SPICE Model for SiC Bipolar Transistor and TTL Inverter Degradation Due to Gamma Radiation
Abstract
1. Introduction
2. Experimental Section
2.1. Device Processing and Design
2.1.1. Discrete 3-Pad Devices
2.1.2. Inverter Design
- First Stage (Input Gate—Transistor Q1): This stage functions as the input gate. In this design, an emitter transistor Q1 is utilized to efficiently manage incoming signals.
- Second Stage (Phase Splitter—Transistor Q2): This stage’s primary role is to invert and split the phase of the logic signal received from the first stage, preparing it for the final output stage.
- Third Stage (“Totem-Pole” Output Configuration—Transistors Q3 and Q4): This crucial stage is implemented as a “totem-pole” output configuration, comprising two transistors (Q3 and Q4) that operate in a complementary fashion. This design ensures low output impedance in both high- and low-logic states. For instance, in the logic-high output state, transistor Q3 is “ON”, while Q4 is “OFF”, thereby driving the output to the desired logic level. Conversely, for a logic-low output, Q3 is OFF and Q4 is ON.
- Diode Representation: In the schematic, the diode, typically present in TTL for level shifting, is replaced by an NPN transistor with its collector shorted to the base. This configuration ensures that the diode voltage drop precisely matches the base–emitter voltage drop of the subsequent transistor, optimizing signal levels.


2.2. Radiation Testing Facility and Conditions
2.3. Measurement Procedure
3. Results
3.1. Experimental Results from SiC BJT
3.2. SPICE-Simulated SiC BJT Characteristics
3.2.1. Initial SPICE Model Calibration
3.2.2. SPICE Adjustment
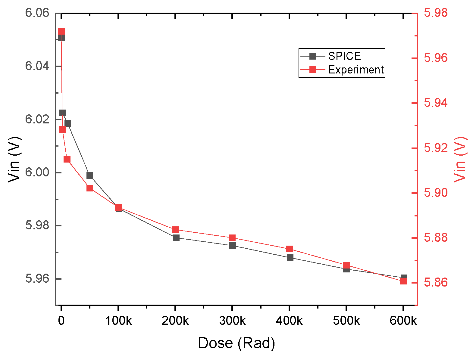
3.2.3. Comparing SiC BJT Measurements and Initial and Adjusted SPICE Models
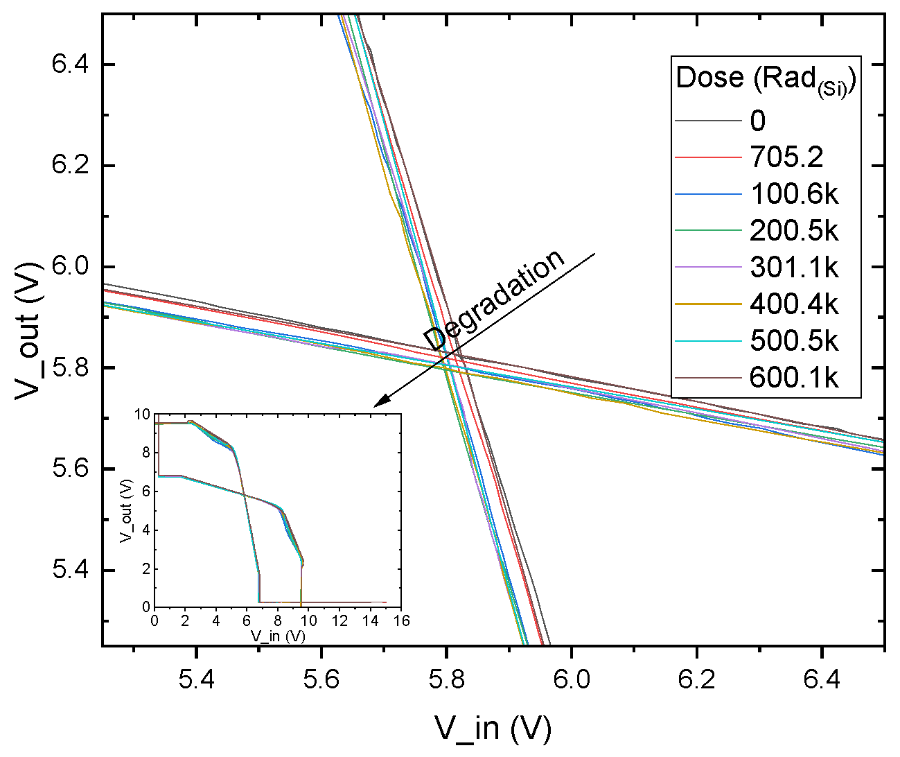
3.3. Inverter Results
- •
- •
- •
- •
- •
- •
- Ndiode(D) = 1.55
4. Discussion
5. Conclusions
Author Contributions
Funding
Data Availability Statement
Acknowledgments
Conflicts of Interest
Appendix A
| SiC BJT SPICE Parameters | ||||||||
|---|---|---|---|---|---|---|---|---|
| Parameter | Models | Units | 0 | 100 k | 300 k | 500 k | 700 k | 800 k |
| bf | Ideal maximum forward beta | - | 75 | 38.49 | 25.37 | 21.47 | 19.75 | 18.17 |
| is | Transport saturation current | [A] | 3.75 × 10−46 | 9.42 × 10−44 | 2.98 × 10−42 | 1.19 × 10−41 | 2.37 × 10−41 | 4.72 × 10−41 |
| vaf | Forward early voltage | [V] | 600 | |||||
| var | Reverse early voltage | [V] | 45 | |||||
| rb | Zero-bias base resistance | [Ohm] | 1.40 × 104 | 3.64 × 104 | 5.04 × 104 | 5.60 × 104 | 5.88 × 104 | 6.16 × 104 |
