Research Progress of Acoustic Monitoring Technology in Welding and Additive Manufacturing Processes
Abstract
1. Introduction
2. Principle of Acoustic Signal Generation in Welding and Additive Manufacturing Processes
2.1. Acoustic Signal Generation in Welding
2.2. Acoustic Signal Generation in Additive Manufacturing
3. Application of Acoustic Methods in Monitoring of Welding Process
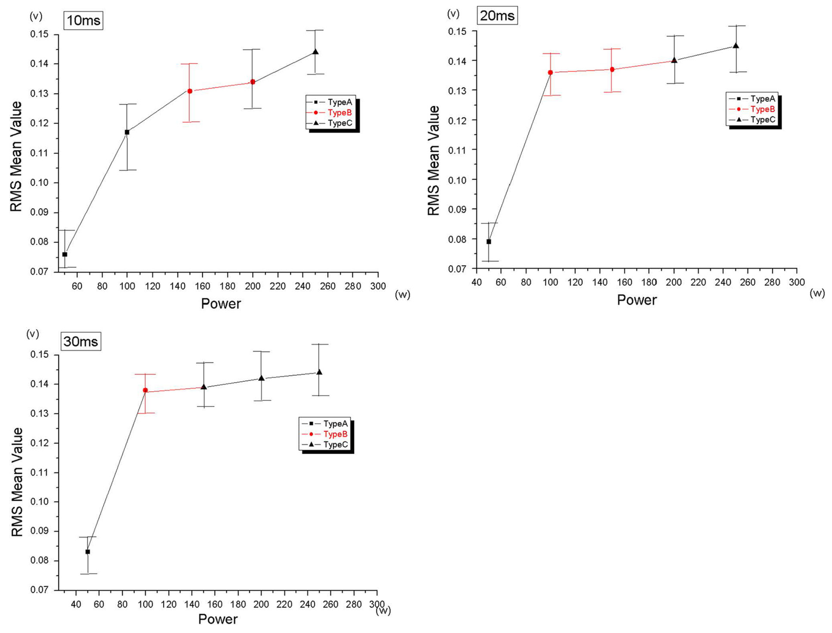
3.1. Structural Acoustic Emission Monitoring
3.2. Airborne Sound Monitoring
3.3. Summary and Progress in Welding Process Monitoring
4. Application of Acoustic Methods in Monitoring Additive Manufacturing Processes
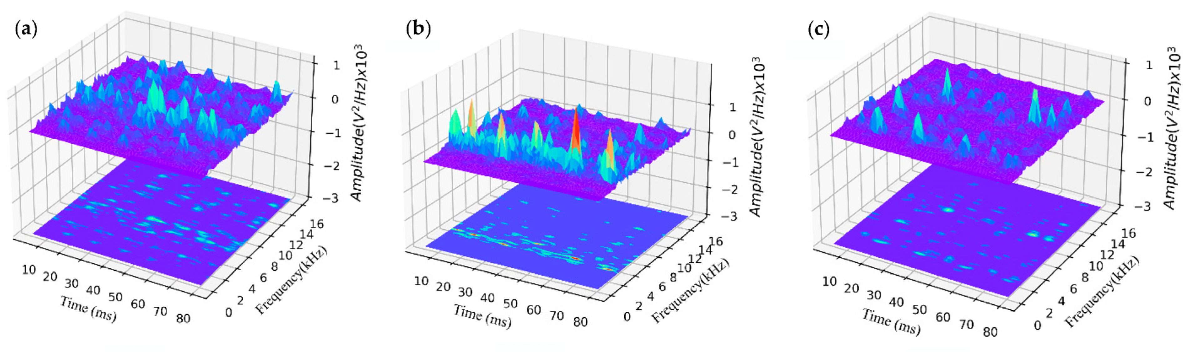
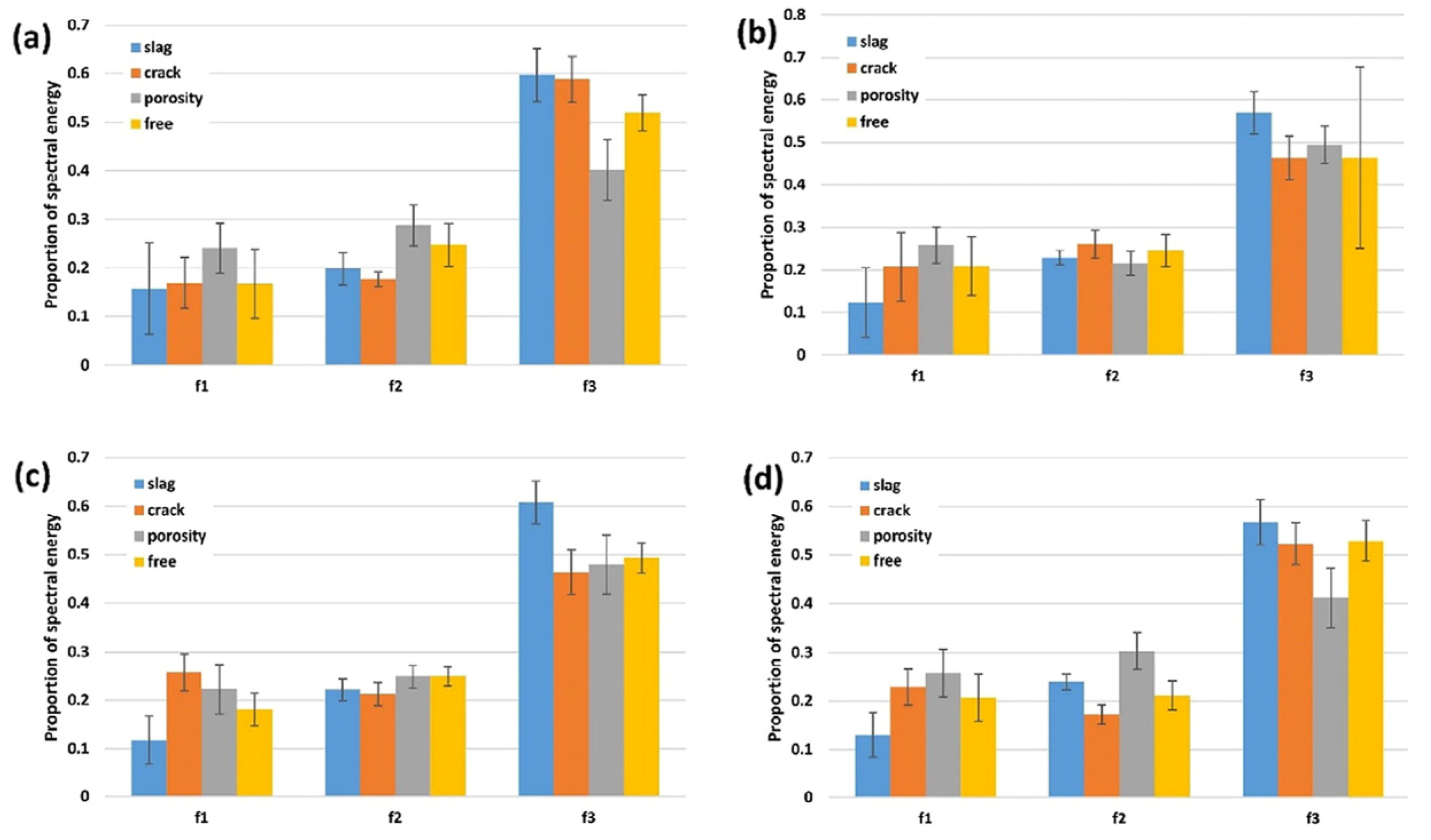
4.1. Structural Acoustic-Emission Monitoring
4.2. Airborne Acoustic Monitoring
4.3. Summary and Progress in Additive Manufacturing Process Monitoring
5. Conclusions and Prospects
- (1)
- Acoustic monitoring has been conclusively demonstrated to be an effective proxy for a wide range of welding phenomena and defect states. Key correlations have been firmly established. In defect detection, AE parameters (energy, RMS, counts) and airborne acoustic features (kurtosis, spectral peaks) reliably indicate defects including porosity, cracks, lack of fusion, and spatter. For process characterization, airborne sound signals exhibit high sensitivity to metal transfer modes, arc stability, and penetration depth. Effective utilization requires advanced signal-processing techniques (FFT, Wavelet Transform, HHT, PCA-ICA) for feature extraction. Furthermore, integrating machine learning algorithms (ANN, Random Forest, SVM) has enabled automated weld quality classification with high accuracy, marking a significant step toward intelligent process monitoring.
