A Numerical Investigation on the Effect of Size and Volume Fraction of Red Blood Cells in a Microchannel with Sudden Expansion
Abstract
1. Introduction
2. Numerical Method
2.1. Model Assumptions
2.2. Two-Phase Blood Flow Model
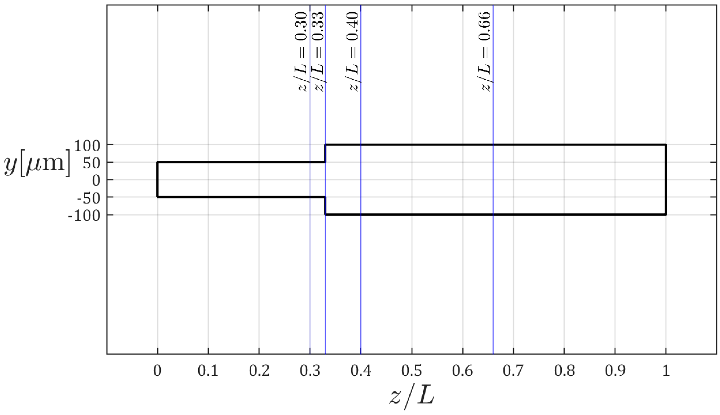
2.3. Geometry, Mesh and Boundary Conditions
2.4. Fluid Properties and Calculation Parameters
2.5. Calculation of the Cell-Free Layer
3. Results and Discussion
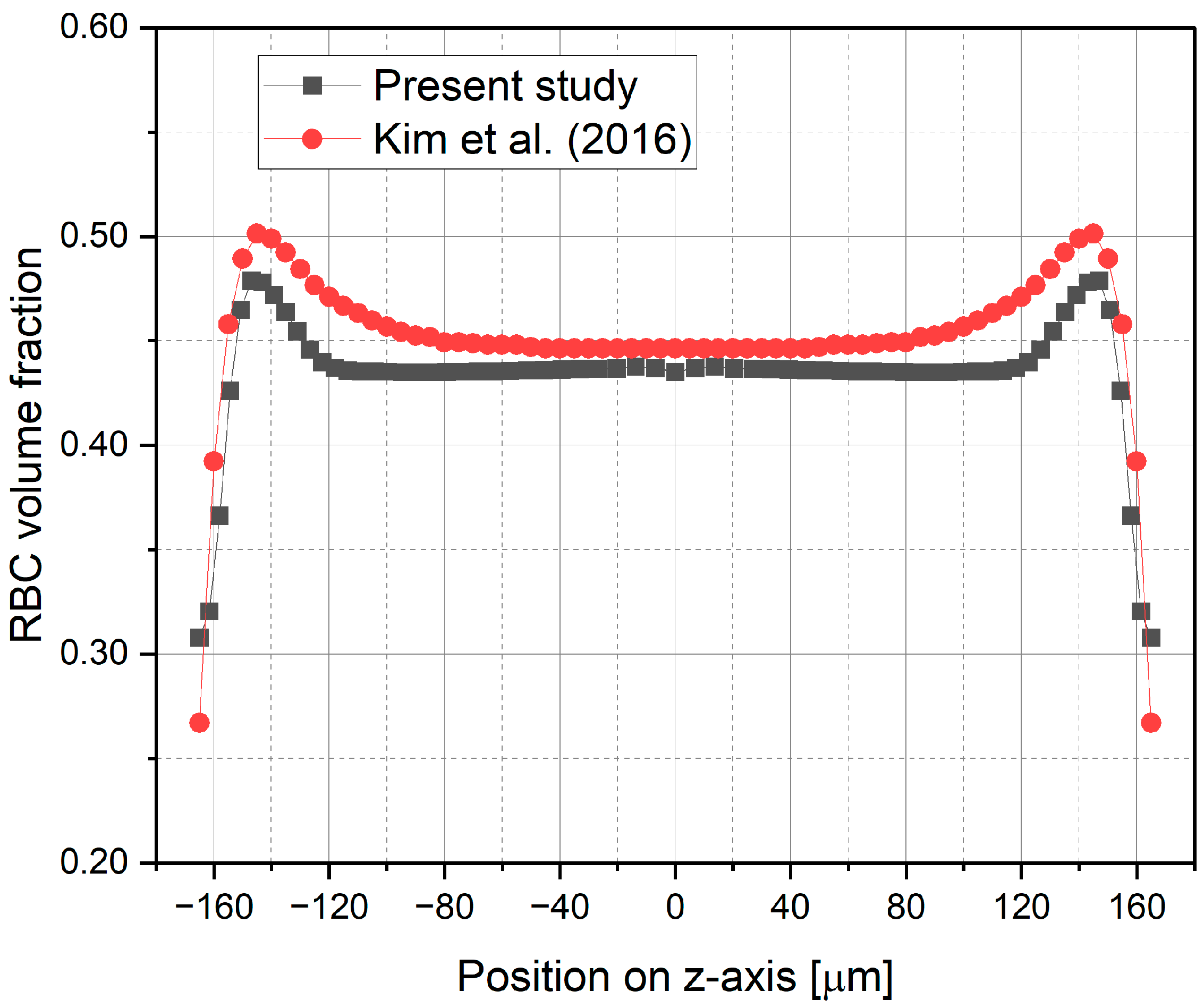
3.1. Validation of the Numerical Model
3.2. Effect of Blood Flow Rate on RBC Distribution
3.3. Effect of RBC Diameter and Hematocrit on RBC Distribution and CFL Thickness
3.4. Effect of RBC Diameter and Hematocrit on Pressure Drop
3.5. Limitations and Future Perspective
4. Conclusions
- RBC size and hematocrit strongly govern RBC spatial distribution and CFL development.
- Larger RBCs exhibit enhanced migration toward the channel core, producing a thicker CFL.
- Smaller RBCs tend to remain closer to vessel walls, resulting in a thinner CFL.
- Increasing hematocrit reduces CFL thickness for all RBC sizes.
- Larger RBCs maintain a smoother cell-depleted layer immediately downstream of the sudden expansion at low to moderate hematocrit levels.
- Blood flow rate has a negligible effect on both RBC distribution.
- While RBC size significantly influences local cell distribution and CFL formation, its impact on the overall pressure drop remains limited.
- A non-linear relationship is evident between hematocrit (αR) and dimensionless pressure drop, ΔP*, where a parabolic trend is observed with a minimum ΔP* at αR = 0.3.
- The αR − ΔP* relationship is well represented by a second-order polynomial correlation, with a maximum relative error of 1.13% over the range 0.2 ≤ αR ≤ 0.5.
- The optimal hematocrit level of αR = 0.3 calculated by the present numerical calculations is compatible with the hematocrit corresponding to optimum oxygen transport efficiency, as reported previously.
Author Contributions
Funding
Data Availability Statement
Acknowledgments
Conflicts of Interest
Nomenclature
| Symbols | |
| αp | Plasma volume fraction |
| αR | RBC volume fraction (hematocrit) |
| Interphase momentum exchange coefficient (kg/m3 s) | |
| Shear rate (s−1) | |
| CFL thickness (μm) | |
