Topology Reconfiguration for NoCs: A Fast Reconfiguration Algorithm Based on Monotonic Path Shifting
Abstract
1. Introduction
- (1)
- We propose a local remapping reconstruction model constrained by monotonicity. Unlike existing methods that search for candidate replacement relations in the general remapping space [13,22], this paper reduces bad core recovery to the construction of UB/LB monotonic paths from the failed core to redundant columns and the problem of shifting mappings along these paths, and provides feasible update rules that satisfy the REmesh constraints.
- (2)
- We propose a multi-fault conflict resolution mechanism that avoids global backtracking. To address path intersections and reachability blockages in multi-bad-core scenarios, we design a region-preservation and local-backtracking mechanism that adjusts the processing order within local conflict neighborhoods, thereby avoiding the expansion of conflict resolution into global combinatorial search.
- (3)
- We evaluate algorithms based on recovery cost rather than merely their ability to find feasible solutions. Experiments across various scales and fault distributions demonstrate that MPS, while maintaining reconstruction success rates comparable to those of BSTR, BTTR, and ACTR, significantly improves core reuse rates and reduces average recovery time, with particularly pronounced advantages in large-scale, low-fault-rate scenarios [23,24,25].
2. Related Works
- (1)
- The basic approach of the aforementioned methods still involves searching for feasible solutions within the global candidate mapping space. When selecting an adjacent healthy node to replace a failed node, this can easily trigger a chain reaction of healthy node replacements and result in the unnecessary consumption of redundant nodes;
- (2)
- The computational complexity is high, making it difficult to strike a balance between topological reconstruction rate and topological recovery time;
- (3)
- Most existing work focuses on obtaining “reconstruction results,” but lacks explicit descriptions of the information migration direction, migration path constraints, and migration consistency during the recovery process after reconstruction. This means that while the algorithms can complete topological repair, they cannot directly guide subsequent state migration and system recovery deployment.
3. System Model and Problem Definition
3.1. REmesh Structure NoC Physical Topology
3.2. REmesh Structural Optimization and Logical Topology Reconstruction
3.3. Evaluation Indicators
4. Map Reconstruction Algorithm Based on Monotonic Path Shift
4.1. Fundamental Concept of the Algorithm
4.2. Monotonic Path Construction (Bidirectional)
4.3. Multi-Fault Handling: Sequence Adjustment and Conflict Avoidance
- (1)
- Causality Preservation Mechanism: This mechanism ensures fault handling follows resource flow direction. By prioritizing nodes near array boundaries (or spare repositories), the algorithm clears reconstruction paths for subsequent upstream nodes, effectively preventing deadlocks and resource contention.
- (2)
- Path Regularity: The geometric arrangement creates layered path flows. By paralleling shift chains in layers, it fundamentally reduces path crossing probabilities, transforming the global two-dimensional search complexity into a local one-dimensional traversal.
- (1)
- Region Reservation Mechanism: Since the implementation of the region reservation mechanism is closely tied to the construction of monotonic paths, under multi-fault handling, the paths we construct flow in a layered manner according to geometric arrangement based on the search order. Therefore, for subsequent faulty core nodes, the search space does not need to traverse the space below this monotonic path. Otherwise, it would cause the monotonic path to enter a search dead zone, resulting in path search failure. Therefore, for the routing framework above, after each monotonic path is found, the region below this path is masked. For the routing framework below, after each monotonic path is found, the region above this path is masked.
- (2)
- Local Backtracking Mechanism: During each search for monotonic paths, conflict detection is performed. If a conflict occurs, a local backtracking is executed by advancing the search order of the node causing the conflict. Since we have specified an initial search order, depending on the selected routing framework, conflict nodes only need to be sought within the upper-left/lower-left regions. The feasibility of this approach is demonstrated by Theorem 2 and 3 in the subsequent discussion.
