Design, Modeling, and Fabrication of a High-Q AlN Annular Gyroscope with Sub-10°/h Bias Instability
Abstract
1. Introduction
2. Operating Principle
2.1. Device Architecture and Mode of Operation
2.2. Piezoelectric Transduction Mechanism
- (1)
- Drive electrodes for the Drive-mode (DDrv+ and DDrv−).
- (2)
- Sense electrodes for the Drive-mode response detection (DSns+ and DSns−).
- (3)
- Drive electrodes for the sense-mode (SDrv+ and SDrv−)
- (4)
- Sense electrodes of the sense-mode (SSns+ and SSns−) for the Coriolis-induced response detection.
3. Multiphysics Optimization and Simulation
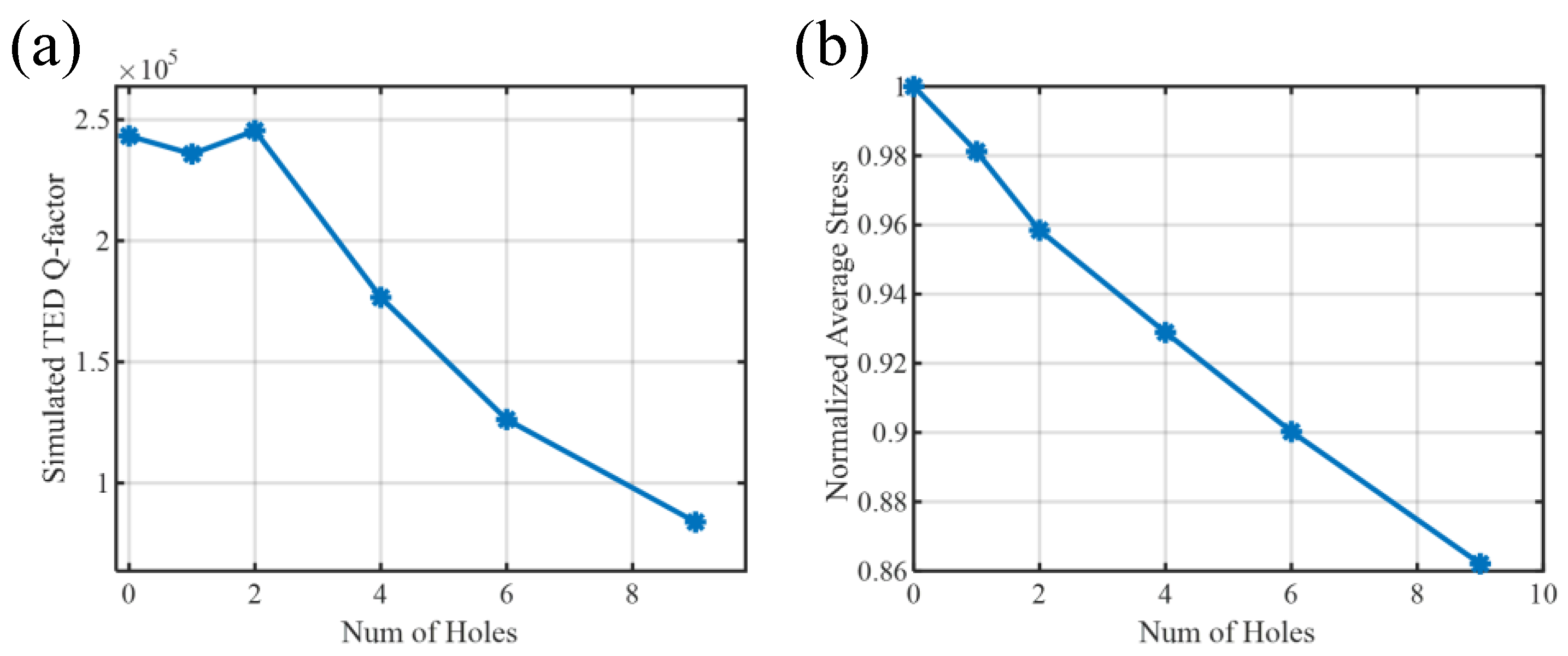
3.1. Enhancement Mechanism of Hole-Free Structure
3.2. Parametric Sweep of Annular Width
3.2.1. Eigenfrequency Study with Thermoelastic Damping
3.2.2. Electromechanical Transduction Under Fixed Q
3.3. Optimal Parameter Determination
4. Fabrication Process
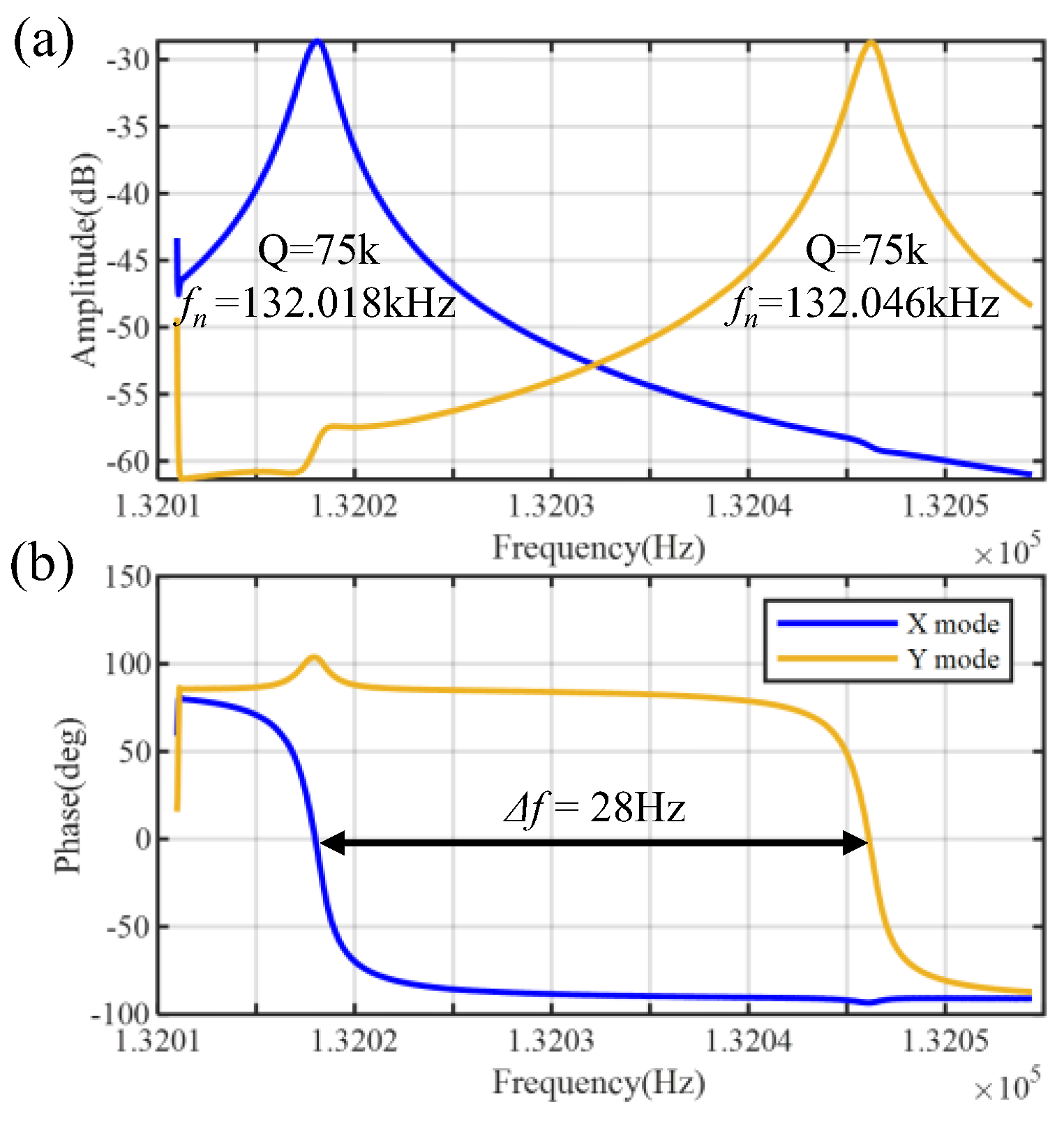
5. Experimental Results
6. Conclusions
Author Contributions
Funding
Data Availability Statement
Acknowledgments
Conflicts of Interest
Appendix A. Multiphysics Setup and Boundary Conditions


| Electrodes | Terminal Number | Voltage |
|---|---|---|
| DDrv+ | 1 | +10 mV |
| DDrv− | 2 | −10 mV |
| DSns+ | 3 | 0 V |
| DSns− | 4 | 0 V |
| SSns+/SDrv− | 5 | 0 V |
| SSns−/SDrv+ | 6 | 0 V |
References
