Optimizing TiO2/HfO2 Multilayer RRAM for Self-Rectifying Characteristics
Abstract
1. Introduction
2. Architecture
3. Measurement Results
3.1. Single-Layer RRAM Measurement
3.2. Multilayer RRAM Measurement
4. Discussion
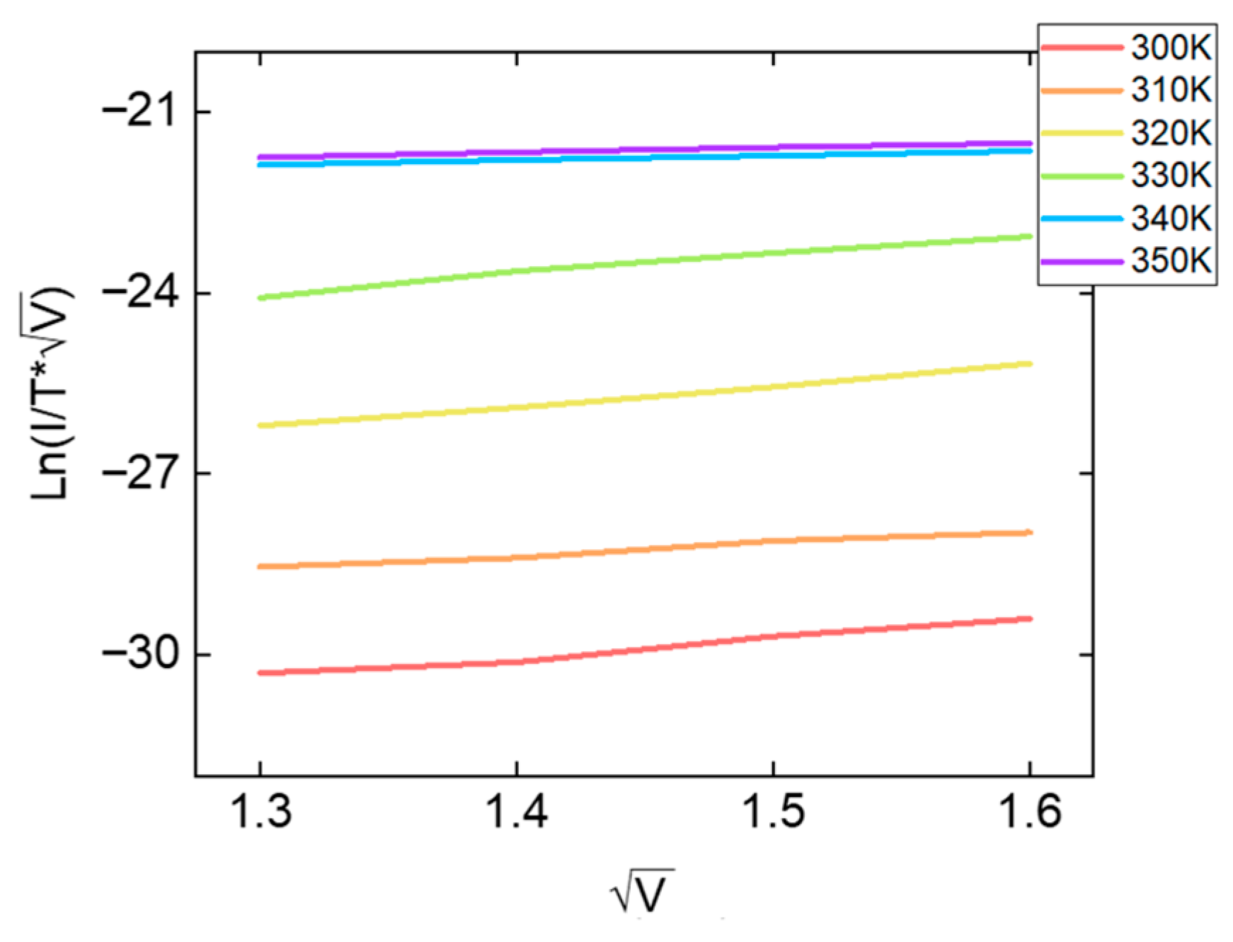
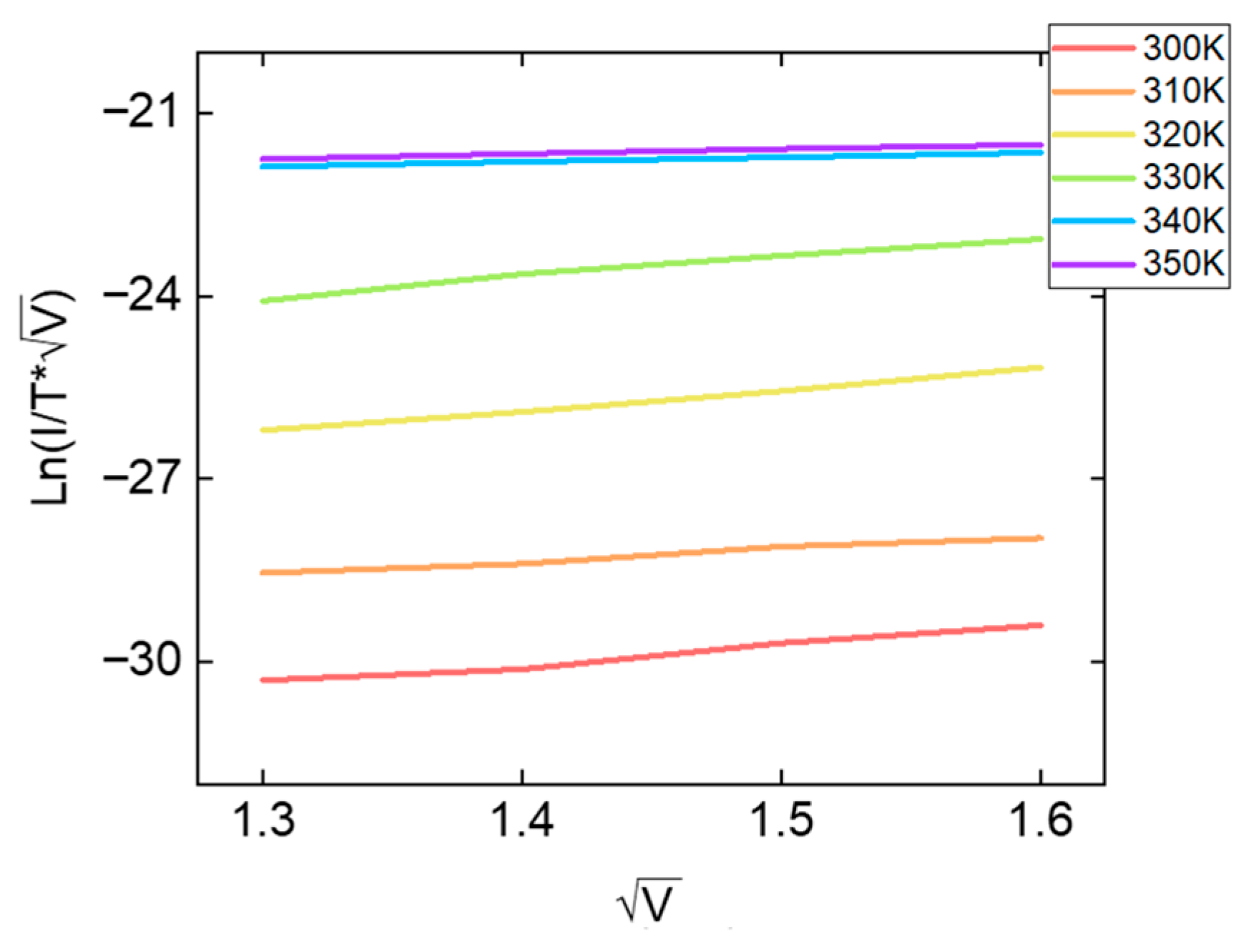
4.1. Rectifying Mechanism of Bilayer RRAM
4.2. TiO2 Thickness of Bilayer RRAM
4.3. Rectifying Ratio of Bilayer RRAM
5. Conclusions
Author Contributions
Funding
Data Availability Statement
Conflicts of Interest
References
- An, B.-K.; Zhang, X.; Do, A.T.; Kim, T.T.-H. Design of a Reliable Current Sense Amplifier with Dynamic Reference for Resistive Memory. J. Semicond. Technol. Sci. 2024, 24, 226–239. [Google Scholar] [CrossRef]
- Chen, Y.C.; Lin, C.C.; Chang, Y.F. Post-Moore Memory Technology: Sneak Path Current (SPC) Phenomena on RRAM Crossbar Array and Solutions. Micromachines 2021, 12, 50. [Google Scholar] [CrossRef] [PubMed]
- Kim, C.S.; Kim, T.; Min, K.K.; Kim, Y.; Kim, S.; Park, B.-G. Synaptic Device with High Rectification Ratio Resistive Switching and Its Impact on Spiking Neural Network. IEEE Trans. Electron Devices 2021, 68, 1610–1615. [Google Scholar] [CrossRef]
- Zhou, J.; Kim, K.-H.; Lu, W. Crossbar RRAM Arrays: Selector Device Requirements During Read Operation. IEEE Trans. Electron Devices 2014, 61, 1369–1376. [Google Scholar] [CrossRef]
- Kim, S.; Zhou, J.; Lu, W.D. Crossbar RRAM Arrays: Selector Device Requirements During Write Operation. IEEE Trans. Electron Devices 2014, 61, 2820–2826. [Google Scholar] [CrossRef]
- Ryu, J.-H.; Kim, S. Artificial Synaptic Characteristics of TiO2/HfO2 Memristor with Self-Rectifying Switching for Brain-Inspired Computing. Chaos Solitons Fractals 2020, 140, 110236. [Google Scholar] [CrossRef]