4.4. Path Shifting
4.5. Algorithm Pseudocode and Complexity
| Algorithm 1. MPS Algorithm. |
| Input: physical array H Output: An target array T |
| 1: for i = 0 to 1 do 2: for j = 0 to do 3: Select a routing framework 4: Select the physical array covered by the selected routing framework 5: if i = 0 then /* The selected routing framework is the one above.*/ 6: T:=MPS_UB(); 7: else /* The selected routing framework is the one below.*/ 8: T:=MPS_LB); 9: end if 10: if T is effective then 11: Return T 12: end if 13: end for 14: end for |
| Algorithm 2. MPS_UB Algorithm. |
| Input: An routing framework , An physical array , Output: An target array T |
| 1: Initialize path table Path, path table copy 2: Initialize the defective core linked list for the workspace Linklist /* Records defective cores in the workspace for constructing monotonic paths */ 3: for to 0 do // Build the initial bad block search order from left to right and bottom to top 4: for do 5: if is a defective core then 6: Mark redundant column area bad blocks and mark bad blocks in the workspace to 7: if then 8: Update the bad core in the workspace to Linklist 9: end if 10: end if 11: end for 12: end for 13: ; 14: while Linkist is not empty do 15: tag:=Find_UB_path();// Construct a monotonic path for and record it in , using tags to document the construction results. 16: if tag then 17: if Failed potential conflict 2 detection then 18: ; 19: Advance the selection of a Category B partial rollback point; 20: end if 21: else/* Potential conflict detected 1*/ 22: ; 23: Advance the selection of a Class A partial rollback point; 24: end if 25: if No potential conflict 1 has occurred and No potential conflict 2 has occurred then 26: ; 27: Perform region masking on and ; 28: end if 29: end while 30: Map and shift S and P along the path according to the Path table, and store the result in T; 31: return T |
5. Experiment
5.1. Experimental Preparation
5.2. Comparison Algorithms
5.3. Results and Analysis
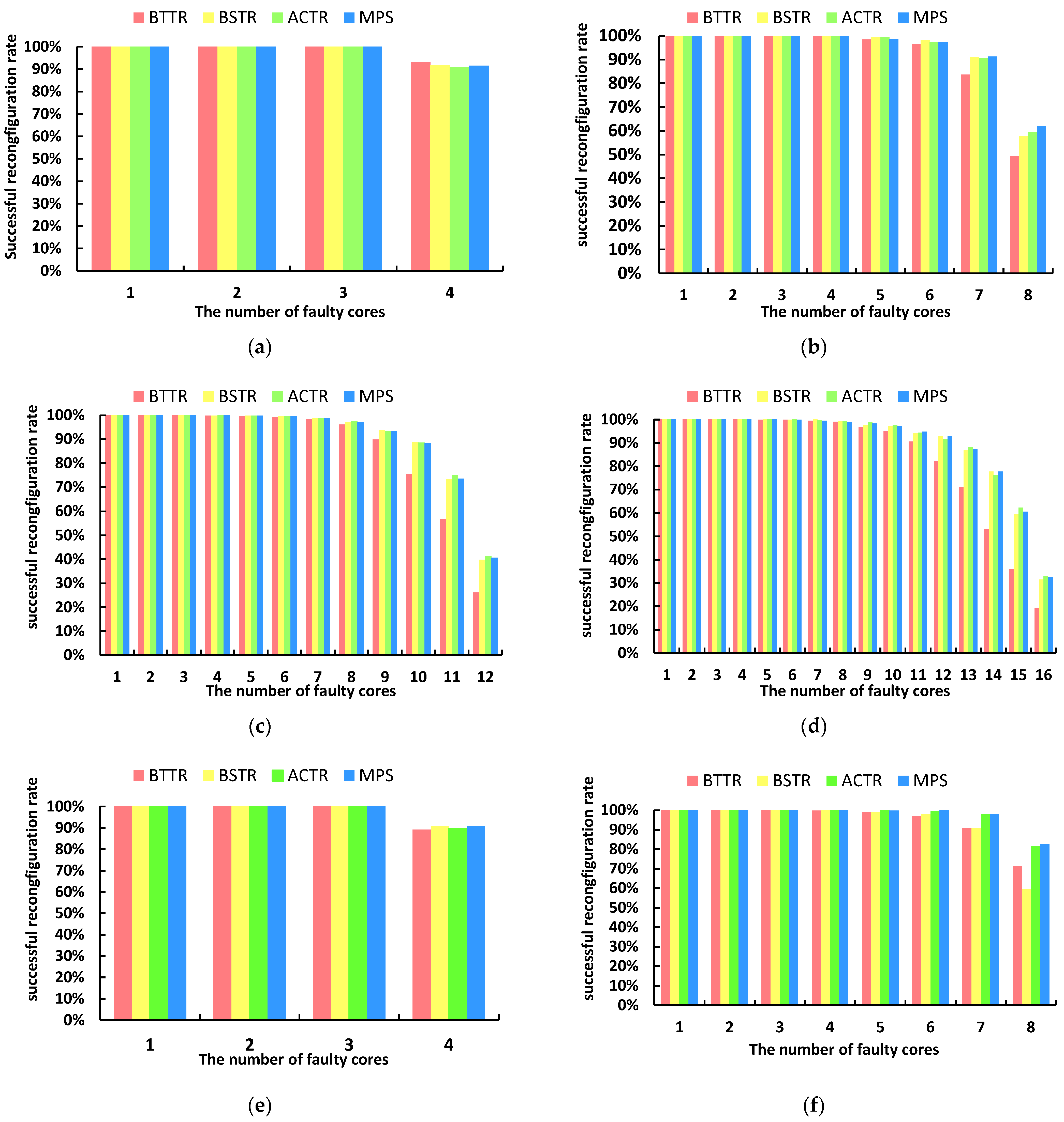
- (1)
- Success Rate of Reconstruction (SRR/Yield):
- (2)
- Average Core Reuse Rate ():
- (3)
- Average Recovery Time (ART):
- (4)
- Algorithm Execution Time ():
6. Conclusions
Author Contributions
Funding
Institutional Review Board Statement
Informed Consent Statement
Data Availability Statement
Acknowledgments
Conflicts of Interest
References
- Moore, G.E. Cramming More Components onto Integrated Circuits. Proc. IEEE 1998, 86, 82–85. [Google Scholar] [CrossRef]
- Dennard, R.H.; Gaensslen, F.H.; Yu, H.-N.; Rideout, V.L.; Bassous, E.; LeBlanc, A.R. Design of Ion-Implanted MOSFET’s with Very Small Physical Dimensions. IEEE J. Solid-State Circuits 1974, 9, 256–268. [Google Scholar] [CrossRef]
- Hennessy, J.L.; Patterson, D.A. A New Golden Age for Computer Architecture. Commun. ACM 2019, 62, 48–60. [Google Scholar] [CrossRef]
- Esmaeilzadeh, H.; Blem, E.; St. Amant, R.; Sankaralingam, K.; Burger, D. Dark Silicon and the End of Multicore Scaling. IEEE Micro 2012, 32, 122–134. [Google Scholar] [CrossRef]