- Khan, Y.A.; Imaduddin, S.; Singh, Y.P.; Wajid, M.; Usman, M.; Abbas, M. Artificial Intelligence Based Approach for Classification of Human Activities Using MEMS Sensors Data. Sensors 2023, 23, 1275. [Google Scholar] [CrossRef] [PubMed]
- Yi, H.; Fan, B.; Bu, F.; Chen, F.; Luo, X.-Q. Research on Energy Dissipation Mechanism of Cobweb-like Disk Resonator Gyroscope. Micromachines 2024, 15, 1380. [Google Scholar] [CrossRef] [PubMed]
- Emerard, J.-D.; Auger, J.; Mace, J.-S.; Kergueris, C.; Fretouly, F.; Lenoir, Y.; Delhaye, F. Si-MEMS gyro by Safran: Towards the navigation grade. In Proceedings of the 2022 IEEE International Symposium on Inertial Sensors and Systems (INERTIAL), Avignon, France, 8–11 May 2022; IEEE: New York, NY, USA, 2022; pp. 1–4. [Google Scholar]
- Li, Q.; Xiao, D.; Zhou, X.; Xu, Y.; Zhuo, M.; Hou, Z.; He, K.; Zhang, Y.; Wu, X. 0.04 degree-per-hour MEMS disk resonator gyroscope with high-quality factor (510 k) and long decaying time constant (74.9 s). Microsyst. Nanoeng. 2018, 4, 32. [Google Scholar] [CrossRef] [PubMed]
- Liu, Z.; Long, Y.; Wehner, C.M.; Wen, H.; Ayazi, F. TA 0.34Deg/Hour Bulk Acoustic Wave Gyroscope in 4H Silicon-Carbide with an Elevated-Temperature Enhanced Q-Factor of 4.6 Million. In Proceedings of the 2024 IEEE 37th International Conference on Micro Electro Mechanical Systems (MEMS), Austin, TX, USA, 21–25 January 2024; IEEE: New York, NY, USA, 2024; pp. 7–10. [Google Scholar]
- Bu, F.; Fan, B.; Feng, R.; Zhou, M.; Wang, Y. Automatic Mode-Matching Method for MEMS Gyroscope Based on Fast Mode Reversal. Micromachines 2025, 16, 704. [Google Scholar] [CrossRef] [PubMed]