- Chou, C.-T.; Hudec, B.; Hsu, C.-W.; Lai, W.-L.; Chang, C.-C.; Hou, T.-H. Crossbar Array of Selector-Less TaOx/TiO2 Bilayer RRAM. Microelectron. Reliab. 2015, 55, 2220–2223. [Google Scholar] [CrossRef]
- Kim, T.H.; Kim, S.; Kim, H.; Kim, M.-H.; Bang, S.; Cho, S.; Park, B.-G. Highly Uniform and Reliable Resistive Switching Characteristics of a Ni/WOx/p+-Si Memory Device. Solid-State Electron. 2018, 140, 51–54. [Google Scholar] [CrossRef]
- Lim, J.; Baek, M.-H.; Kwon, M.-W. Analysis of the Switching Mechanism of Hafnium Oxide Layer with Nanoporous Structure by RF Sputtering. J. Semicond. Technol. Sci. 2025, 25, 9–13. [Google Scholar] [CrossRef]
- Gül, F. Addressing the Sneak-Path Problem in Crossbar RRAM Devices Using Memristor-Based One Schottky Diode–One Resistor Array. Results Phys. 2019, 12, 1091–1096. [Google Scholar] [CrossRef]
- Bang, S.; Kim, M.-H.; Kim, T.-H.; Lee, D.K.; Kim, S.; Cho, S.; Park, B.-G. Gradual Switching and Self-Rectifying Characteristics of Cu/α-IGZO/p⁺-Si RRAM for Synaptic Device Application. Solid-State Electron. 2018, 150, 60–65. [Google Scholar] [CrossRef]
- Jagath, A.L.; Kumar, T.N.; Almurib, H.A.; Jinesh, K.B.P. Analytical Modelling of Tantalum/Titanium Oxide-Based Multi-Layer Selector to Eliminate Sneak Path Current in RRAM Arrays. IET Circuits Devices Syst. 2020, 14, 1092–1098. [Google Scholar] [CrossRef]
- Lin, Y.-D.; Chen, P.S.; Lee, H.Y.; Chen, Y.S.; Rahaman, S.Z.; Tsai, K.H.; Hsu, C.H.; Chen, W.S.; Wang, P.H.; King, Y.C.; et al. Retention Model of TaO/HfOx and TaO/AlOx RRAM with Self-Rectifying Switch Characteristics. Nanoscale Res. Lett. 2017, 12, 407. [Google Scholar] [CrossRef] [PubMed]