- Ho, R.; Mai, K.W.; Horowitz, M.A. The Future of Wires. Proc. IEEE 2001, 89, 490–504. [Google Scholar] [CrossRef]
- Dally, W.J.; Towles, B. Route Packets, Not Wires: On-Chip Interconnection Networks. In Proceedings of the 38th Design Automation Conference (DAC), Las Vegas, NV, USA, 18–22 June 2001; ACM: New York, NY, USA, 2001; pp. 684–689. [Google Scholar] [CrossRef]
- Benini, L.; De Micheli, G. Networks on Chips: A New SoC Paradigm. Computer 2002, 35, 70–78. [Google Scholar] [CrossRef]
- Bjerregaard, T.; Mahadevan, S. A Survey of Research and Practices of Network-on-Chip. ACM Comput. Surv. 2006, 38, 1–51. [Google Scholar] [CrossRef]
- Constantinescu, C. Trends and Challenges in VLSI Circuit Reliability. IEEE Micro 2003, 23, 14–19. [Google Scholar] [CrossRef]
- Avizienis, A.; Laprie, J.-C.; Randell, B.; Landwehr, C. Basic Concepts and Taxonomy of Dependable and Secure Computing. IEEE Trans. Dependable Secur. Comput. 2004, 1, 11–33. [Google Scholar] [CrossRef]
- Werner, S.; Navaridas, J.; Luján, M. A Survey on Design Approaches to Circumvent Permanent Faults in Networks-on-Chip. ACM Comput. Surv. 2016, 48, 59. [Google Scholar] [CrossRef]
- Feng, A.; Lu, Y.; Jantsch, A.; Zhang, M.; Xing, Z. A Reconfigurable Fault-Tolerant Deflection Routing Algorithm Based on Reinforcement Learning for Network-on-Chip. In Proceedings of the IEEE/ACM International Conference on Hardware/Software Codesign and System Synthesis (CODES+ISSS), Scottsdale, AZ, USA, 24–29 October 2010; ACM: New York, NY, USA, 2010; pp. 321–326. [Google Scholar] [CrossRef]
- Zhang, L.; Han, Y.; Xu, Q.; Li, X.; Li, H. On Topology Reconfiguration for Defect-Tolerant NoC-Based Homogeneous Manycore Systems. IEEE Trans. Very Large Scale Integr. (VLSI) Syst. 2009, 17, 1173–1186. [Google Scholar] [CrossRef]
- Zhang, L.; Han, Y.; Xu, Q.; Li, X. Defect Tolerance in Homogeneous Manycore Processors Using Core-Level Redundancy with Unified Topology. In Proceedings of the Design, Automation and Test in Europe Conference and Exhibition (DATE), Munich, Germany, 10–14 March 2008; ACM: New York, NY, USA, 2008; pp. 891–896. [Google Scholar] [CrossRef]
- Hosseinabady, M.; Núñez-Yáñez, J.L. Fault-Tolerant Dynamically Reconfigurable NoC-Based SoC. In Proceedings of the 19th IEEE International Conference on Application-Specific Systems, Architectures and Processors (ASAP), Leuven, Belgium, 2–4 July 2008; ACM: New York, NY, USA, 2008; pp. 31–36. [Google Scholar] [CrossRef]
- Beldachi, A.F.; Núñez-Yáñez, J.L. Reconfigure Router Design and Evaluation for the FPGA-Friendly SoCWire Network-on-Chip. In Proceedings of the Annual FPGA Conference (FPGAworld ’12), Oslo, Norway, 4 September 2012; ACM: New York, NY, USA, 2012; Art. 1, 6 pages. [Google Scholar] [CrossRef]
- Hogan, J.A.; Weber, R.J.; LaMeres, B.J.; Kaiser, T. Network-on-Chip for a Partially Reconfigurable FPGA System. In Proceedings of the 27th International ACM Conference on International Conference on Supercomputing (ICS), Eugene, OR, USA, 10–14 June 2013; ACM: New York, NY, USA, 2013; pp. 473–474. [Google Scholar] [CrossRef]