| Normalized CFL thickness | |
| η | Dimensionless relative mixture viscosity |
| Time constant (s) | |
| Dynamic viscosity (kg/m s) | |
| Density (kg/m3) | |
| Stress (N/m2) | |
| CD | Interphase drag coefficient |
| Cl | Interphase lift coefficient |
| Dh | Hydraulic diameter (μm) |
| dR | RBC diameter (μm) |
| Interphase drag force (N/m3) | |
| Interphase lift force (N/m3) | |
| h | Channel height (μm) |
| L | Channel length (μm) |
| Le | Hydrodynamic entrance length (μm) |
| m, n | Carreau–Yasuda-type viscosity model coefficients |
| ΔP | Pressure drop (Pa) |
| ΔP* | Normalized pressure drop |
| Reω | Vorticity Reynolds number |
| ReR | RBC Reynolds number |
| u | Velocity (m/s) |
| W | Channel width (μm) |
| Abbreviations | |
| CFL | Cell-free layer |
| RBC | Red blood cell |
| Subscripts | |
| mix | Mixture |
| p | Plasma |
| R | Red Blood Cell (RBC) |
| 1, 2 | Channel indices for upstream and downstream of the expansion |
References
- Fahraeus, R.; Lindqvist, T. The viscosity of the blood in narrow capillary tubes. Am. J. Physiol.-Leg. Content 1931, 96, 562–568. [Google Scholar] [CrossRef]
- Rodrigues, R.O.; Lopes, R.; Pinho, D.; Pereira, A.I.; Garcia, V.; Gassmann, S.; Sousa, P.C.; Lima, R. In vitro blood flow and cell-free layer in hyperbolic microchannels: Visualizations and measurements. BioChip J. 2016, 10, 9–15. [Google Scholar] [CrossRef]
- Gidaspow, D.; Huang, J. Kinetic theory based model for blood flow and its viscosity. Ann. Biomed. Eng. 2009, 37, 1534–1545. [Google Scholar] [CrossRef] [PubMed]
- Gidaspow, D. Multiphase Flow and Fluidization: Continuum and Kinetic Theory Description; Academic press: Cambridge, MA, USA, 1994. [Google Scholar]
- Gidaspow, D.; Bezburuah, R.; Ding, J. Hydrodynamics of Circulating Fluidized Beds: Kinetic Theory Approach; Illinois Institute of Technology, Department of Chemical Engineering: Chicago, IL, USA, 1991. [Google Scholar]
- Einstein, A. Investigations on the Theory of the Brownian Movement; Courier Corporation: New York, NY, USA, 1956. [Google Scholar]
- Secomb, T.W.; Pries, A.R. Blood viscosity in microvessels: Experiment and theory. Comptes Rendus Phys. 2013, 14, 470–478. [Google Scholar] [CrossRef] [PubMed]