- (2)
- The application of acoustic monitoring in AM is rapidly evolving, demonstrating significant potential for in situ process interrogation and quality assurance. AE monitoring effectively detects critical flaws such as a lack of fusion, porosity, delamination, and balling defects, with signal energy and frequency content serving as critical discriminators. AE activity also correlates with process parameters (e.g., laser power) and microstructural characteristics (e.g., anisotropy). A prominent trend is the move towards multi-sensor data fusion, synergistically combining airborne acoustics with complementary optical or thermal data and analyzing them via deep learning architectures like CNNs. This integrated approach has achieved superior defect detection rates, exceeding 96%, highlighting a pathway toward robust in-process monitoring for AM.
- (1)
- Mitigating ambient-noise interference in welding acoustic monitoring. Future research should develop advanced time–frequency analysis or other techniques for noise suppression. Current systems are often inadequate; integrated systems combining high-speed cameras, infrared imaging, and acoustic sensors could enable comprehensive quality evaluation through multi-sensor data fusion.
- (2)
- Exploring acoustic monitoring in solid-state welding processes such as Friction Stir Welding (FSW) and Ultrasonic Welding (USW). These processes involve dynamic interfacial interactions (friction, deformation, bonding) that generate rich acoustic signals. In FSW, AE sensing could enable real-time detection of tool wear, volumetric defects, and microstructural changes. The primary challenge is distinguishing defect-related AE from high background noise. For USW, where acoustic energy is intrinsic, passive acoustic monitoring offers potential for quality assessment by analyzing harmonic responses and damping characteristics to evaluate bond quality and detect interfacial flaws.
- (3)
- Integrating Artificial Intelligence (AI) into acoustic monitoring to redefine process intelligence. Key research directions include: leveraging deep learning models (CNNs, RNNs) to autonomously extract features from raw signals; developing multimodal fusion architectures combining acoustic, visual, and thermal data; employing unsupervised/semi-supervised learning to detect novel anomalies; enhancing interpretability via Explainable AI (XAI); and implementing lightweight edge AI systems for real-time adaptive control, advancing toward autonomous, self-optimizing manufacturing.
Author Contributions
Funding
Institutional Review Board Statement
Informed Consent Statement
Data Availability Statement
Conflicts of Interest
References
- Li, Z.; Wu, S.; Li, H. Advances in Experimentation and Numerical Modeling of Aluminum and Copper Ultrasonic Welding. Micromachines 2025, 16, 263. [Google Scholar] [CrossRef] [PubMed]
- Hu, Y.; Li, H. Research Status of Molecular Dynamics Simulation of Metallic Ultrasonic Welding. Micromachines 2025, 16, 1185. [Google Scholar] [CrossRef] [PubMed]
- Zhang, X.; Zhou, J.; Hu, Y.; Liu, Y.; Shen, X. Electromagnetic Acoustic Detection of Pipe Defects Hidden above T-Type Support Structures with Circumferential Shear Horizontal Guided Wave. Micromachines 2024, 15, 550. [Google Scholar] [CrossRef] [PubMed]
- Ramulu, P.J.; Narayanan, R.G.; Kailas, S.V.; Reddy, J. Internal Defect and Process Parameter Analysis during Friction Stir Welding of Al 6061 Sheets. Int. J. Adv. Manuf. Technol. 2013, 65, 1515–1528. [Google Scholar] [CrossRef]
- Rhodes, C.G.; Mahoney, M.W.; Bingel, W.H.; Spurling, R.A. Effects of friction stir welding on microstructure of 7075 aluminum. Scr. Mater. 1997, 36, 69–75. [Google Scholar] [CrossRef]
