Manufacturing and Characterization of a Thermoelectric Energy Harvester Using the CMOS-MEMS Technology
Abstract
:1. Introduction
2. Structure of the Energy Harvester



3. Fabrication of the Energy Harvester



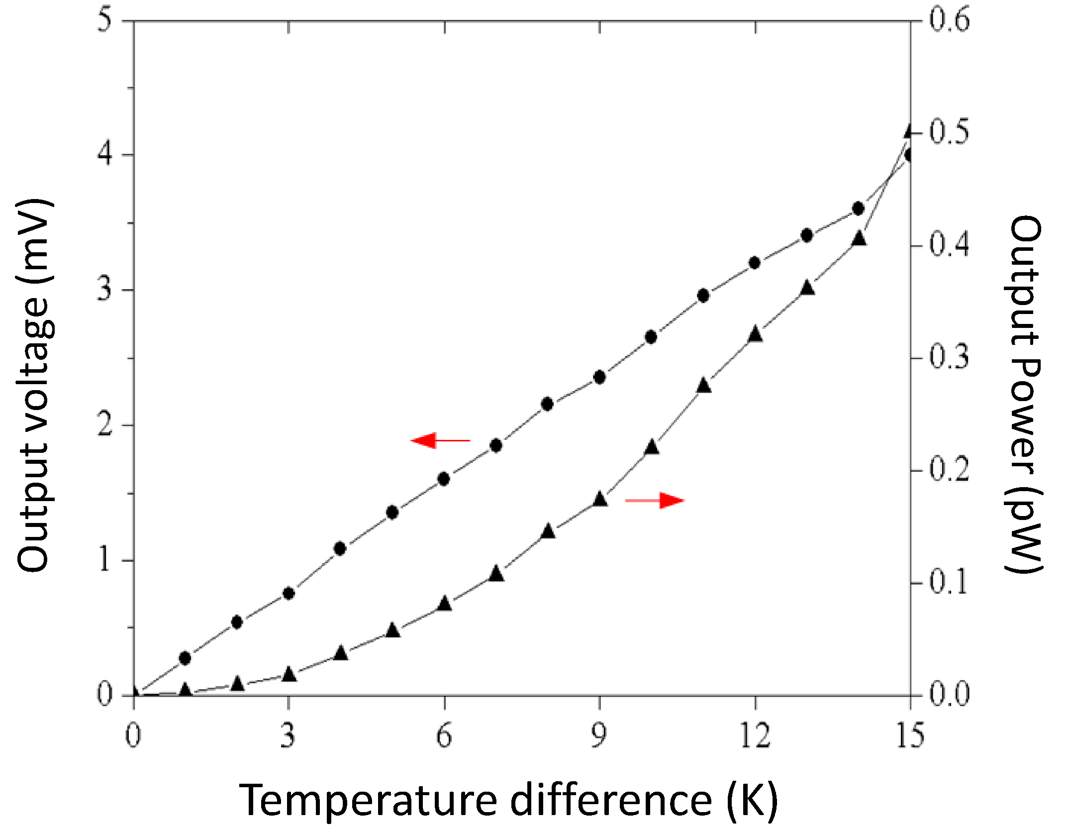
4. Results and Discussion


5. Conclusions
Acknowledgments
Author Contributions
Conflicts of Interest
References
- Elefsiniotis, A.; Samson, D.; Becker, T.; Schmid, U. Investigation of the performance of thermoelectric energy harvesters under real flight conditions. J. Electron. Mater. 2013, 42, 2301–2305. [Google Scholar] [CrossRef]
- Davila, D.; Tarancon, A.; Calaza, C.; Salleras, M.; Fernandez-Regulez, M.; San Paulo, A.; Fonseca, L. Monolithically integrated thermoelectric energy harvester based on silicon nanowire arrays for powering micro/nanodevices. Nano Energy 2012, 1, 812–819. [Google Scholar] [CrossRef]
- Ibragimov, A.; Pleteit, H.; Pille, C.; Lang, W. A Thermoelectric energy harvester directly embedded into casted aluminum. IEEE Electron. Device Lett. 2012, 33, 233–235. [Google Scholar] [CrossRef]
- Thangaraj, K.; Elefsiniots, A.; Becker, Th.; Schmid, U.; Lees, J.; Featherston, C.A.; Pullin, R. Energy storage options for wireless sensors powered by aircraft specific thermoelectric energy harvester. Microsyst. Technol. 2014, 20, 701–707. [Google Scholar] [CrossRef]
- Yang, S.M.; Cong, M.; Lee, T. Application of quantum well-like thermocouple to thermoelectric energy harvester by BiCMOS process. Sens. Actuators A Phys. 2011, 166, 117–124. [Google Scholar] [CrossRef]
- Dai, C.L.; Chang, Y.M. A resonant method for determining mechanical properties of Si3N4 and SiO2 thin films. Mater. Lett. 2007, 61, 3089–3092. [Google Scholar] [CrossRef]
- Su, J.; Vullers, R.J.M.; Goedbloed, M.; van Andel, Y.; Leonov, V.; Wang, Z. Thermoelectric energy harvester fabricated by Stepper. Microelectron. Eng. 2010, 87, 1242–1244. [Google Scholar] [CrossRef]
- Dai, C.L.; Kao, P.H.; Tai, Y.W.; Wu, C.C. Micro FET pressure sensor manufactured using CMOS-MEMS technique. Microelectron. J. 2008, 39, 744–749. [Google Scholar] [CrossRef]
- Gardner, J.W.; Varadan, V.K.; Awadelkarim, O.O. Microsensors, MEMS and Smart Devices; John Wiley & Sons Ltd.: Chichester, UK, 2001. [Google Scholar]
- Yadav, S.; Sharma, P.; Yamasani, P.; Minaev, S.; Kumar, S. A prototype micro-thermoelectric power generator for micro-electromechanical systems. Appl. Phys. Lett. 2014, 104, 123903. [Google Scholar] [CrossRef]
- Dai, C.L.; Hsu, H.M.; Tsai, M.C.; Hsieh, M.M.; Chang, M.W. Modeling and fabrication of a microelectromechanical microwave switch. Microelectron. J. 2007, 38, 519–524. [Google Scholar] [CrossRef]
- Yang, M.Z.; Dai, C.L.; Shih, P.J.; Chen, Y.C. Cobalt oxide nanosheet humidity sensor integrated with circuit on chip. Microelectron. Eng. 2011, 88, 1742–1744. [Google Scholar] [CrossRef]
- Su, J.; Leonov, V.; Goedbloed, M.; van Andel, Y.; de Nooijer, M.C.; Elfrink, R.; Wang, Z.; Vullers, R.J.M. A batch process micromachined thermoelectric energy harvester: Fabrication and characterization. J. Micromech. Microeng. 2010, 20, 104005. [Google Scholar] [CrossRef]