| TF | Forward transit time | 1.05 × 10−10 | 2.31 × 10−10 | 3.10 × 10−10 | 3.41 × 10−10 | 3.57 × 10−10 | 3.73 × 10−10 | |
| vaf | Forward early voltage | [V] | 600 | |||||
| var | Reverse early voltage | [V] | 45 | |||||
| Inverter | ||||||||
| Parameter | Models | Units | 0 | 100 k | 300 k | 500 k | 600 k | |
| bf | Ideal maximum forward beta | - | 75 | 38.49 | 25.37 | 21.47 | 19.75 | |
| is | Transport saturation current | [A] | 3.75 × 10−46 | 9.42 × 10−44 | 2.98 × 10−42 | 1.19 × 10−41 | 2.37 × 10−41 | |
| vaf | Forward early voltage | [V] | 600 | |||||
| var | Reverse early voltage | [V] | 45 | |||||
| rb | Zero-bias base resistance | [Ohm] | 1.40 × 104 | 3.64 × 104 | 5.04 × 104 | 5.60 × 104 | 5.80 × 104 | |
| TF | Forward transit time | - | 1.05 × 10−10 | 2.31 × 10−10 | 3.10 × 10−10 | 3.41 × 10−10 | 3.57 × 10−10 | |
| vaf | Forward early voltage | [V] | 600 | |||||
| var | Reverse early voltage | [V] | 45 | |||||
| Diode_IS | Diode transport saturation current | [A] | 3.75 × 10−46 | 9.42 × 10−44 | 2.98 × 10−42 | 1.19 × 10−41 | 4.72 × 10−41 | |
| Diode_N | Diode emission coefficient | - | 1.55 | |||||
| Diode_CJO | Diode zero-bias junction capacitance | [F] | 8.00 × 10−40 | |||||
References
- Tudisco, S.; Altana, C.; Amaducci, S.; Ciampi, C.; Cosentino, G.; De Luca, S.; La Via, F.; Lanzalone, G.; Muoio, A.; Pasquali, G.; et al. Silicon Carbide devices for radiation detection: A review of the main performances. Nucl. Instrum. Methods Phys. Res. Sect. A Accel. Spectrometers Detect. Assoc. Equip. 2024, 1062, 170112. [Google Scholar] [CrossRef]
- Shakir, M.; Hou, S.; Hedayati, R.; Malm, B.G.; Östling, M.; Zetterling, C.-M. Towards silicon carbide VLSI circuits for extreme environment applications. Electronics 2019, 8, 496. [Google Scholar] [CrossRef]
- Oldham, T.R.; McLean, F.B. Total ionizing dose effects in MOS oxides and devices. IEEE Trans. Nucl. Sci. 2003, 50, 483–499. [Google Scholar] [CrossRef]
- Pease, R.L. Total ionizing dose effects in bipolar devices and circuits. IEEE Trans. Nucl. Sci. 2003, 50, 539–551. [Google Scholar] [CrossRef]
- Suvanam, S.S.; Lanni, L.; Malm, B.G.; Zetterling, C.M.; Hallén, A. Effects of 3-MeV protons on 4H-SiC bipolar devices and integrated OR-NOR gates. IEEE Trans. Nucl. Sci. 2014, 61, 1772–1776. [Google Scholar] [CrossRef][Green Version]
- Suvanam, S.S.; Lanni, L.; Malm, B.G.; Zetterling, C.M.; Hallén, A. Total dose effects on 4H-SiC bipolar junction transistors. Mater. Sci. Forum 2017, 897, 579–582. [Google Scholar] [CrossRef]