- Kim, J.; Antaki, J.F.; Massoudi, M. Computational study of blood flow in microchannels. J. Comput. Appl. Math. 2016, 292, 174–187. [Google Scholar] [CrossRef]
- Gracka, M.; Lima, R.; Miranda, J.M.; Student, S.; Melka, B.; Ostrowski, Z. Red blood cells tracking and cell-free layer formation in a microchannel with hyperbolic contraction: A CFD model validation. Comput. Methods Programs Biomed. 2022, 226, 107117. [Google Scholar] [CrossRef]
- Soh, G.Y.; Yeoh, G.H.; Timchenko, V. A CFD model for the coupling of multiphase, multicomponent and mass transfer physics for micro-scale simulations. Int. J. Heat Mass Transf. 2017, 113, 922–934. [Google Scholar] [CrossRef]
- Jafari, A.; Zamankhan, P.; Mousavi, S.M.; Kolari, P. Numerical investigation of blood flow. Part II: In capillaries. Commun. Nonlinear Sci. Numer. Simul. 2009, 14, 1396–1402. [Google Scholar] [CrossRef]
- Afzal, A.; Kim, K.Y. Flow and mixing analysis of non-Newtonian fluids in straight and serpentine microchannels. Chem. Eng. Sci. 2014, 116, 263–274. [Google Scholar] [CrossRef]
- Barbosa, F.; Dueñas-Pamplona, J.; Abreu, C.S.; Oliveira, M.S.N.; Lima, R.A. Numerical model validation of the blood flow through a microchannel hyperbolic contraction. Micromachines 2023, 14, 1886. [Google Scholar] [CrossRef]
- Yin, X.; Thomas, T.; Zhang, J. Multiple red blood cell flows through microvascular bifurcations: Cell free layer, cell trajectory, and hematocrit separation. Microvasc. Res. 2013, 89, 47–56. [Google Scholar] [CrossRef]
- Yaginuma, T.; Oliveira, M.S.N.; Lima, R.; Ishikawa, T.; Yamaguchi, T. Human red blood cell behavior under homogeneous extensional flow in a hyperbolic-shaped microchannel. Biomicrofluidics 2013, 7, 54110. [Google Scholar] [CrossRef]
- Pinho, D.; Rodrigues, R.O.; Faustino, V.; Yaginuma, T.; Exposto, J.; Lima, R. Red blood cells radial dispersion in blood flowing through microchannels: The role of temperature. J. Biomech. 2016, 49, 2293–2298. [Google Scholar] [CrossRef]
- Patrick, M.J.; Chen, C.-Y.; Frakes, D.H.; Dur, O.; Pekkan, K. Cellular-level near-wall unsteadiness of high-hematocrit erythrocyte flow using confocal μPIV. Exp. Fluids 2011, 50, 887–904. [Google Scholar] [CrossRef]
