Automated Shear Strength Characterization at Micro Scales Based on a Microrobotic System
Abstract
1. Introduction
2. Microrobotic Manipulation System for Mechanical Characterization
2.1. Design of the Microrobotic System
2.2. Coordinate System
3. Shear Strength Characterization Method
3.1. Image Processing Method
3.2. Fabrication and Calibration of the Force Sensor
3.2.1. Fabrication of the Force Sensor
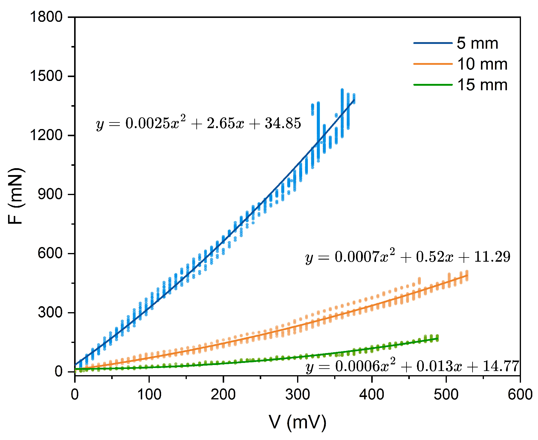
3.2.2. Calibration of the Force Sensor
4. Experimental Results
4.1. Experimental Setup
4.2. Experiment on Copper Wires
4.3. Experiments on Graphite Films
4.4. Discussion
5. Conclusions
Author Contributions
Funding
Data Availability Statement
Conflicts of Interest
References
- Calis, M.; Lloyd, D.; Boddeti, N.; Bunch, J.S. Adhesion of 2D MoS2 to Graphite and Metal Substrates Measured by a Blister Test. Nano Lett. 2023, 23, 2607–2614. [Google Scholar] [CrossRef]
- Kirchhof, J.N.; Yu, Y.; Antheaume, G.; Gordeev, G.; Yagodkin, D.; Elliott, P.; de Araujo, D.B.; Sharma, S.; Reich, S.; Bolotin, I.K. Nanomechanical Spectroscopy of 2D Materials. Nano Lett. 2022, 22, 8037–8044. [Google Scholar] [CrossRef] [PubMed]
- Yu, Z.; Zhou, X.; Bowland, C.C.; Kearney, L.T.; Humphrey, H.; Gao, Y.; Rohewal, S.S.; Meyer, H.M., III; Naskar, A.K. Electroplated Polymer-Modified Carbon Fiber for Performance-Enhancing Composite Interfaces. Adv. Mater. Interfaces 2025, 12, e00395. [Google Scholar] [CrossRef]
- Li, Y.; Yu, C.; Gan, Y.; Jiang, P.; Yu, J.; Ou, Y.; Zou, D.F.; Huang, C.; Wang, J.; Jia, T.; et al. Mapping the elastic properties of two-dimensional MoS2 via bimodal atomic force microscopy and finite element simulation. npj Comput. Mater. 2018, 4, 49. [Google Scholar] [CrossRef]
- Sato, T.; Ishida, T.; Jalabert, L.; Fujita, H. Real-time transmission electron microscope observation of nanofriction at a single Ag asperity. Nanotechnology 2012, 23, 505701. [Google Scholar] [CrossRef]
- Sapanathan, T.; Sabirov, I.; Xia, P.; Monclus, M.A.; Molina-Aldareguia, J.M.; Jacques, P.J.; Simar, A. High temperature in situ SEM assessment followed by ex situ AFM and EBSD investigation of the nucleation and early growth stages of Fe-Al intermetallics. Scr. Mater. 2021, 200, 113910. [Google Scholar] [CrossRef]
- Agmon, L.; Almog, R.; Gaspar, D.; Voscoboynik, G.; Choudhary, M.; Jopp, J.; Klausner, Z.; Ya’akobovitz, A.; Berkovich, R. Nanoscale contact mechanics of the interactions at monolayer MoS2 interfaces with Au and Si. Tribol. Int. 2022, 174, 107734. [Google Scholar] [CrossRef]
- Li, B.; Yin, J.; Liu, X.; Wu, H.; Li, J.; Li, X.; Guo, W. Probing van der Waals interactions at two-dimensional heterointerfaces. Nat. Nanotechnol. 2019, 14, 567–572. [Google Scholar] [CrossRef]
- Polfus, J.M.; Muñiz, M.B.; Ali, A.; Barragan-Yani, D.A.; Vullum, P.E.; Sunding, M.F.; Taniguchi, T.; Watanabe, K.; Belle, B.D. Temperature-Dependent Adhesion in van der Waals Heterostructures. Adv. Mater. Interfaces 2021, 8, 2100838. [Google Scholar] [CrossRef]