- Jiang, B.; Su, Y.; Liu, G.; Zhang, L.; Liu, F. A High Q-Factor Outer-Frame-Anchor Gyroscope Operating at First Resonant Mode. Micromachines 2020, 11, 1071. [Google Scholar] [CrossRef] [PubMed]
- Wang, T.; Wang, C.; Yang, J.; Chen, J.; Chen, F.; Wu, T.; Wang, N. High Q-Factor and Mode-Matching Disk Ring Gyroscope Using (100) Single Crystal Silicon. In Proceedings of the 2024 IEEE International Symposium on Inertial Sensors and Systems (INERTIAL), Hiroshima, Japan, 25–28 March 2024; IEEE: New York, NY, USA, 2024; pp. 1–4. [Google Scholar]
- Li, C.; Wen, H.; Chen, H.; Ayazi, F. A digital force-to-rebalance scheme for high-frequency bulk-acoustic-wave micro-gyroscopes. Sens. Actuators A Phys. 2020, 313, 112181. [Google Scholar] [CrossRef]
- Li, C.; Wen, H.; Wisher, S.; Norouzpour-Shirazi, A.; Lei, J.-Y.; Chen, H.; Ayazi, F. An FPGA-Based Interface System for High-Frequency Bulk-Acoustic-Wave Microgyroscopes With In-Run Automatic Mode-Matching. IEEE Trans. Instrum. Meas. 2020, 69, 1783–1793. [Google Scholar] [CrossRef]
- Liu, Z.; Ayazi, F. A Review of Eigenmode and Frequency Control in Piezoelectric MEMS Resonators. IEEE Trans. Ultrason. Ferroelectr. Freq. Control. 2023, 70, 1172–1188. [Google Scholar] [CrossRef] [PubMed]
- SiliconSensing. PINPOINT CRM100 Datasheet. Available online: https://siliconsensing.com/product/crm-pinpoint (accessed on 10 January 2025).