- Purtonen, T.; Kalliosaari, A.; Salminen, A. Monitoring and Adaptive Control of Laser Processes. Phys. Procedia 2014, 56, 1218–1231. [Google Scholar] [CrossRef]
- Shao, J.; Yan, Y. Review of Techniques for On-Line Monitoring and Inspection of Laser Welding. J. Phys. Conf. Ser. 2005, 15, 101–107. [Google Scholar] [CrossRef]
- Brandt, M.; Sun, S.; Leary, M.; Feih, S.; Elambasseril, J.; Liu, Q. High-Value SLM Aerospace Components: From Design to Manufacture. Adv. Mater. Res. 2013, 633, 135–147. [Google Scholar]
- Zhao, T.; Yan, Z.; Zhang, B.; Zhang, P.; Pan, R.; Yuan, T.; Xiao, J.; Jiang, F.; Wei, H.; Lin, S.; et al. A Comprehensive Review of Process Planning and Trajectory Optimization in Arc-Based Directed Energy Deposition. J. Manuf. Process. 2024, 119, 235–254. [Google Scholar] [CrossRef]
- Williams, S.W.; Martina, F.; Addison, A.C.; Ding, J.; Pardal, G.; Colegrove, P. Wire + Arc Additive Manufacturing. Mater. Sci. Technol. 2016, 32, 641–647. [Google Scholar] [CrossRef]
- Tamir, T.S.; Xiong, G.; Fang, Q.; Dong, X.; Shen, Z.; Wang, F.-Y. A Feedback-Based Print Quality Improving Strategy for FDM 3D Printing: An Optimal Design Approach. Int. J. Adv. Manuf. Technol. 2022, 120, 2777–2791. [Google Scholar] [CrossRef]
- Wang, X.; Wang, A.; Wang, K.; Li, Y. Process Stability for GTAW-Based Additive Manufacturing. Rapid Prototyp. J. 2019, 25, 809–819. [Google Scholar] [CrossRef]
- Zhang, Y.; Zhang, C.; Tan, L.; Li, S. Coaxial Monitoring of the Fibre Laser Lap Welding of Zn-Coated Steel Sheets Using an Auxiliary Illuminant. Opt. Laser Technol. 2013, 50, 167–175. [Google Scholar] [CrossRef]
- Chen, Z.; Gao, X. Detection of Weld Pool Width Using Infrared Imaging during High-Power Fiber Laser Welding of Type 304 Austenitic Stainless Steel. Int. J. Adv. Manuf. Technol. 2014, 74, 1247–1254. [Google Scholar] [CrossRef]
- Will, T.; Jeron, T.; Hoelbling, C.; Müller, L.; Schmidt, M. In-Process Analysis of Melt Pool Fluctuations with Scanning Optical Coherence Tomography for Laser Welding of Copper for Quality Monitoring. Micromachines 2022, 13, 1937. [Google Scholar] [CrossRef]
- Wang, X.; Wang, A.; Li, Y. An Online Surface Height Measurement Method for GTAW-Based Additive Manufacturing. Weld. World 2019, 64, 11–20. [Google Scholar] [CrossRef]
- Ao, S.; Luo, Z.; Feng, M.; Yan, F. Simulation and Experimental Analysis of Acoustic Signal Characteristics in Laser Welding. Int. J. Adv. Manuf. Technol. 2015, 81, 277–287. [Google Scholar] [CrossRef]
- Koal, J.; Baumgarten, M.; Nikolov, C.; Ramakrishnan, S.; Mathiszik, C.; Schmale, H.C. Acoustic Process Monitoring During Projection Welding Using Airborne Sound Analysis and Machine Learning. Weld. World 2025, 69, 459–470. [Google Scholar] [CrossRef]
- Prezelj, J.; Polajnar, I. Use of Audible Sound for On-Line Monitoring of Gas Metal Arc Welding Process. Metalurgija 2008, 47, 81–85. [Google Scholar]
- Horvat, J.; Prezelj, J.; Polajnar, I.; Cudina, M. Monitoring Gas Metal Arc Welding Process by Using Audible Sound Signal. J. Mech. Eng. 2011, 57, 267–278. [Google Scholar] [CrossRef]
- Lv, N.; Xu, Y.; Li, S.; Yu, X.; Chen, S. Automated Control of Welding Penetration Based on Audio Sensing Technology. J. Mater. Process. Technol. 2017, 250, 81–98. [Google Scholar] [CrossRef]
- Huang, W.; Kovacevic, R. Feasibility Study of Using Acoustic Signals for Online Monitoring of the Depth of Weld in the Laser Welding of High-Strength Steels. Proc. Inst. Mech. Eng. Part B J. Eng. Manuf. 2009, 223, 343–361. [Google Scholar] [CrossRef]