- Chulapakorn, T.; Sychugov, I.; Suvanam, S.S.; Linnros, J.; Primetzhofer, D.; Hallén, A. Influence of swift heavy ion irradiation on the photoluminescence of Si-nanoparticles and defects in SiO2. Nanotechnology 2017, 28, 375606. [Google Scholar] [CrossRef]
- Metreveli, A.; Hallen, A.; Sarcina, I.D.; Cemmi, A.; Scifo, J.; Verna, A.; Zetterling, C.-M. In Situ Gamma Irradiation Effects on 4H-SiC Bipolar Junction Transistors. IEEE Trans. Nucl. Sci. 2023, 70, 2597–2604. [Google Scholar] [CrossRef]
- Metreveli, A.; Cuong, V.; Kuroki, S.; Tanaka, K.; Zetterling, C. Impact of interface oxide type on the gamma radiation response of SiC TTL ICs. Facta Univ.-Ser. Electron. Energet. 2024, 37, 599–607. [Google Scholar] [CrossRef]
- Lee, J.-Y.; Shakti, S.; Cooper, J. Demonstration Characterization of Bipolar Monolithic Integrated Circuits in 4H-SiC. IEEE Trans. Electron Devices 2008, 55, 1946–1953. [Google Scholar] [CrossRef]
- Nava, F.; Bertuccio, G.; Cavallini, A.; Vittone, E. Silicon Carbide and Its Use as a Radiation Detector Material. Meas. Sci. Technol. 2008, 19, 102001. [Google Scholar] [CrossRef]
- Zhang, Q.; Liu, Y.; Li, H.; Wang, J.; Wang, Y.; Cheng, F.; Han, H.; Zhang, P. A Review of SiC Sensor Applications in High-Temperature and Radiation Extreme Environments. Sensors 2024, 24, 7731. [Google Scholar] [CrossRef] [PubMed]
- Schwank, J.R.; Ferlet-Cavrois, V.; Shaneyfelt, M.R.; Paillet, P.; Dodd, P.E. Radiation effects in SOI technologies. IEEE Trans. Nucl. Sci. 2003, 50, 522–538. [Google Scholar] [CrossRef]
- Ren, Y.; Zhu, M.; Dai, X.; Li, L.; Liu, M. Overview of the Properties and Formation Process of Interface Traps in MOS and Linear Bipolar Devices. Micromachines 2025, 16, 434. [Google Scholar] [CrossRef] [PubMed]
- Lanni, L.; Ghandi, R.; Malm, B.G.; Zetterling, C.-M.; Ostling, M. Design and Characterization of High-Temperature ECL-Based Bipolar Integrated Circuits in 4H-SiC. IEEE Trans. Electron Devices 2012, 59, 1076–1083. [Google Scholar] [CrossRef]
- Zetterling, C.-M.; Hallén, A.; Hedayati, R.; Kargarrazi, S.; Lanni, L.; Malm, B.G.; Mardani, S.; Norström, H.; Rusu, A.; Suvanam, S.S.; et al. Bipolar integrated circuits in SiC for extreme environment operation. Semicond. Sci. Technol. 2017, 32, 034002. [Google Scholar] [CrossRef]
- Baccaro, S.; Cemmi, A.; Di Sarcina, I.; Ferrara, G. Gamma irradiation Calliope Facility at ENEA—Casaccia Research Centre (Rome, Italy). ENEA Technical Report RT/2019/4/ENEA. Available online: https://iris.enea.it/bitstream/20.500.12079/6838/1/RT-2019-04-ENEA.pdf (accessed on 1 March 2019).