- Wei, X.; Meng, Z.; Ruiz, L.; Xia, W.; Lee, C.; Kysar, J.W.; Hone, J.C.; Keten, S.; Espinosa, H.D. Recoverable slippage mechanism in multilayer graphene leads to repeatable energy dissipation. ACS Nano 2016, 10, 1820–1828. [Google Scholar] [CrossRef]
- Cui, T.; Mukherjee, S.; Sudeep, P.M.; Colas, G.; Najafi, F.; Tam, J.; Ajayan, P.M.; Singh, C.V.; Sun, Y.; Filleter, T. Fatigue of graphene. Nat. Mater. 2020, 19, 405–411. [Google Scholar] [CrossRef]
- Cui, T.; Mukherjee, S.; Onodera, M.; Wang, G.; Kumral, B.; Islam, A.; Shayegannia, M.; Krishnan, G.; Barri, N.; Serles, P.; et al. Mechanical reliability of monolayer MoS2 and WSe2. Matter 2022, 5, 2975–2989. [Google Scholar] [CrossRef]
- Dai, Z.; Wang, G.; Zheng, Z.; Wang, Y.; Zhang, S.; Qi, X.; Tan, P.; Liu, L.; Xu, Z.; Li, Q.; et al. Mechanical responses of boron-doped monolayer graphene. Carbon 2019, 147, 594–601. [Google Scholar] [CrossRef]
- Lipatov, A.; Alhabeb, M.; Lu, H.; Zhao, S.; Loes, M.J.; Vorobeva, N.S.; Dall’Agnese, Y.; Gao, Y.; Gruverman, A.; Gogotsi, Y.; et al. Electrical and elastic properties of individual single-layer Nb4C3Tx MXene flakes. Adv. Electron. Mater. 2020, 6, 1901382. [Google Scholar] [CrossRef]
- Zhang, J.; Yang, X.; Li, Z.; Cai, J.; Zhang, J.; Han, X. Novel Method for Image-Based Quantified In Situ Transmission Electron Microscope Nanoindentation with High Spatial and Temporal Resolutions. Micromachines 2023, 14, 1708. [Google Scholar] [CrossRef]
- Dong, J.; Huan, Y.; Huang, B.; Yi, J.; Liu, Y.; Sun, B.; Wang, W.; Bai, H. Unusually thick shear-softening surface of micrometer-size metallic glasses. Innovation 2021, 2, 100106. [Google Scholar] [CrossRef]
- Dong, J.; Shen, J.; Sun, Y.; Ke, H.; Sun, B.; Wang, W.; Bai, H. Composition and size dependent torsion fracture of metallic glasses. J. Mater. Sci. Technol. 2021, 82, 153–160. [Google Scholar] [CrossRef]
- Feng, P.; Ma, L.; Zhou, X.; Li, M.; Zhang, Q.; Zhang, M.; Liu, X.; Jian, X.; Xu, J. Constructing a gradient modulus interface layer on the surface of carbon fibers to enhance the mechanical properties of carbon fiber/epoxy composites at different temperatures. Compos. Part B Eng. 2024, 271, 111190. [Google Scholar] [CrossRef]
- Liu, X.; Lu, R. Testing System for the Mechanical Properties of Small-Scale Specimens Based on 3D Microscopic Digital Image Correlation. Sensors 2020, 20, 3530. [Google Scholar] [CrossRef]
- Kontomaris, S.V.; Stylianou, A.; Chliveros, G.; Malamou, A. Overcoming Challenges and Limitations Regarding the Atomic Force Microscopy Imaging and Mechanical Characterization of Nanofibers. Fibers 2023, 11, 83. [Google Scholar] [CrossRef]
- Xiao, R.; Zhang, Y.; Li, M. Automated High-Throughput Atomic Force Microscopy Single-Cell Nanomechanical Assay Enabled by Deep Learning-Based Optical Image Recognition. Nano Lett. 2024, 24, 12323–12332. [Google Scholar] [CrossRef] [PubMed]