- Grad, L.; Grum, J.; Polajnar, I.; Marko Slabe, J. Feasibility Study of Acoustic Signals for On-Line Monitoring in Short Circuit Gas Metal Arc Welding. Int. J. Mach. Tools Manuf. 2004, 44, 555–561. [Google Scholar] [CrossRef]
- Luo, Y.; Du, Y.; Zhu, L.; Han, J.; Wan, R.; Xie, X. Study on the Thermo-Effect of P-GMAW Characterized by Structure-Borne Acoustic Emission Signals Detected in Welding on Aluminum Alloy. Measurement 2016, 92, 200–207. [Google Scholar] [CrossRef]
- Lee, S.; Ahn, S.; Park, C. Analysis of Acoustic Emission Signals During Laser Spot Welding of SS304 Stainless Steel. J. Mater. Eng. Perform. 2014, 23, 700–707. [Google Scholar] [CrossRef]
- Hauser, T.; Reisch, R.T.; Kamps, T.; Kaplan, A.F.H.; Volpp, J. Acoustic Emissions in Directed Energy Deposition Processes. Int. J. Adv. Manuf. Technol. 2022, 119, 3517–3532. [Google Scholar] [CrossRef]
- Kim, H.; Park, S. Acoustic Signal Monitoring Using Audible Cracking Sounds for Efficient In-Situ Crack Detection in Laser Directed Energy Deposition of Hard Surfaces. Addit. Manuf. Lett. 2024, 9, 100210. [Google Scholar] [CrossRef]
- Droubi, M.G.; Faisal, N.H.; Orr, F.; Steel, J.A.; El-Shaib, M. Acoustic Emission Method for Defect Detection and Identification in Carbon Steel Welded Joints. J. Constr. Steel Res. 2017, 134, 28–37. [Google Scholar] [CrossRef]
- Lee, C.-J.; Kim, J.-D.; Kim, Y.-C. Study on Monitoring of Plasma Emission Signal in Lap Welding of Zn Coated Steel Sheet Using CO2 Laser. Int. J. Precis. Eng. Manuf. 2015, 16, 495–500. [Google Scholar] [CrossRef]
- Yusof, M.F.M.; Kamaruzaman, M.A.; Ishak, M.; Ghazali, M.F. Porosity Detection by Analyzing Arc Sound Signal Acquired during the Welding Process of Gas Pipeline Steel. Int. J. Adv. Manuf. Technol. 2017, 89, 3661–3670. [Google Scholar] [CrossRef]
- Pal, K.; Bhattacharya, S.; Pal, S. Investigation on Arc Sound and Metal Transfer Modes for On-Line Monitoring in Pulsed Gas Metal Arc Welding. J. Mater. Process. Technol. 2010, 210, 1397–1410. [Google Scholar] [CrossRef]
- Sansan, A.; Zhen, L.; Nan, Z.; Rui, W. Blind Source Separation Based on Principal Component Analysis-Independent Component Analysis for Acoustic Signal During Laser Welding Process. In Proceedings of the 2010 International Conference on Digital Manufacturing & Automation, Changsha, China, 18–20 December 2010. [Google Scholar]
- Sumesh, A.; Rameshkumar, K.; Mohandas, K.; Babu, R.S. Use of Machine Learning Algorithms for Weld Quality Monitoring Using Acoustic Signature. Procedia Comput. Sci. 2015, 50, 316–322. [Google Scholar] [CrossRef]
- Yang, G.; Guan, K.; Zou, L.; Sun, Y.; Yang, X. Weld Defect Detection of a CMT Arc-Welded Aluminum Alloy Sheet Based on Arc Sound Signal Processing. Appl. Sci. 2023, 13, 5152. [Google Scholar] [CrossRef]
- Pal, K.; Pal, S. Monitoring of Weld Penetration Using Arc Acoustics. Mater. Manuf. Process. 2011, 26, 684–693. [Google Scholar] [CrossRef]
- Huang, W.; Kovacevic, R. A Neural Network and Multiple Regression Method for the Characterization of the Depth of Weld Penetration in Laser Welding Based on Acoustic Signatures. J. Intell. Manuf. 2011, 22, 131–143. [Google Scholar] [CrossRef]
- Yusof, M.F.M.; Ishak, M.; Ghazali, M.F. Feasibility of Using Acoustic Method in Monitoring the Penetration Status during the Pulse Mode Laser Welding Process. IOP Conf. Ser. Mater. Sci. Eng. 2017, 238, 012006. [Google Scholar] [CrossRef]
- Kannivel, S.; Vellayaraj, A.; Kolimi, I.; Thomas, J. Effect of Thickness on Indentation Response and Tensile Loading Behaviour of Glass/Epoxy Laminates under Acoustic Emission Monitoring. Nondestruct. Test. Eval. 2021, 36, 158–175. [Google Scholar] [CrossRef]