- Huesgen, T.; Woias, P.; Kockmann, N. Design and fabrication of MEMS thermoelectric generators with high temperature efficiency. Sens. Actuators A Phys. 2008, 145, 423–429. [Google Scholar] [CrossRef]
- Yu, X.; Wang, Y.; Liu, Y.; Li, T.; Zhou, H.; Gao, X.; Feng, F.; Roinila, T.; Wang, Y. CMOS MEMS-based thermoelectric generator with an efficient heat dissipation path. J. Micromech. Microeng. 2012, 22, 105011. [Google Scholar] [CrossRef]
- Yuan, Z.; Ziouche, K.; Bougrioua, Z.; Lejeune, P.; Lasri, T.; Leclercq, D. A planar micro thermoelectric generator with high thermal resistance. Sens. Actuators A Phys. 2015, 221, 67–76. [Google Scholar] [CrossRef]
- Kouma, N.; Nishino, T.; Tsuboi, O. A high-output-voltage micro-thermoelectric generator having high-aspect-ratio structure. J. Micromech. Microeng. 2013, 23, 114005. [Google Scholar] [CrossRef]
- Kao, P.H.; Shin, P.J.; Dai, C.L.; Liu, M.C. Fabrication and characterization of CMOS-MEMS thermoelectric micro generators. Sensors 2010, 10, 1315–1325. [Google Scholar] [CrossRef] [PubMed]
- Dai, C.L.; Chiou, J.H.; Lu, M.S.C. A maskless post-CMOS bulk micromachining process and its application. J. Micromech. Microeng. 2005, 15, 2366–2371. [Google Scholar] [CrossRef]
- Sun, C.M.; Tsai, M.H.; Liu, Y.C.; Fang, W. Implementation of a monolithic single proof-mass tri-axis accelerometer using CMOS-MEMS technique. IEEE Trans. Electron. Devices 2010, 57, 1670–1679. [Google Scholar] [CrossRef]
- Dai, C.L.; Chen, H.L.; Chang, P.Z. Fabrication of a micromachined optical modulator using the CMOS process. J. Micromech. Microeng. 2001, 11, 612–615. [Google Scholar] [CrossRef]
- Dennis, J.O.; Ahmed, A.Y.; Khir, M.H. Fabrication and characterization of a CMOS-MEMS humidity sensor. Sensor 2015, 15, 16674–16687. [Google Scholar] [CrossRef] [PubMed]
- Dai, C.L.; Chen, Y.C.; Wu, C.C.; Kuo, C.F. Cobalt oxide nanosheet and CNT micro carbon monoxide sensor integrated with readout circuit on chip. Sensors 2010, 10, 1753–1764. [Google Scholar] [CrossRef] [PubMed]
- Lee, K.Y.; Huang, J.T.; Hsu, H.J.; Chiu, M.C.; Tsai, T.C.; Chen, C.K. CMOS-MEMS piezoresistive force sensor with scanning signal process circuit for vertical probe card. Sens. Actuators A Phys. 2010, 160, 22–28. [Google Scholar] [CrossRef]
- Yang, M.Z.; Dai, C.L.; Wu, C.C. A zinc oxide nanorod ammonia microsensor integrated with a readout circuit on-a-chip. Sensors 2011, 11, 11112–11121. [Google Scholar] [CrossRef] [PubMed]
- Lu, C.C.; Huang, J. A 3-axis miniature magnetic sensor based on a planar fluxgate magnetometer with an orthogonal fluxguide. Sensors 2015, 15, 14727–14744. [Google Scholar] [CrossRef] [PubMed]
- Haris, M.; Qu, H.W. Fully differential CMOS-MEMS z-axis accelerometer with torsional structures and planar comb fingers. J. Micro-Nanolith. MEMS MOEMS 2010, 9, 013031. [Google Scholar] [CrossRef]