- MIL-STD-883L. TEST METHOD STANDARD MICROCIRCUITS. U.S.A. 2019. Available online: https://s3vi.ndc.nasa.gov/ssri-kb/static/resources/std883.pdf (accessed on 29 September 2025).
- MIL-STD-750. TEST METHOD STANDARD, ENVIRONMENTAL TEST METHODS FOR SEMICONDUCTOR DEVICES, 2017. Available online: https://nepp.nasa.gov/DocUploads/87F5C780-EF36-4B8F-A2D5AC676D5456BF/MIL-STD-750.pdf (accessed on 29 September 2025).
- Drennan, J.E.; Hamman, D.J. Radiation Effects Design Handbook; Radiation Effects Information Center Battelle Memorial Institute: Columbus, OH, USA, 1971. Available online: https://ntrs.nasa.gov/api/citations/19710021896/downloads/19710021896.pdf (accessed on 29 September 2025).
- Bellan, D.; Brandolini, A.; Gandelli, A. Effects of ADC nonlinearities in sine-wave amplitude measurement. In Proceedings of the 1998 IEEE International Conference on Electronics, Circuits and Systems. Surfing the Waves of Science and Technology (Cat. No.98EX196), Lisboa, Portugal, 7–10 September 1998; Volume 3, pp. 449–452. [Google Scholar] [CrossRef]
- Barnaby, H.J.; Smith, S.K.; Schrimpf, R.D.; Fleetwood, D.M.; Pease, R.L. Analytical model for proton radiation effects in bipolar devices. IEEE Trans. Nucl. Sci. 2002, 49, 2643–2649. [Google Scholar] [CrossRef]
- Hazdra, P.; Smrkovský, P.; Popelka, S. Radiation Defects and Carrier Lifetime in 4H-SiC Bipolar Devices. Phys. Status Solidi A 2021, 218, 2100218. [Google Scholar] [CrossRef]
- Wang, J.; Tan, J.; Wing, O. Theory of cross-coupled RF oscillator for multi- and quadrature-phase signal generation. In Proceedings of the 2003 5th International Conference on ASIC Proceedings, Beijing, China, 21–24 October 2003; Volume 2, pp. 1014–1017. [Google Scholar] [CrossRef]
- Metreveli, A.; Hallén, A.; di Sarcina, I.; Cemmi, A.; Verna, A.; Zetterling, C.M. The Impact of Gamma Irradiation on 4H-SiC Bipolar Junction Inverters under Various Biasing Conditions. Solid State Phenom. 2024, 361, 71–76. [Google Scholar] [CrossRef]
- Buono, B.; Ghandi, R.; Domeij, M.; Malm, G.; Zetterling, C.-M.; Östling, M. Influence of Emitter Width and Emitter–Base Distance on the Current Gain in 4H-SiC Power BJTs. IEEE Trans. Electron Devices 2010, 57, 2664–2670. [Google Scholar] [CrossRef]
- York, B. Modeling BJTs in Multisim. UCSB, [Online]. Available online: https://www.mikrocontroller.net/attachment/168555/Modeling_BJTs_in_Multisim.pdf (accessed on 29 September 2025).