- Heiner, J.; Sellers, B.; Wirthlin, M.; Kalb, J. FPGA Partial Reconfiguration via Configuration Scrubbing. In Proceedings of the International Conference on Field Programmable Logic and Applications (FPL), Prague, Czech Republic, 31 August–2 September 2009; IEEE: New York, NY, USA, 2009; pp. 99–104. [Google Scholar] [CrossRef]
- Cannon, M.; Keller, A.; Wirthlin, M. Improving the Effectiveness of TMR Designs on FPGAs with SEU-Aware Incremental Placement. In Proceedings of the IEEE 26th Annual International Symposium on Field-Programmable Custom Computing Machines (FCCM), Boulder, CO, USA, 29 April–1 May 2018; IEEE: New York, NY, USA, 2018; pp. 141–148. [Google Scholar] [CrossRef]
- Nguyen, N.T.H.; Agiakatsikas, D.; Zhao, Z.; Wu, T.; Cetin, E.; Diessel, O.; Gong, L. Reconfiguration Control Networks for FPGA-Based TMR Systems with Modular Error Recovery. Microprocess. Microsyst. 2018, 60, 86–95. [Google Scholar] [CrossRef]
- Kadri, N.; Koudil, M. A Survey on Fault-Tolerant Application Mapping Techniques for Network-on-Chip. J. Syst. Archit. 2019, 92, 39–52. [Google Scholar] [CrossRef]
- Wu, J.; Wu, Y.; Jiang, G.; Lam, S.K. Algorithms for Reconfiguring NoC-Based Fault-Tolerant Multiprocessor Arrays. J. Circuits Syst. Comput. 2019, 28, 1950111. [Google Scholar] [CrossRef]
- Fu, F.-F.; Niu, N.; Xian, X.-H.; Wang, J.-X.; Lai, F.-C. An Optimized Topology Reconfiguration Bidirectional Searching Fault-Tolerant Algorithm for REmesh Network-on-Chip. In Proceedings of the IEEE 12th International Conference on ASIC (ASICON), Guiyang, China, 25–28 October 2017; IEEE: New York, NY, USA, 2017; pp. 303–306. [Google Scholar] [CrossRef]
- Niu, N.; Fu, F.-F.; Li, H.; Lai, F.-C.; Wang, J.-X. A Novel Topology Reconfiguration Backtracking Algorithm for 2D REmesh Networks-on-Chip. In Parallel Architecture, Algorithm and Programming; Springer: Singapore, 2017; pp. 51–58. [Google Scholar] [CrossRef]
- Hou, B.; Xu, D.; Fu, F.; Yang, B.; Niu, N. An Optimized Core Distribution Adaptive Topology Reconfiguration Algorithm for NoC-Based Embedded Systems. Micromachines 2025, 16, 421. [Google Scholar] [CrossRef]
- Sontakke, V.; Atchina, D. Memory Built-In Self-Repair and Correction for Improving Yield: A Review. Int. J. Electr. Comput. Eng. 2024, 14, 140–156. [Google Scholar] [CrossRef]
- Shivakumar, P.; Keckler, S.W.; Moore, C.R.; Burger, D. Exploiting Microarchitectural Redundancy for Defect Tolerance. In Proceedings of the 21st International Conference on Computer Design (ICCD), San Jose, CA, USA, 13 October 2003; IEEE: New York, NY, USA, 2003; pp. 481–488. [Google Scholar] [CrossRef]
- Qian, J.; Zhang, C.; Wu, Z.; Ding, H.; Li, L. Efficient Topology Reconfiguration for NoC-Based Multiprocessors: A Greedy-Memetic Algorithm. J. Parallel Distrib. Comput. 2024, 190, 104904. [Google Scholar] [CrossRef]
- Beechu, N.K.R.; Harishchandra, V.M.; Balachandra, N.K.Y. Hardware Implementation of Fault Tolerance NoC Core Mapping. Telecommun. Syst. 2018, 68, 621–630. [Google Scholar] [CrossRef]