- Pillai, G.; Li, S.-S. Piezoelectric MEMS Resonators: A Review. IEEE Sens. J. 2021, 21, 12589–12605. [Google Scholar] [CrossRef]
- Yang, S.; Wu, Z.; Jia, W.; Wu, G. Ultra-Low Relative Frequency Split Piezoelectric Ring Resonator Designed for High-Performance Mode-Matching Gyroscope. J. Microelectromechanical Syst. 2022, 31, 6–8. [Google Scholar] [CrossRef]
- Ontronen, A.; Kaajakari, V.; Ishii, M.; Sakamoto, C.; Umezawa, S.; Aida, Y. A PiezoMEMS Lissajous Frequency-Modulated Gyroscope: Stability, Vibration Robustness, and Challenges. IEEE Sens. J. 2024, 24, 34170–34178. [Google Scholar] [CrossRef]
- Liu, Z.; Daruwalla, A.; Hamelin, B.; Ayazi, F. A Study of Mode-Matching and Alignment in Piezoelectric Disk Resonator Gyros Via Femtosecond Laser Ablation. In Proceedings of the 2021 IEEE 34th International Conference on Micro Electro Mechanical Systems (MEMS), Virtual, 25–29 January 2021; IEEE: New York, NY, USA, 2021; pp. 342–345. [Google Scholar]
- Liu, Z.; Wen, H.; Ayazi, F. Multi-coefficient eigenmode operation-breaking through 10 degrees/h open-loop bias instability in wideband aluminum nitride piezoelectric BAW gyroscopes. Microsyst. Nanoeng. 2023, 9, 18. [Google Scholar] [CrossRef] [PubMed]
- Liu, Z.; Wen, H.; Ayazi, F. A Low-Voltage Wideband AlN-on-Si Gyroscope With Sub 10-DPH Bias Instability Mode Matched Using Laser Trimming. In Proceedings of the 2023 IEEE International Symposium on Inertial Sensors and Systems (INERTIAL), Lihue, HI, USA, 28–31 March 2023; IEEE: New York, NY, USA, 2023; pp. 1–4. [Google Scholar]
- Rao, S.S. Vibration of Continuous Systems, 2nd ed.; Wiley: Hoboken, NJ, USA, 2019; pp. 399–413. [Google Scholar]
- Qi, Z.; Wu, J.; Li, C.; Zhao, W.; Cheng, Y. Micromachined Rate-Integrating Gyroscopes: Concept, Asymmetry Error Sources and Phenomena. Symmetry 2020, 12, 801. [Google Scholar] [CrossRef]
- Qi, Z.; Wang, B.; Zhai, Z.; Wang, Z.; Xiong, X.; Yang, W.; Bie, X.; Wang, Y.; Zou, X. Bridging piezoelectric and electrostatic effects: A novel piezo-MEMS pitch/roll gyroscope with sub 10°/h bias instability. Microsyst. Nanoeng. 2024, 10, 160. [Google Scholar] [CrossRef] [PubMed]
- Qi, Z.; Zhai, Z.; Wang, B.; Yang, W.; Xiong, X.; Wang, Z.; Lv, H.; Bie, X.; Zou, X. Bridging Piezoelectric And Electrostatic Effects: A Novel Pitch/Roll Gyroscope. In Proceedings of the 2024 IEEE International Symposium on Inertial Sensors and Systems (INERTIAL), Hiroshima, Japan, 25–28 March 2024; IEEE: New York, NY, USA, 2024; pp. 1–4. [Google Scholar]
- Liu, Z.; Chen, J.; Yang, W.; Zheng, T.; Jiao, Q.; Zou, X. Dynamic behaviours of double-ended tuning fork based comb-driven microelectromechanical resonators for modulating magnetic flux synchronously. J. Micromechanics Microengineering 2022, 32, 014003. [Google Scholar] [CrossRef]