- McAndrew, C.C.; Seitchik, J.; Bowers, D.; Dunn, M.; Foisy, M.; Getreu, I.; McSwain, M.; Moinian, S.; Parker, J.; Roulston, D.; et al. VBIC95, The Vertical Bipolar Inter-Company Model. IEEE J. Solid-State Circuits 1996, 31, 1476–1483. [Google Scholar] [CrossRef]
- Schrimpf, R.; Fleetwood, D.; Pease, R.L.; Tsetseris, L.; Pantelides, S.T. Impact of Radiation-Induced Defects on Bipolar Device Operation. In Defects in Microelectronic Materials and Devices; CRC Press: Boca Raton, FL, USA, 2008. [Google Scholar] [CrossRef]
- Suvanam, S.S.; Usman, M.; Gulbinas, K.; Grivickas, V.; Hallén, A. A Comparison of Free Carrier Absorption and Capacitance Voltage Methods for Interface Trap Measurements. Mater. Sci. Forum 2013, 740–742, 465–468. [Google Scholar] [CrossRef]
- Vladimirescu, A. The SPICE Book; John Wiley & Sons Inc.: New York, NY, USA, 1994; ISBN 978-0-471-60926-1. [Google Scholar]
- Massobrio, G.; Antognetti, P. Semiconductor Device Modeling with SPICE, 2nd ed.; McGraw-Hill: New York, NY, USA, 1993; ISBN 978-0070024694. [Google Scholar]
- Katz, R.; Swift, G.; Shaw, D. Total dose responses of ACTEL 1020B and 1280A field programmable gate arrays. In Proceedings of the RADECS ′95 Conference, Arcachon, France, 18–22 September 1995; IEEE: New York, NY, USA, 1995; pp. 412–419. [Google Scholar]
- Tu, R.; Lum, G.; Pavan, P.; Ko, P.; Hu, C. Simulating total-dose radiation effects on circuit behavior. In Proceedings of the 1994 IEEE International Reliability Physics Symposium, San Jose, CA, USA, 11–14 April 1994; pp. 344–350. [Google Scholar] [CrossRef]
- Pien, C.F.; Amir, H.F.; Salleh, S.; Muhammad, A. Effects of Total Ionizing Dose on Bipolar Junction Transistor. Am. J. Appl. Sci. 2010, 7, 807–810. [Google Scholar]
- Siddiqui, A.; Usman, M. Radiation tolerance comparison of silicon and 4H–SiC Schottky diodes. Mater. Sci. Semicond. Process. 2021, 135, 106085. [Google Scholar] [CrossRef]
- Liu, C.; Li, X.; Geng, H.; Zhao, Z.; Yang, D.; He, S. Radiation effects on bipolar junction transistors induced by 25 MeV carbon ions. Nucl. Instrum. Methods Phys. Res. Sect. A 2010, 624, 671–674. [Google Scholar] [CrossRef]








| Environment | Duration | Typical TID (rad(Si)) | Est. Dose in SiC (rad(SiC)) |
|---|---|---|---|
| LEO (ISS) | 1 year | ~3000 | ~1500 |
| GEO | 5 years | ~50,000 | ~25,000 |
| Jupiter orbiter | 1 year | ~200,000 | ~100,000 |
| Lunar Base | 10 years | ~15,000 | ~7500 |
Disclaimer/Publisher’s Note: The statements, opinions and data contained in all publications are solely those of the individual author(s) and contributor(s) and not of MDPI and/or the editor(s). MDPI and/or the editor(s) disclaim responsibility for any injury to people or property resulting from any ideas, methods, instructions or products referred to in the content. |
© 2025 by the authors. Licensee MDPI, Basel, Switzerland. This article is an open access article distributed under the terms and conditions of the Creative Commons Attribution (CC BY) license (https://creativecommons.org/licenses/by/4.0/).
Share and Cite
Metreveli, A.; Hallén, A.; Zetterling, C.-M. SPICE Model for SiC Bipolar Transistor and TTL Inverter Degradation Due to Gamma Radiation. Micromachines 2025, 16, 1246. https://doi.org/10.3390/mi16111246
Metreveli A, Hallén A, Zetterling C-M. SPICE Model for SiC Bipolar Transistor and TTL Inverter Degradation Due to Gamma Radiation. Micromachines. 2025; 16(11):1246. https://doi.org/10.3390/mi16111246
Chicago/Turabian StyleMetreveli, Alex, Anders Hallén, and Carl-Mikael Zetterling. 2025. "SPICE Model for SiC Bipolar Transistor and TTL Inverter Degradation Due to Gamma Radiation" Micromachines 16, no. 11: 1246. https://doi.org/10.3390/mi16111246
APA StyleMetreveli, A., Hallén, A., & Zetterling, C.-M. (2025). SPICE Model for SiC Bipolar Transistor and TTL Inverter Degradation Due to Gamma Radiation. Micromachines, 16(11), 1246. https://doi.org/10.3390/mi16111246