- Kumar, A.S.; Rao, T.V.K.H. An Adaptive Core Mapping Algorithm on NoC for Future Heterogeneous System-on-Chip. Comput. Electr. Eng. 2021, 95, 107441. [Google Scholar] [CrossRef]
- Bhanu, P.V.; Govindan, R.; Kattamuri, P.; Soumya, J.; Cenkeramaddi, L.R. Flexible Spare Core Placement in Torus Topology Based NoCs and Its Validation on an FPGA. IEEE Access 2021, 9, 45935–45954. [Google Scholar] [CrossRef]
- Bhanu, P.V.; Govindan, R.; Kumar, R.; Singh, V.; Soumya, J.; Cenkeramaddi, L.R. Fault-Tolerant Application-Specific Topology-Based NoC and Its Prototype on an FPGA. IEEE Access 2021, 9, 76759–76779. [Google Scholar] [CrossRef]
- Wu, Z.X.; Wang, J.X.; Zhang, J.Y.; Wang, X.Y.; Fu, F.F. Exploration of a Reconfigurable 2D Mesh Network-on-Chip Architecture and a Topology Reconfiguration Algorithm. In Proceedings of the IEEE 11th International Conference on Solid-State and Integrated Circuit Technology (ICSICT), Xi’an, China, 29 October–1 November 2012; IEEE: New York, NY, USA, 2012; Article 6466732. [Google Scholar] [CrossRef]
- Dally, W.J.; Seitz, C.L. Deadlock-Free Message Routing in Multiprocessor Interconnection Networks. IEEE Trans. Comput. 1987, 36, 547–553. [Google Scholar] [CrossRef]














| Symbol Definition | Description |
|---|---|
| Processor core | |
| Bad core | |
| Bad core collection | |
| A collection of processor cores | |
| The path of the first ith bad core structure | |
| Path family collections |
Disclaimer/Publisher’s Note: The statements, opinions and data contained in all publications are solely those of the individual author(s) and contributor(s) and not of MDPI and/or the editor(s). MDPI and/or the editor(s) disclaim responsibility for any injury to people or property resulting from any ideas, methods, instructions or products referred to in the content. |
© 2026 by the authors. Licensee MDPI, Basel, Switzerland. This article is an open access article distributed under the terms and conditions of the Creative Commons Attribution (CC BY) license.
Share and Cite
Zhang, M.; Wang, Z.; Wang, Z.; Xu, D.; Niu, N. Topology Reconfiguration for NoCs: A Fast Reconfiguration Algorithm Based on Monotonic Path Shifting. Micromachines 2026, 17, 438. https://doi.org/10.3390/mi17040438
Zhang M, Wang Z, Wang Z, Xu D, Niu N. Topology Reconfiguration for NoCs: A Fast Reconfiguration Algorithm Based on Monotonic Path Shifting. Micromachines. 2026; 17(4):438. https://doi.org/10.3390/mi17040438
Chicago/Turabian StyleZhang, Mingzhi, Zhijia Wang, Zhenxing Wang, Dali Xu, and Na Niu. 2026. "Topology Reconfiguration for NoCs: A Fast Reconfiguration Algorithm Based on Monotonic Path Shifting" Micromachines 17, no. 4: 438. https://doi.org/10.3390/mi17040438
APA StyleZhang, M., Wang, Z., Wang, Z., Xu, D., & Niu, N. (2026). Topology Reconfiguration for NoCs: A Fast Reconfiguration Algorithm Based on Monotonic Path Shifting. Micromachines, 17(4), 438. https://doi.org/10.3390/mi17040438