- Kouprianoff, D.; Luwes, N.; Yadroitsava, I.; Yadroitsev, I. Acoustic Emission Technique for Online Detection of Fusion Defects for Single Tracks during Metal Laser Powder Bed Fusion. In Proceedings of the 29th Annual International Solid Freeform Fabrication Symposium, Austin, TX, USA, 13–15 August 2018. [Google Scholar]
- Barile, C.; Casavola, C.; Cazzato, A. Acoustic Emissions in 3D Printed Parts under Mode I Delamination Test. Materials 2018, 11, 1760. [Google Scholar] [CrossRef]
- Gaja, H.; Liou, F. Defects Monitoring of Laser Metal Deposition Using Acoustic Emission Sensor. Int. J. Adv. Manuf. Technol. 2017, 90, 561–574. [Google Scholar] [CrossRef]
- Niknam, S.A.; Li, D.; Das, G. An Acoustic Emission Study of Anisotropy in Additively Manufactured Ti-6Al-4V. Int. J. Adv. Manuf. Technol. 2019, 100, 1731–1740. [Google Scholar] [CrossRef]
- Wu, C.; Lu, M.; Yang, W.; Chi, N. Experimental Study of Balling Defect Generation and Audible Sound Analysis in Directed Energy Deposition Metal Additive Manufacturing. Int. J. Adv. Manuf. Technol. 2024, 134, 205–221. [Google Scholar] [CrossRef]
- Ramalho, A.; Santos, T.; Bevans, B.; Smoqi, Z.; Rao, P.; Oliveira, J. Effect of Contaminations on the Acoustic Emissions during Wire and Arc Additive Manufacturing of 316L Stainless Steel. Addit. Manuf. 2022, 51, 102585. [Google Scholar] [CrossRef]
- Cheng, B.; Lei, J.; Xiao, H. A Photoacoustic Imaging Method for In-Situ Monitoring of Laser Assisted Ceramic Additive Manufacturing. Opt. Laser Technol. 2019, 115, 459–464. [Google Scholar] [CrossRef]
- Gutknecht, K.; Cloots, M.; Sommerhuber, R.; Wegener, K. Mutual Comparison of Acoustic, Pyrometric and Thermographic Laser Powder Bed Fusion Monitoring. Mater. Des. 2021, 210, 110036. [Google Scholar] [CrossRef]
- Zhang, H.; Wu, Q.; Tang, W.; Yang, J. Acoustic Signal-Based Defect Identification for Directed Energy Deposition-Arc Using Wavelet Time-Frequency Diagrams. Sensors 2024, 24, 4397. [Google Scholar] [CrossRef]
- Zhang, H.; Wu, Q.; Liu, J.; Tang, W.; Luo, L. Unraveling the Potential of Multi-Sensor Fusion of Acoustic Signals and Melt Pool Geometric Images towards Defect Identification in Additive Manufacturing. J. Manuf. Process. 2026, 157, 463–483. [Google Scholar] [CrossRef]






























Disclaimer/Publisher’s Note: The statements, opinions and data contained in all publications are solely those of the individual author(s) and contributor(s) and not of MDPI and/or the editor(s). MDPI and/or the editor(s) disclaim responsibility for any injury to people or property resulting from any ideas, methods, instructions or products referred to in the content. |
© 2026 by the authors. Licensee MDPI, Basel, Switzerland. This article is an open access article distributed under the terms and conditions of the Creative Commons Attribution (CC BY) license.
Share and Cite
Zhu, Q.; Huang, Z.; Li, H. Research Progress of Acoustic Monitoring Technology in Welding and Additive Manufacturing Processes. Micromachines 2026, 17, 246. https://doi.org/10.3390/mi17020246
Zhu Q, Huang Z, Li H. Research Progress of Acoustic Monitoring Technology in Welding and Additive Manufacturing Processes. Micromachines. 2026; 17(2):246. https://doi.org/10.3390/mi17020246
Chicago/Turabian StyleZhu, Qiang, Zaile Huang, and Huan Li. 2026. "Research Progress of Acoustic Monitoring Technology in Welding and Additive Manufacturing Processes" Micromachines 17, no. 2: 246. https://doi.org/10.3390/mi17020246
APA StyleZhu, Q., Huang, Z., & Li, H. (2026). Research Progress of Acoustic Monitoring Technology in Welding and Additive Manufacturing Processes. Micromachines, 17(2), 246. https://doi.org/10.3390/mi17020246

