEEE Trans. Biomed. Eng. 2005, 52, 97–105. [Google Scholar] [CrossRef] [PubMed]
- Jiang, D.; Cirmirakis, D.; Demosthenous, A. A Vestibular Prosthesis With Highly-Isolated Parallel Multichannel Stimulation. IEEE Trans. Biomed. Circuits Syst. 2015, 9, 124–137. [Google Scholar] [CrossRef] [PubMed]
- Van Dongen, M.N.; Serdijn, W.A. A Power-Efficient Multichannel Neural Stimulator Using High-Frequency Pulsed Excitation From an Unfiltered Dynamic Supply. IEEE Trans. Biomed. Circuits Syst. 2016, 10, 61–71. [Google Scholar] [CrossRef] [PubMed]
- Jiang, D.; Eder, C.; Perkins, T.A.; Vanhoestenberghe, A.; Schormans, M.; Liu, F.; Valente, V.; Donaldson, N.; Demosthenous, A. An implantable wireless multi-channel neural prosthesis for epidural stimulation. In Proceedings of the 2016 IEEE International Symposium on Circuits and Systems (ISCAS), Montreal, QC, Canada, 22–25 May 2016; pp. 2026–2029. [Google Scholar]












| Configure Information | Resolution (Bits) |
|---|---|
| Cycle Time | 24 |
| Numbers of Burst per Cycle | 8 |
| Positive Pulse Width | 12 |
| Positive Pulse Height | 6 |
| Negative Pulse Width | 12 |
| Negative Pulse Height | 6 |
| Time between Pos and Neg (Int) | 8 |
| Time between Two Burst (Clr) | 8 |
| Common Current Reference | 2 |
| Author | Jiang [33] | Van [34] | Jiang [35] | This work |
|---|---|---|---|---|
| Publication | 15 TBioCAS | 16 TBioCAS | 16 ISCAS | - |
| CMOS Technology | 0.6 m | 0.6 m | 0.6 m | 0.18 m |
| Chip Area (mm) | 21.42, 3.9 * | 2.1×1.6 | - | 1.5 × 2.5 |
| System Area (mm) | 55 × 25 × - | - | 46 × 46 × 8 | 14 × 14 × 3 ** |
| Channel of Stimulator | 3 | 8 | 3 | 8 |
| Electrodes | 24 | 16 | 24 | 16 |
| Power Source | Inductive link | Battery | Inductive link | Inductive Link/Battery |
| HV Generation | rectifier | External | rectifier | Integrated CP |
| ≤1 mA | ≤10 mA | ≤3 mA | ≤2 mA | |
| Output Impedance | - | 1 k | - | 9.1 M |
| Working Distance of Inductive Link (mm) | - | - | 11 | 10 |
© 2017 by the authors. Licensee MDPI, Basel, Switzerland. This article is an open access article distributed under the terms and conditions of the Creative Commons Attribution (CC BY) license (http://creativecommons.org/licenses/by/4.0/).
Share and Cite
Zhang, Y.; Luo, D.; Ou, T.; Yuan, Z.; Huang, H.; You, L.; Yue, Y.; Zhang, M.; Li, D.; Li, G.; et al. Design of a Compact Wireless Multi-Channel High Area-Efficient Stimulator with Arbitrary Channel Configuration. Micromachines 2018, 9, 6. https://doi.org/10.3390/mi9010006
Zhang Y, Luo D, Ou T, Yuan Z, Huang H, You L, Yue Y, Zhang M, Li D, Li G, et al. Design of a Compact Wireless Multi-Channel High Area-Efficient Stimulator with Arbitrary Channel Configuration. Micromachines. 2018; 9(1):6. https://doi.org/10.3390/mi9010006
Chicago/Turabian StyleZhang, Yuwei, Deng Luo, Ting Ou, Zhangyi Yuan, Heng Huang, Ling You, Yin Yue, Milin Zhang, Dongmei Li, Guolin Li, and et al. 2018. "Design of a Compact Wireless Multi-Channel High Area-Efficient Stimulator with Arbitrary Channel Configuration" Micromachines 9, no. 1: 6. https://doi.org/10.3390/mi9010006
APA StyleZhang, Y., Luo, D., Ou, T., Yuan, Z., Huang, H., You, L., Yue, Y., Zhang, M., Li, D., Li, G., Yuan, K., & Wang, Z. (2018). Design of a Compact Wireless Multi-Channel High Area-Efficient Stimulator with Arbitrary Channel Configuration. Micromachines, 9(1), 6. https://doi.org/10.3390/mi9010006
