A Numerical Research of Herringbone Passive Mixer at Low Reynold Number Regime
Abstract
1. Introduction
2. Problem Formation
3. Theory and Method
3.1. Pressure Driven Flow
3.2. Electro-Osmotic Flow (EOF)
3.3. Mass Transfer
3.4. Statistics and Evaluation
3.5. Simulation Method
4. Results and Discussion
4.1. Mixing in Pressure Driven Flow
4.2. Mixing Ing Electro-Osmotic Flow (EOF)
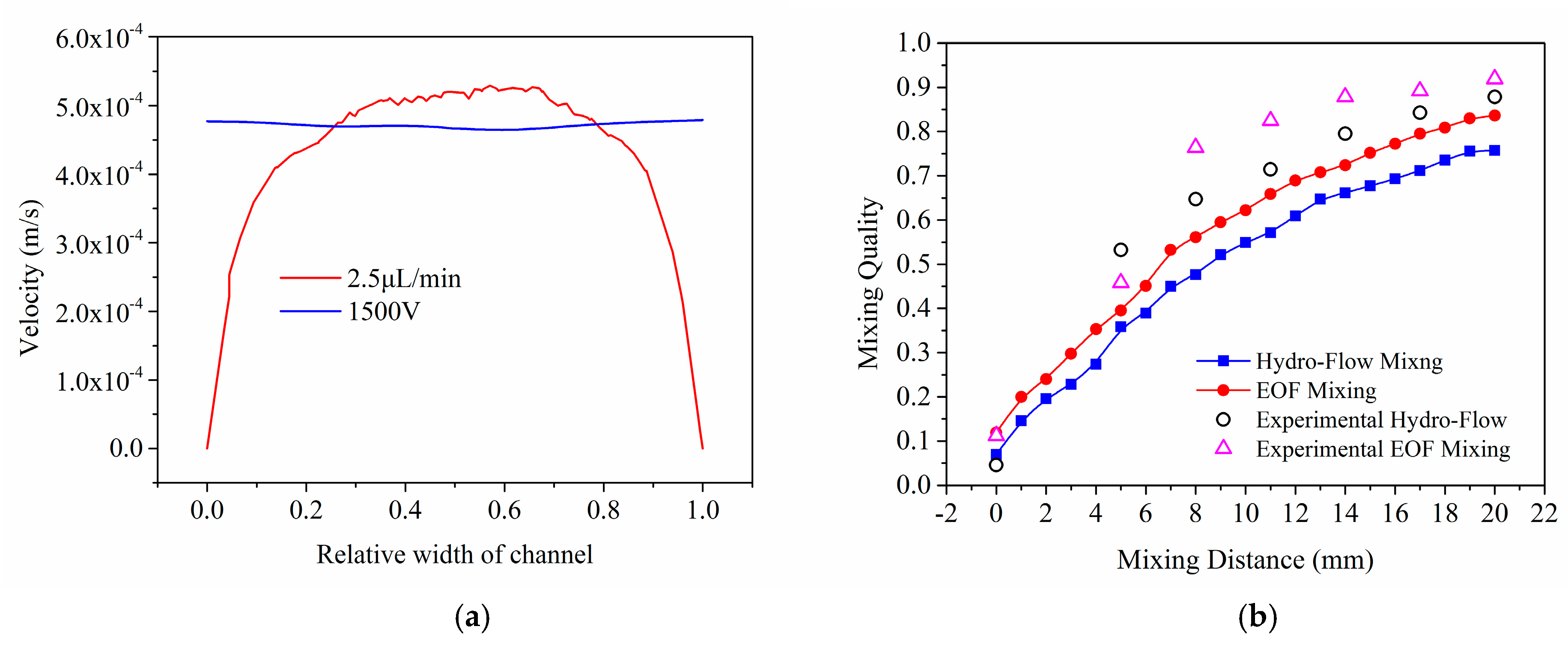
4.3. Comparison of Two Modes
5. Conclusions
- In the simulation of passive mixing in both pressure driven flow and electroosmotic flow, the mixing quality is improved with a lower flow rate. Lower flow rate ensures a longer mean residence time. It is noted that diffusion takes the domineering factor in passive mixing in both method. While increasing the flow rate will facilitate the local diffusion, at extremely low Re regime, the longer residence time ensures the promotion of mixing performance.
- Both in hydrodynamic flow and electro-osmotic flow, flow field is influenced by the herringbone structure. In hydrodynamic flow, the flow field is from typical Poiseuille flow, while in EOF the distribution of flow field is different from typical flat flow distribution in EOF.
- The reason in the difference of mixing quality in two driven modes is the flow field distribution. With a same total flow rate, flow field distribution is totally different in pressure driven flow and electroosmotic flow. Moreover, at extremely low Re regime mixing performance is better in EOF than that in pressure driven flow.