- Zhao, R.; Marhefka, J.N.; Shu, F.; Hund, S.J.; Kameneva, M.V.; Antaki, J.F. Micro-flow visualization of red blood cell-enhanced platelet concentration at sudden expansion. Ann. Biomed. Eng. 2008, 36, 1130–1141. [Google Scholar] [CrossRef] [PubMed]
- Lee, S.S.; Yim, Y.; Ahn, K.H.; Lee, S.J. Extensional flow-based assessment of red blood cell deformability using hyperbolic converging microchannel. Biomed. Microdevices 2009, 11, 1021. [Google Scholar] [CrossRef] [PubMed]
- Rashidi, Y.; Aouane, O.; Darras, A.; John, T.; Harting, J.; Wagner, C.; Recktenwald, S.M. Cell-free layer development and spatial organization of healthy and rigid red blood cells in a microfluidic bifurcation. Soft Matter 2023, 19, 6255–6266. [Google Scholar] [CrossRef] [PubMed]
- Suwannaphan, T.; Kamnerdsook, A.; Chalermwisutkul, S.; Techaumnat, B.; Damrongplasit, N.; Traipattanakul, B.; Pimpin, A. Effects of shear and extensional stresses on cells: Investigation in a spiral microchannel and contraction–expansion arrays. ACS Biomater. Sci. Eng. 2025, 11, 3249–3261. [Google Scholar] [CrossRef]
- Recktenwald, S.M.; Graessel, K.; Rashidi, Y.; Steuer, J.N.; John, T.; Gekle, S.; Wagner, C. Cell-free layer of red blood cells in a constricted microfluidic channel under steady and time-dependent flow conditions. Phys. Rev. Fluids 2023, 8, 074202. [Google Scholar] [CrossRef]
- Kang, Y.J. Biomechanical assessment of red blood cells in pulsatile blood flows. Micromachines 2023, 14, 317. [Google Scholar] [CrossRef]
- Manekar, K.; Bhaiyya, M.L.; Hasamnis, M.A.; Kulkarni, M.B. Intelligent microfluidics for plasma separation: Integrating computational fluid dynamics and machine learning for optimized microchannel design. Biosensors 2025, 15, 94. [Google Scholar] [CrossRef]
- Diez-Silva, M.; Dao, M.; Han, J.; Lim, C.T.; Suresh, S. Shape and biomechanical characteristics of human red blood cells in health and disease. MRS Bull. 2010, 35, 382–388. [Google Scholar] [CrossRef] [PubMed]
- Guyton, A.C. Text Book of Medical Physiology; Elsevier: Beijing, China, 2006. [Google Scholar]
- Aarts, P.A.; Bolhuis, P.A.; Sakariassen, K.S.; Heethaar, R.M.; Sixma, J.J. Red blood cell size is important for adherence of blood platelets to artery subendothelium. Blood 1983, 62, 214–217. [Google Scholar]
- ANSYS®. Fluent, Release 23.2; ANSYS Inc.: Canonsburg, PA, USA.