- Zhou, J.; Cai, F.; Wang, Q.; Chen, B.; Gaba, S.; Lu, W.D. Very Low-Programming-Current RRAM with Self-Rectifying Characteristics. IEEE Electron Device Lett. 2016, 37, 404–407. [Google Scholar] [CrossRef]
- Kim, T.-H.; Kim, S.; Park, B.-G. Improved Rectification Characteristics by Engineering Energy Barrier Height in TiOx-Based RRAM. Microelectron. Eng. 2021, 237, 111498. [Google Scholar] [CrossRef]
- Hsu, C.-C.; Wang, S.-Y.; Lin, Y.-S.; Chen, Y.-T. Self-Rectifying and Interface-Controlled Resistive Switching Characteristics of Molybdenum Oxide. J. Alloys Compd. 2019, 779, 609–617. [Google Scholar] [CrossRef]
- Hsu, C.-W.; Hou, T.-H.; Chen, M.-C.; Wang, I.-T.; Lo, C.-L. Bipolar Ni/TiO2/HfO2/Ni RRAM with Multilevel States and Self-Rectifying Characteristics. IEEE Electron Device Lett. 2013, 34, 885–887. [Google Scholar] [CrossRef]
- Yun, M.J.; Lee, D.; Kim, S.; Wenger, C.; Kim, H.-D. A Nonlinear Resistive Switching Behaviors of Ni/HfO2/TiN Memory Structures for Self-Rectifying Resistive Switching Memory. Mater. Charact. 2021, 182, 111578. [Google Scholar] [CrossRef]
- Jang, D.J.; Kwon, M.-W. Self-Rectifying Resistive Switching Memory Based on Molybdenum Disulfide for Reduction of Leakage Current in Synapse Arrays. Electronics 2023, 12, 4650. [Google Scholar] [CrossRef]
- Chae, M.; Jang, Y.; Lee, D.; Kim, H.D. Improved Self-Rectifying Characteristics Observed in ZnO/IGZO Bilayer RRAM Cells Using Eco-Friendly Indirect Post-Treatment. Mater. Today Sustain. 2025, 30, 101105. [Google Scholar] [CrossRef]