Acknowledgments
Author Contributions
Conflicts of Interest
Appendix A

Appendix B
Appendix C

References
- Whitesides, G.M. The origins and the future of microfluidics. Nature 2006, 442, 368–373. [Google Scholar] [CrossRef] [PubMed]
- Jia, Y.; Zhang, Z.X.; Su, C.; Lin, Q. Isothermal titration calorimetry in a polymeric microdevice. Microfluid. Nanofluid. 2017, 21, 90. [Google Scholar] [CrossRef]
- Pagliara, S.; Franze, K.; McClain, C.R.; Wylde, G.; Fisher, C.L.; Franklin, R.J.M.; Kabla, A.J.; Keyser, U.F.; Chalut, K.J. Auxetic nuclei in embryonic stem cells exiting pluripotency. Nat. Mater. 2014, 13, 638–644. [Google Scholar] [CrossRef] [PubMed]
- Petkovic, K.; Metcalfe, G.; Chen, H.; Gao, Y.; Best, M.; Lester, D.; Zhu, Y. Rapid detection of Hendra virus antibodies: An integrated device with nanoparticle assay and chaotic micromixing. Lab Chip 2017, 17, 169–177. [Google Scholar] [CrossRef] [PubMed]
- Sasaki, N.; Kitamori, T.; Kim, H.B. AC electroosmotic micromixer for chemical processing in a microchannel. Lab Chip 2006, 6, 550–554. [Google Scholar] [CrossRef] [PubMed]
- Rhee, M.; Burns, M.A. Microfluidic pneumatic logic circuits and digital pneumatic microprocessors for integrated microfluidic systems. Lab Chip 2009, 9, 3131–3143. [Google Scholar] [CrossRef] [PubMed]
- Xu, Q.B.; Hashimoto, M.; Dang, T.T.; Hoare, T.; Kohane, D.S.; Whitesides, G.M.; Langer, R.; Anderson, D.G. Preparation of Monodisperse Biodegradable Polymer Microparticles Using a Microfluidic Flow-Focusing Device for Controlled Drug Delivery. Small 2009, 5, 1575–1581. [Google Scholar] [CrossRef] [PubMed]
- Liang, T.F.; Zou, X.Y.; Mazzeo, A.D. A Flexible Future for Paper-based Electronics. In Proceedings of the SPIE Defense + Security, Baltimore, MD, USA, 17 May 2016. [Google Scholar]
- Nguyen, N.T.; Hejazian, M.; Ooi, C.H.; Kashaninejad, N. Recent Advances and Future Perspectives on Microfluidic Liquid Handling. Micromachines 2017, 8, 186. [Google Scholar] [CrossRef]
- Hessel, V.; Lowe, H.; Schonfeld, F. Micromixers—A review on passive and active mixing principles. Chem. Eng. Sci. 2005, 60, 2479–2501. [Google Scholar] [CrossRef]
- Lee, C.Y.; Wang, W.T.; Liu, C.C.; Fu, L.M. Passive mixers in microfluidic systems: A review. Chem. Eng. J. 2016, 288, 146–160. [Google Scholar] [CrossRef]
- Chun, H.; Kim, H.C.; Chung, T.D. Ultrafast active mixer using polyelectrolytic ion extractor. Lab Chip 2008, 8, 764–771. [Google Scholar] [CrossRef] [PubMed]
- Lu, L.H.; Ryu, K.S.; Liu, C. A magnetic microstirrer and array for microfluidic mixing. J. Microelectromech. Syst. 2002, 11, 462–469. [Google Scholar]
- Yaralioglu, G.G.; Wygant, I.O.; Marentis, T.C.; Khuri-Yakub, B.T. Ultrasonic mixing in microfluidic channels using integrated transducers. Anal. Chem. 2004, 76, 3694–3698. [Google Scholar] [CrossRef] [PubMed]
- Lu, Z.H.; McMahon, J.; Mohamed, H.; Barnard, D.; Shaikh, T.R.; Mannella, C.A.; Wagenknecht, T.; Lu, T.M. Passive microfluidic device for submillisecond mixing. Sens. Actuator B Chem. 2010, 144, 301–309. [Google Scholar] [CrossRef] [PubMed]
- Li, Y.; Zhang, D.L.; Feng, X.J.; Xu, Y.Z.; Liu, B.F. A microsecond microfluidic mixer for characterizing fast biochemical reactions. Talanta 2012, 88, 175–180. [Google Scholar] [CrossRef] [PubMed]
- Feng, X.S.; Fu, Z.; Kaledhonkar, S.; Jia, Y.; Shah, B.; Jin, A.; Liu, Z.; Sun, M.; Chen, B.; Grassucci, R.A.; et al. A Fast and Effective Microfluidic Spraying-Plunging Method for High-Resolution Single-Particle Cryo-EM. Structure 2017, 25, 663–670. [Google Scholar] [CrossRef] [PubMed]
- Stroock, A.D.; Dertinger, S.K.W.; Ajdari, A.; Mezic, I.; Stone, H.A.; Whitesides, G.M. Chaotic mixer for microchannels. Science 2002, 295, 647–651. [Google Scholar] [CrossRef] [PubMed]