- Jung, J.; Hassanein, A.; Lyczkowski, R.W. Hemodynamic computation using multiphase flow dynamics in a right coronary artery. Ann. Biomed. Eng. 2006, 34, 393–407. [Google Scholar] [CrossRef]
- Jung, J.; Hassanein, A. Three-phase CFD analytical modeling of blood flow. Med. Eng. Phys. 2008, 30, 91–103. [Google Scholar] [PubMed]
- Gijsen, F.; van de Vosse, F.; Janssen, J.D. The influence of the non-Newtonian properties of blood on the flow in large arteries: Steady flow in a carotid bifurcation model. J. Biomech. 1999, 32, 601–608. [Google Scholar] [CrossRef]
- Ergun, S. Fluid flow through packed columns. Chem. Eng. Prog. 1952, 48, 89. [Google Scholar]
- Wen, C.Y. Mechanics of fluidization. In Fluid Particle Technology; Chemical Engineering Progress, Symposium Series; American Institute of Chemical Engineers: New York, NY, USA, 1966; Volume 62, pp. 100–111. [Google Scholar]
- Saffman, P.G. The lift on a small sphere in a slow shear flow. J. Fluid Mech. 1965, 22, 385–400. [Google Scholar] [CrossRef]
- Mei, R.; Klausner, J. Shear lift force on spherical bubbles. Int. J. Heat Fluid Flow 1994, 15, 62–65. [Google Scholar] [CrossRef]
- Ahmad, T.; Hassan, I. Experimental Analysis of Microchannel Entrance Length Characteristics Using Microparticle Image Velocimetry. ASME J. Fluids Eng. 2010, 132, 041102. [Google Scholar] [CrossRef]
- Piety, N.Z.; Reinhart, W.H.; Stutz, J.; Shevkoplyas, S.S. Optimal hematocrit in an artificial microvascular network. Transfusion 2017, 57, 2257–2266. [Google Scholar] [CrossRef] [PubMed]
- Alizadehrad, D.; Imai, Y.; Nakaaki, K.; Ishikawa, T.; Yamaguchi, T. Quantification of red blood cell deformation at high-hematocrit blood flow in microvessels. J. Biomech. 2012, 45, 2684–2689. [Google Scholar] [CrossRef] [PubMed]















| No | Researcher | Year | Methods | Key Findings |
|---|---|---|---|---|
| 1 | Gidaspow and Huang [3] | 2009 | Kinetic theory of granular flow in 2d narrow tube | Effectively explains the Fahraeus–Lindqvist effect/accurately predicts RBC distribution in narrow channels. |
| 2 | Kim et al. [8] | 2016 | Theory of interacting continua (mixture theory) with non-Newtonian viscosity model | Accurately estimates RBC depletion, particularly in the corners of the sudden expansion. |
| 3 | Gracka et al. [9] | 2022 | Euler–Euler approach with non-Newtonian viscosity model and Euler–Lagrange approach with Discrete Phase Model (DPM) | Simulates CFL formation and RBC dynamics in microchannels |
| 4 | Soh et al. [10] | 2017 | Volume of Fluid (VOF) Model | Simulates complex microscale flow and mass transfer phenomena cost-efficiently. |
| 5 | Jafari et al. [11] | 2009 | Fluid Structure Interaction (FSI) and Volume of Fluid (VOF) model | Provides valuable insights into the dynamic characteristics of blood flow in microvessels |
| 6 | Afzal and Kim [12] | 2014 | non-Newtonian viscosity model in straight and serpentine microchannels | Better mixing efficiency can be obtained using serpentine microchannel. |
| 7 | Barbosa et al. [13] | 2023 | Euler–Lagrange approach with Discrete Phase Model (DPM) | Accurately predicts RBC dynamics in hyperbolic contractions |
| 8 | Yin et al. [14] | 2013 | immersed-boundary lattice Boltzmann | The hematocrit phase separation has been reproduced in the simulations |
| 9 | Yaginuma et al. [15] | 2013 | Experimental in hyperbolic contraction microchannel | Microfluidic systems with hyperbolic-shaped microchannels offer a promising in vitro method for assessing RBC deformability and separating plasma. |
