Design of Dual Continuous-Mode Class-J Power Amplifiers with Harmonic Matching Networks for X and Ku Bands
Abstract
1. Introduction
2. Continuous-Mode Class-J Power Amplifier
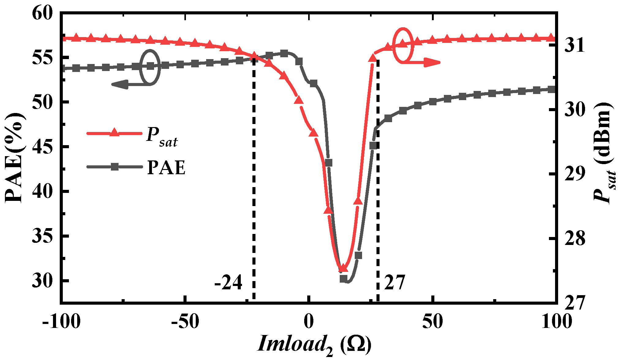
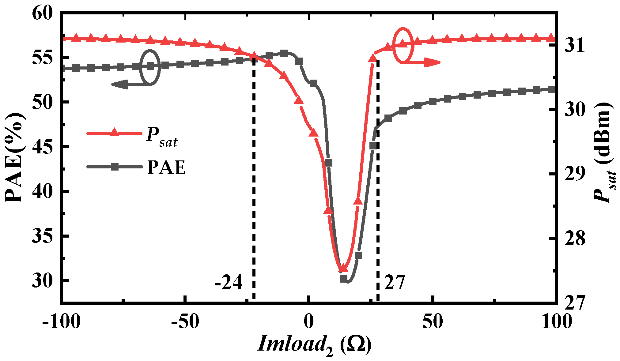
3. Harmonic Load Pull
4. Design of the Harmonic Matching Network
5. Design of the X and Ku Bands Class-J Power Amplifiers
6. Simulated and Measured Results
| Ref. | Technology | Frequency (GHz) | BW (%) | Psat * (dBm) | PAE * (%) | Area (mm2) |
|---|---|---|---|---|---|---|
| [12] | 0.15-μm GaAs | 7~11.5 | 48.7 | 33.8 | 43 | 3.6 × 1.8 |
| [13] | 0.25-μm GaAs | 8~13 | 47.6 | 31 | 35 | 1 × 3.5 |
| [14] | 0.25-μm GaAs | 8.5~11.5 | 30 | 35 | 49 | 3 × 1.8 |
| [15] | 0.25-μm GaAs | 8.5~9.5 | 11.1 | 29.6 | 44.4 | 2 × 2 |
| 15.5~16.5 | 6.3 | 30.1 | 38.4 | |||
| [16] | 0.25-μm GaAs | 11.7~17.6 | 40.3 | 31 | 38.8 | 3.8 × 3.3 |
| [17] | 0.25-μm GaAs | 6~18 | 100 | 40.5 | 29 | 5 × 3.6 |
| This work | 0.25-μm GaAs | 8~12 | 40 | 31.2 | 48 | 2.75 × 1.2 |
| 12~18 | 40 | 30.8 | 45.3 | 2.2 × 1.2 |
7. Conclusions
Author Contributions
Funding
Data Availability Statement
Conflicts of Interest
References
- Maini, A.K. Handbook of Defence Electronics and Optronics: Fundamentals, Technologies and System; John Wiley & Sons: Hoboken, NJ, USA, 2018. [Google Scholar]
- Batra, J.; Balakrishnan, G.; Aiello, R.; Foerster, J.R.; Dabak, A. Design of a multiband OFDM system for realistic UWB channel environments. IEEE Trans. Microw. Theory Techn. 2004, 52, 2123–2138. [Google Scholar] [CrossRef]
- Cripps, S.C.; Tasker, P.J.; Clarke, A.L.; Lees, J.; Benedikt, J. On the continuity of high efficiency modes in linear RF power amplifiers. IEEE Microw. Wirel. Compon. Lett. 2009, 19, 665–667. [Google Scholar] [CrossRef]
- Chu, C.; Sharma, T.; Dhar, S.K.; Darraji, R.; Wang, X.; Pang, J.; Zhu, A. Waveform engineered sequential load modulated balanced amplifier with continuous class-F− 1 and class-J operation. IEEE Trans. Microw. Theory Tech. 2021, 70, 1269–1283. [Google Scholar] [CrossRef]
- Xuan, X.; Cheng, Z.; Zhang, Z.; Le, C. Highly efficient ultrawideband power amplifier based on a novel multi-branch matching network. IEEE Microw. Wirel. Technol. Lett. 2023, 33, 1325–1328. [Google Scholar] [CrossRef]
- Alizadeh, A.; Hassanzadehyamchi, S.; Medi, A.; Kiaei, S. An X-band class-J power amplifier with active load modulation to boost drain efficiency. IEEE Trans. Circuits Syst. I Regul. Pap. 2020, 67, 3364–3377. [Google Scholar] [CrossRef]
- Gong, T.; Cheng, Z.; Zheng, B.; Xuan, X.; Le, C.; Fan, W.; Zhang, Z. SC band wideband GaN power amplifier MMIC for radar application. IEICE Electron. Express 2024, 21, 20240596. [Google Scholar] [CrossRef]