- Lehmann, M.; Wallbank, A.M.; Dennis, K.A.; Wufsus, A.R.; Davis, K.M.; Rana, K.; Neeves, K.B. On-chip recalcification of citrated whole blood using a microfluidic herringbone mixer. Biomicrofluidics 2015, 9. [Google Scholar] [CrossRef] [PubMed]
- Sheng, W.A.; Ogunwobi, O.O.; Chen, T.; Zhang, J.L.; George, T.J.; Liu, C.; Fan, Z.H. Capture, release and culture of circulating tumor cells from pancreatic cancer patients using an enhanced mixing chip. Lab Chip 2014, 14, 89–98. [Google Scholar] [CrossRef] [PubMed]
- Toth, E.L.; Holczer, E.G.; Ivan, K.; Furjes, P. Optimized Simulation and Validation of Particle Advection in Asymmetric Staggered Herringbone Type Micromixers. Micromachines 2015, 6, 136–150. [Google Scholar] [CrossRef]
- Aubin, J.; Fletcher, D.F.; Xuereb, C. Design of micromixers using CFD modelling. Chem. Eng. Sci. 2005, 60, 2503–2516. [Google Scholar] [CrossRef]
- Ansari, M.A.; Kim, K.Y. Shape optimization of a micromixer with staggered herringbone groove. Chem. Eng. Sci. 2007, 62, 6687–6695. [Google Scholar] [CrossRef]
- Williams, M.S.; Longmuir, K.J.; Yager, P. A practical guide to the staggered herringbone mixer. Lab Chip 2008, 8, 1121–1129. [Google Scholar] [CrossRef] [PubMed]
- Li, C.A.; Chen, T.N. Simulation and optimization of chaotic micromixer using lattice Boltzmann method. Sens. Actuator B Chem. 2005, 106, 871–877. [Google Scholar]
- Fang, F.; Zhang, N.; Liu, K.; Wu, Z.Y. Hydrodynamic and electrodynamic flow mixing in a novel total glass chip mixer with streamline herringbone pattern. Microfluid. Nanofluid. 2015, 18, 887–895. [Google Scholar] [CrossRef]








| Parameter | Unit | Value |
|---|---|---|
| density | kg/m3 | 1 103 |
| viscosity | Pa | 1 10−3 |
| εr, relative permittivity | - | 8 10 |
| εo, permittivity | F/m | 8.85 10−12 |
| d, coefficient of diffusion | m2/s | 1 10−10 |
| , conductivity | S/m | 1.0 |
| Mode | Initial Condition | Boundary Condition | |
|---|---|---|---|
| Pressure driven flow | concentration | Wall condition | Outlet |
| 0.1 mol/m3 | non-slip | Flow rate, qw (μL/min) | |
| Electroosmotic flow (EOF) | concentration | Wall condition | Outlet |
| 0.1 mol/m3 | non-slip, insulated, zeta | Electric potential, E (V) | |
| Flow Rate (μL/min) | 0.6 | 0.9 | 1.3 | 2.5 | 5.0 |
|---|---|---|---|---|---|
| Velocity (m/s) | 8.5 × 10−4 | 1.28 × 10−3 | 1.85 × 10−3 | 3.56 × 10−3 | 7.12 × 10−3 |
| Re | 1.6 × 10−3 | 2.5 × 10−3 | 3.5 × 10−3 | 6.8 × 10−3 | 1.4 × 10−2 |
© 2017 by the authors. Licensee MDPI, Basel, Switzerland. This article is an open access article distributed under the terms and conditions of the Creative Commons Attribution (CC BY) license (http://creativecommons.org/licenses/by/4.0/).
Share and Cite
Wang, D.; Ba, D.; Liu, K.; Hao, M.; Gao, Y.; Wu, Z.; Mei, Q. A Numerical Research of Herringbone Passive Mixer at Low Reynold Number Regime. Micromachines 2017, 8, 325. https://doi.org/10.3390/mi8110325
Wang D, Ba D, Liu K, Hao M, Gao Y, Wu Z, Mei Q. A Numerical Research of Herringbone Passive Mixer at Low Reynold Number Regime. Micromachines. 2017; 8(11):325. https://doi.org/10.3390/mi8110325
Chicago/Turabian StyleWang, Dongyang, Dechun Ba, Kun Liu, Ming Hao, Yang Gao, Zhiyong Wu, and Qi Mei. 2017. "A Numerical Research of Herringbone Passive Mixer at Low Reynold Number Regime" Micromachines 8, no. 11: 325. https://doi.org/10.3390/mi8110325
APA StyleWang, D., Ba, D., Liu, K., Hao, M., Gao, Y., Wu, Z., & Mei, Q. (2017). A Numerical Research of Herringbone Passive Mixer at Low Reynold Number Regime. Micromachines, 8(11), 325. https://doi.org/10.3390/mi8110325