- Ran, H.; Ren, Z.; Li, J.; Sun, B.; Wang, T.; Gu, D.; Wang, W.; Hu, X.; Dong, Z.; Song, Q.; et al. Self-Rectifying Switching Memory Based on HfOx/FeOx Semiconductor Heterostructure for Neuromorphic Computing. Adv. Funct. Mater. 2025, 35, 2418113. [Google Scholar] [CrossRef]
- Seo, H.K.; Lee, J.H.; Yang, M.K. GeSeTe-Based OTS Selector Integrated with ReRAM for High-Density 1S–1R Memory Arrays. AIP Adv. 2025, 15, 2. [Google Scholar] [CrossRef]










| Al | Ti | Cu | Au |
|---|---|---|---|
| 4.1 eV | 4.3 eV | 4.7 eV | 5.1 eV |
Disclaimer/Publisher’s Note: The statements, opinions and data contained in all publications are solely those of the individual author(s) and contributor(s) and not of MDPI and/or the editor(s). MDPI and/or the editor(s) disclaim responsibility for any injury to people or property resulting from any ideas, methods, instructions or products referred to in the content. |
© 2025 by the authors. Licensee MDPI, Basel, Switzerland. This article is an open access article distributed under the terms and conditions of the Creative Commons Attribution (CC BY) license.
Share and Cite
Nam, C.-H.; Baek, M.-H. Optimizing TiO2/HfO2 Multilayer RRAM for Self-Rectifying Characteristics. Micromachines 2026, 17, 49. https://doi.org/10.3390/mi17010049
Nam C-H, Baek M-H. Optimizing TiO2/HfO2 Multilayer RRAM for Self-Rectifying Characteristics. Micromachines. 2026; 17(1):49. https://doi.org/10.3390/mi17010049
Chicago/Turabian StyleNam, Chan-Hyeok, and Myung-Hyun Baek. 2026. "Optimizing TiO2/HfO2 Multilayer RRAM for Self-Rectifying Characteristics" Micromachines 17, no. 1: 49. https://doi.org/10.3390/mi17010049
APA StyleNam, C.-H., & Baek, M.-H. (2026). Optimizing TiO2/HfO2 Multilayer RRAM for Self-Rectifying Characteristics. Micromachines, 17(1), 49. https://doi.org/10.3390/mi17010049