- Jiao, Q.; Luo, J.; Jin, Z.; Zou, X.; Chen, J. Two-dimensional synchronous motion modulation MEMS structure for suppressing 1/f noise in magnetoresistive sensors. AIP Adv. 2023, 13, 125223. [Google Scholar] [CrossRef]













| Parameter | Value |
|---|---|
| Annular width | 420 μm |
| Silicon device layer thickness | 50 μm |
| Silicon crystal orientation | <111> |
| Suspension beam width | 17 μm |
| AlN thickness | 2 μm |
| Simulated resonant Frequency | 135 kHz |
| Simulated | 96 k |
| Ref | Year | Piezo Material | Mode | Frequency | Q-factor | BI (°/h) | ARW(°/√h) |
|---|---|---|---|---|---|---|---|
| [3] | 2022 | AlN | n = 3 In-plane | 457 kHz | 16.5 k | -- | -- |
| [5] | 2023 | AlN | Baw | 3 MHz | 10.6 k | 8.6 | 0.145 |
| [4] | 2024 | AlN | Tuning fork | 67 kHz | ~7 k | 5 | 6.66 |
| [2] | -- | PZT | n = 2 Wineglass | 22 kHz | -- | ~8 | 0.2 |
| This work | 2026 | AlN | n = 2 Wineglass | 132 kHz | 75 k | 8.2 | 0.34 |
Disclaimer/Publisher’s Note: The statements, opinions and data contained in all publications are solely those of the individual author(s) and contributor(s) and not of MDPI and/or the editor(s). MDPI and/or the editor(s) disclaim responsibility for any injury to people or property resulting from any ideas, methods, instructions or products referred to in the content. |
© 2026 by the authors. Licensee MDPI, Basel, Switzerland. This article is an open access article distributed under the terms and conditions of the Creative Commons Attribution (CC BY) license.
Share and Cite
Qi, Z.; Gu, J.; Zhu, B.; Zhai, Z.; Bie, X.; Yang, W.; Zou, X. Design, Modeling, and Fabrication of a High-Q AlN Annular Gyroscope with Sub-10°/h Bias Instability. Micromachines 2026, 17, 268. https://doi.org/10.3390/mi17020268
Qi Z, Gu J, Zhu B, Zhai Z, Bie X, Yang W, Zou X. Design, Modeling, and Fabrication of a High-Q AlN Annular Gyroscope with Sub-10°/h Bias Instability. Micromachines. 2026; 17(2):268. https://doi.org/10.3390/mi17020268
Chicago/Turabian StyleQi, Zhenxiang, Jie Gu, Bingchen Zhu, Zhaoyang Zhai, Xiaorui Bie, Wuhao Yang, and Xudong Zou. 2026. "Design, Modeling, and Fabrication of a High-Q AlN Annular Gyroscope with Sub-10°/h Bias Instability" Micromachines 17, no. 2: 268. https://doi.org/10.3390/mi17020268
APA StyleQi, Z., Gu, J., Zhu, B., Zhai, Z., Bie, X., Yang, W., & Zou, X. (2026). Design, Modeling, and Fabrication of a High-Q AlN Annular Gyroscope with Sub-10°/h Bias Instability. Micromachines, 17(2), 268. https://doi.org/10.3390/mi17020268