- Wright, P.; Lees, J.; Tasker, P.J.; Benedikt, J.; Cripps, S.C. An Efficient, Linear, Broadband Class-J-Mode PA Realised Using RF Waveform Engineering. In Proceedings of the 2009 IEEE MTT-S International Microwave Symposium Digest, Boston, MA, USA, 7–12 June 2009; IEEE: New York, NY, USA, 2009; pp. 653–656. [Google Scholar]
- Alizadeh, A.; Hassanzadehyamchi, S.; Medi, A. Integrated output matching networks for class–J/J− 1 power amplifiers. IEEE Trans. Circuits Syst. I Regul. Pap. 2019, 66, 2921–2934. [Google Scholar] [CrossRef]
- Kazimierczuk, M.K. RF Power Amplifiers; John Wiley & Sons: Hoboken, NJ, USA, 2014. [Google Scholar]
- Sheikhi, A.; Hemesi, H. Analysis and design of the novel class-F/E power amplifier with series output filter. IEEE Trans. Circuits Syst. II Express Briefs 2021, 69, 779–783. [Google Scholar] [CrossRef]
- Li, J.; Yuan, Y.; Yuan, B.; Tan, C.; Yu, Z. Analysis and design of broadband 2-W power amplifier based on cascode transistors. Microw. Opt. Technol. Lett. 2024, 66, e34205. [Google Scholar] [CrossRef]
- Babakrpur, E.; Medi, A.; Namgoong, W. Wideband GaAs MMIC driver power amplifiers for X and Ku bands. In Proceedings of the 2017 Texas Symposium on Wireless and Microwave Circuits and Systems (WMCS), Waco, TX, USA, 30–31 March 2017; IEEE: New York, NY, USA, 2017; pp. 1–4. [Google Scholar]
- Hua, Y.; Wu, H.; Liao, X.; Liao, C.; Hu, L.; Lv, J. A High-Efficiency 3-Watt GaAs pHEMT X-Band MMIC Power Amplifier. In Proceedings of the 2018 International Conference on Microwave and Millimeter Wave Technology, Chengdu, China, 7–11 May 2018; IEEE: New York, NY, USA, 2018; pp. 1–2. [Google Scholar]
- Xie, C.; Wu, P.; Tan, C.; Yuan, Y.; Zeng, J.; Yu, Z. An X/Ku dual-band switchless frequency reconfigurable GaAs power amplifier. IEEE Microw. Wirel. Compon. Lett. 2022, 32, 539–542. [Google Scholar] [CrossRef]
- Yao, G.; Jia, H.; Zhao, Z.; Lu, Y.; Yi, C.; Liu, X.; Feng, T.; Yang, L.A.; Ma, X. A Ku-Band Broadband High-Efficiency GaAs MMIC Power Amplifier. In Proceedings of the 2024 International Conference on Microwave and Millimeter Wave Technology (ICMMT), Beijing, China, 16–19 May 2024; IEEE: New York, NY, USA, 2024; Volume 1, pp. 1–3. [Google Scholar]
- Meghdadi, M.; Medi, A. Design of 6–18-GHz high-power amplifier in GaAs pHEMT technology. IEEE Trans. Microw. Theory Tech. 2017, 65, 2353–2360. [Google Scholar] [CrossRef]












| Frequency | 8 GHz | 10 GHz | 12 GHz |
|---|---|---|---|
| Zs | (11.9 + j21.5) Ω | (5.2 + j15) Ω | (5.8 + j14.3) Ω |
| Zf0 | (18.5 + j11.6) Ω | (14.6 + j9.1) Ω | (10.1 + j10.4) Ω |
| Z2f0 | >j30 W | >j30 W | >j30 W |
| Frequency | 13 GHz | 15 GHz | 17 GHz |
| Zs | (7.3 + j10.8) Ω | (6.3 + j2.4) Ω | (3.1 + j1.7) Ω |
| Zf0 | (8.9 + j9.5) Ω | (7.8 + j8.1) Ω | (6.1 + j8.5) Ω |
| Z2f0 | >j30 W | >j30 W | >j30 W |