- Dai, C.L.; Lu, P.W.; Wu, C.C.; Chang, C. Fabrication of wireless micro pressure sensor using the CMOS process. Sensors 2009, 9, 8748–8760. [Google Scholar] [CrossRef] [PubMed]
- Yang, M.Z.; Dai, C.L.; Lin, W.Y. Fabrication and characterization of polyaniline/PVA humidity microsensors. Sensors 2011, 11, 8143–8151. [Google Scholar] [CrossRef] [PubMed]
- Xie, J.; Lee, C.; Feng, H. Design, fabrication, and characterization of CMOS MEMS-based thermoelectric power generators. J. Microelectromech. Syst. 2010, 19, 317–324. [Google Scholar] [CrossRef]
- Strasser, M.; Aigner, R.; Lauterbach, C.; Sturm, T.F.; Franosch, M.; Wachutka, G. Micromachined CMOS thermoelectric generators as on-chip power supply. Sens. Actuat. A Phys. 2004, 114, 362–370. [Google Scholar] [CrossRef]
- Sato, N.; Kuwabara, K.; Ono, K.; Sakata, T.; Morimura, H.; Terada, J.; Kudou, K.; Kamei, T.; Yano, M.; Machida, K.; et al. Monolithic integration fabrication process of thermoelectric and vibrational devices for microelectromechanical system power generator. Jpn. J. Appl. Phys. 2007, 46, 6062–6067. [Google Scholar] [CrossRef]
- Dai, C.L.; Xiao, F.Y.; Juang, Y.Z.; Chiu, C.F. An approach to fabricating microstructures that incorporate circuits using a post-CMOS process. J. Micromech. Microeng. 2005, 15, 98–103. [Google Scholar] [CrossRef]
- Kao, P.H.; Dai, C.L.; Hsu, C.C.; Lee, C.Y. Fabrication and characterization of a tunable in-plane resonator with low driving voltage. Sensors 2009, 9, 2062–2075. [Google Scholar] [CrossRef] [PubMed]
- Chang, C.; Lee, C.Y.; Shih, W.P.; Dai, C.L. Wet etching rates of InGaZnO for the fabrication of transparent thin-film transistors on plastic substrates. Thin Solid Film 2010, 518, 3992–3998. [Google Scholar]
- Dai, C.L.; Xiao, F.Y.; Lee, C.Y.; Cheng, Y.C.; Chang, P.Z.; Chang, S.H. Thermal effects in PZT: Diffusion of titanium and recrystallization of platinum. Mater. Sci. Eng. A 2004, 384, 57–63. [Google Scholar] [CrossRef]
© 2015 by the authors; licensee MDPI, Basel, Switzerland. This article is an open access article distributed under the terms and conditions of the Creative Commons by Attribution (CC-BY) license (http://creativecommons.org/licenses/by/4.0/).
Share and Cite
Peng, S.-W.; Shih, P.-J.; Dai, C.-L. Manufacturing and Characterization of a Thermoelectric Energy Harvester Using the CMOS-MEMS Technology. Micromachines 2015, 6, 1560-1568. https://doi.org/10.3390/mi6101439
Peng S-W, Shih P-J, Dai C-L. Manufacturing and Characterization of a Thermoelectric Energy Harvester Using the CMOS-MEMS Technology. Micromachines. 2015; 6(10):1560-1568. https://doi.org/10.3390/mi6101439
Chicago/Turabian StylePeng, Shih-Wen, Po-Jen Shih, and Ching-Liang Dai. 2015. "Manufacturing and Characterization of a Thermoelectric Energy Harvester Using the CMOS-MEMS Technology" Micromachines 6, no. 10: 1560-1568. https://doi.org/10.3390/mi6101439
APA StylePeng, S.-W., Shih, P.-J., & Dai, C.-L. (2015). Manufacturing and Characterization of a Thermoelectric Energy Harvester Using the CMOS-MEMS Technology. Micromachines, 6(10), 1560-1568. https://doi.org/10.3390/mi6101439