| 10 | Pinho et al. [16] | 2016 | Experimental in microtube | Temperature affects RBC distribution in microchannels. |
| 11 | Patrick et al. [17] | 2011 | Experimental in rectangular microchannel | Intermittent two-phase flow in high-hematocrit blood reveals unsteady RBC dynamics and validates computational models. |
| 12 | Zhao et al. [18] | 2008 | Experimental in sudden expansion microchannel | RBC volume fraction influences formation of CFL in sudden expansion microflows, with higher RBC volume fraction enhancing particle concentration in flow separation regions. |
| 13 | Lee et al. [19] | 2009 | Experimental in hyperbolic contraction microchannel | The new microchannel device was found to be more efficient in inducing cell deformation compared to the shear flow. |
| Boundary Type | Applied Condition |
|---|---|
| Inlet | Fixed velocity and volume fraction |
| Outlet | Fixed static pressure (0 Pa) |
| Wall | No-slip wall |
| Symmetry | Zero normal velocity and zero normal gradients for all variables |
| Mesh Configuration | Number of Elements | Pressure Drop [Pa] | Variation in Pressure Drop [%] | Mean Deviation in RBC Volume Fraction [%] |
|---|---|---|---|---|
| Coarse | 0.8 × 106 | 1374.9 | - | - |
| Medium | 1.6 × 106 | 1383.8 | 0.65 | 1.03 |
| Fine | 3.2 × 106 | 1383.5 | 0.02 | 0.76 |
| Microchannel dimensions | |
| h1 | 100 μm |
| W1 | 100 μm |
| L1 | 1000 μm |
| h2 | 200 μm |
| W2 | 100 μm |
| L2 | 2000 μm |
| Fluid properties | |
| ρp | 1027 kg/m3 |
| ρR | 1093 kg/m3 |
| μp | 0.00096 kg/m s |
| μR | Calculated by a Carreau–Yasuda-type viscosity model |
| λ | 0.110 s |
| Simulation conditions | |
| Solution type | Steady-state |
| Flow regime | Laminar |
| Inlet Velocity [m/s] | Volumetric Flow Rate [μL/min] | Re | RBC Volume Fraction at the Inlet (αR) | RBC Diameter (dR) [μm] |
|---|---|---|---|---|
| 0.0010 0.0835 0.1670 | 0.6 50 100 | 0.11 8.90 17.80 | 0.2 0.3 0.4 0.5 | 4 8 11 |
Disclaimer/Publisher’s Note: The statements, opinions and data contained in all publications are solely those of the individual author(s) and contributor(s) and not of MDPI and/or the editor(s). MDPI and/or the editor(s) disclaim responsibility for any injury to people or property resulting from any ideas, methods, instructions or products referred to in the content. |
© 2026 by the authors. Licensee MDPI, Basel, Switzerland. This article is an open access article distributed under the terms and conditions of the Creative Commons Attribution (CC BY) license.
Share and Cite
Sezer, C.; Kaya, K.; Tabatabaei Malazi, M.; Dalkılıç, A.S. A Numerical Investigation on the Effect of Size and Volume Fraction of Red Blood Cells in a Microchannel with Sudden Expansion. Micromachines 2026, 17, 316. https://doi.org/10.3390/mi17030316
Sezer C, Kaya K, Tabatabaei Malazi M, Dalkılıç AS. A Numerical Investigation on the Effect of Size and Volume Fraction of Red Blood Cells in a Microchannel with Sudden Expansion. Micromachines. 2026; 17(3):316. https://doi.org/10.3390/mi17030316
Chicago/Turabian StyleSezer, Cihan, Kenan Kaya, Mahdi Tabatabaei Malazi, and Ahmet Selim Dalkılıç. 2026. "A Numerical Investigation on the Effect of Size and Volume Fraction of Red Blood Cells in a Microchannel with Sudden Expansion" Micromachines 17, no. 3: 316. https://doi.org/10.3390/mi17030316
APA StyleSezer, C., Kaya, K., Tabatabaei Malazi, M., & Dalkılıç, A. S. (2026). A Numerical Investigation on the Effect of Size and Volume Fraction of Red Blood Cells in a Microchannel with Sudden Expansion. Micromachines, 17(3), 316. https://doi.org/10.3390/mi17030316