| Frequency | 8 GHz | 10 GHz | 12 GHz |
|---|---|---|---|
| Zs | (17.4 + j16) Ω | (15.2 + j14.5) Ω | (13.9 + j12.1) Ω |
| ZL | (31.3 + j28.5) Ω | (29.5 + j26) Ω | (28.6 + j23) Ω |
| Frequency | 13 GHz | 17 GHz | 15 GHz |
| Zs | (2.4 + j4.6) Ω | (2 + j5.2) Ω | (2 + j4.3) Ω |
| ZL | (9.3 + j14.6) Ω | (7.1 + j12) Ω | (3.9 + j13) Ω |
| Components | Values | Components | Values |
|---|---|---|---|
| L1 | 10 mm × 1500 μm | C12 | 0.52 pF |
| L2 | 10 mm × 340 μm | Lg1 | 10 mm × 1550 μm |
| L3 | 10 mm × 300 μm | Lg2 | 10 mm × 1400 μm |
| L4 | 15 mm × 400 μm | Lg3 | 10 mm × 900 μm |
| L5 | 15 mm × 300 μm | Lg4 | 10 mm × 1000 μm |
| L6 | 10 mm × 1800 μm | Ld1 | 15 mm × 1350 μm |
| L7 | 10 mm × 1050 μm | Ld2 | 30 mm × 1600 μm |
| L8 | 10 mm × 250 μm | Ld3 | 15 mm × 650 μm |
| L9 | 10 mm × 800 μm | Ld4 | 30 mm × 1100 μm |
| C1 | 0.67 pF | Ls1 | 20 mm × 450 μm |
| C2 | 6.10 pF | Ls2 | 30 mm × 400 μm |
| C3 | 0.52 pF | Lp1 | 10 mm × 160 μm |
| C4 | 0.62 pF | Lp2 | 30 mm × 120 μm |
| C5 | 1.01 pF | Cp1 | 0.39 pF |
| C6 | 0.68 pF | Cp2 | 0.35 pF |
| C7 | 2.30 pF | M1 | 6 × 100 μm |
| C8 | 0.19 pF | M2 | 10 × 150 μm |
| C9 | 0.52 pF | M3 | 8 × 200 μm |
| C10 | 0.56 pF | M4 | 12 × 200 μm |
| C11 | 0.83 pF |
Disclaimer/Publisher’s Note: The statements, opinions and data contained in all publications are solely those of the individual author(s) and contributor(s) and not of MDPI and/or the editor(s). MDPI and/or the editor(s) disclaim responsibility for any injury to people or property resulting from any ideas, methods, instructions or products referred to in the content. |
© 2025 by the authors. Licensee MDPI, Basel, Switzerland. This article is an open access article distributed under the terms and conditions of the Creative Commons Attribution (CC BY) license (https://creativecommons.org/licenses/by/4.0/).
Share and Cite
Yuan, Y.; Zhao, X.; Fan, J.; Yu, Z. Design of Dual Continuous-Mode Class-J Power Amplifiers with Harmonic Matching Networks for X and Ku Bands. Micromachines 2025, 16, 1362. https://doi.org/10.3390/mi16121362
Yuan Y, Zhao X, Fan J, Yu Z. Design of Dual Continuous-Mode Class-J Power Amplifiers with Harmonic Matching Networks for X and Ku Bands. Micromachines. 2025; 16(12):1362. https://doi.org/10.3390/mi16121362
Chicago/Turabian StyleYuan, Yang, Xuesong Zhao, Jingxin Fan, and Zhongjun Yu. 2025. "Design of Dual Continuous-Mode Class-J Power Amplifiers with Harmonic Matching Networks for X and Ku Bands" Micromachines 16, no. 12: 1362. https://doi.org/10.3390/mi16121362
APA StyleYuan, Y., Zhao, X., Fan, J., & Yu, Z. (2025). Design of Dual Continuous-Mode Class-J Power Amplifiers with Harmonic Matching Networks for X and Ku Bands. Micromachines, 16(12), 1362. https://doi.org/10.3390/mi16121362