- Mehta, S.M.; De Santos, D.R.; Sridhar, S.; Aguayo, V.C.; Meraz, C.A.; Mikos, M.; Grande-Allen, K.J. Fabricating a Low-Cost, Microscopy-Compatible Mechanical Testing Device. Exp. Tech. 2022, 46, 731–743. [Google Scholar] [CrossRef] [PubMed]
- Barrios, A.; Kunka, C.; Nogan, J.; Hattar, K.; Boyce, B.L. Automated High-Throughput Fatigue Testing of Freestanding Thin Films. Small Methods 2023, 7, 2201591. [Google Scholar] [CrossRef] [PubMed]
- Xu, H.; Wu, S.; Liu, Y.; Wang, X.; Efremov, A.K.; Wang, L.; Mccaskill, J.S.; Medina-Sanchez, M.; Schmidt, O.G. 3D nanofabricated soft microrobots with super-compliant picoforce springs as onboard sensors and actuators. Nat. Nanotechnol. 2024, 19, 494–503. [Google Scholar] [CrossRef]
- Zhao, Y.; Tong, D.; Chen, Y.; Chen, Q.; Wu, Z.; Xu, X.; Fan, X.; Xie, H.; Yang, Z. Microgripper Robot with End Electropermanent Magnet Collaborative Actuation. Micromachines 2024, 15, 798. [Google Scholar] [CrossRef]
- Wang, C.; Wu, Y.; Dong, X.; Armacki, M.; Sitti, M. In situ sensing physiological properties of biological tissues using wireless miniature soft robots. Sci. Adv. 2023, 9, eadg3988. [Google Scholar] [CrossRef]
- Acuna, A.; Jimenez, J.M.; Deneke, N.; Rothenberger, S.M.; Libring, S.; Solorio, L.; Rayz, V.L.; Davis, C.S.; Calve, S. Design and validation of a modular micro-robotic system for the mechanical characterization of soft tissues. Acta Biomater. 2021, 134, 466–476. [Google Scholar] [CrossRef]
- Gao, Y.; Liu, Q.; Gu, L.; Fu, Y. Grayscale-Assisted RGB Image Conversion from Near-Infrared Images. Tsinghua Sci. Technol. 2025, 30, 2215–2226. [Google Scholar] [CrossRef]
- Wei, D.; Ling, Y.; Zhang, W. Canny Edge Detection Algorithm Based on Sparse Representation Denoising. In Proceedings of the 2022 6th International Conference on Electronic Information Technology and Computer Engineering, EITCE ’22, Xiamen, China, 21–23 October 2022; pp. 1707–1712. [Google Scholar] [CrossRef]
- Matarneh, S.T.; Elghaish, F.; Al-Ghraibah, A.; Abdellatef, E.; Edwards, D.J. An automatic image processing based on Hough transform algorithm for pavement crack detection and classification. Smart Sustain. Built Environ. 2023, 14, 1–22. [Google Scholar] [CrossRef]
- Guo, S.; He, Y.; Lei, J.; Li, Z.; Liu, D. Individual strain gradient effect on torsional strength of electropolished microscale copper wires. Scr. Mater. 2017, 130, 124–127. [Google Scholar] [CrossRef]
- Liu, D.; He, Y.; Hu, P.; Ding, H. Characterizing Torsional Properties of Microwires Using an Automated Torsion Balance. Exp. Mech. 2017, 57, 297–311. [Google Scholar] [CrossRef]
- Liu, D.; He, Y.; Tang, X.; Ding, H.; Hu, P.; Cao, P. Size effects in the torsion of microscale copper wires: Experiment and analysis. Scr. Mater. 2012, 66, 406–409. [Google Scholar] [CrossRef]
- Sun, C.; Jin, Z.H. Chapter 6—Crack Tip Plasticity. In Fracture Mechanics; Sun, C., Jin, Z.H., Eds.; Academic Press: Boston, MA, USA, 2012; pp. 123–169. [Google Scholar] [CrossRef]
- Cazacu, O.; Revil-Baudard, B. Chapter 2—Yield criteria for isotropic materials. In Plasticity of Metallic Materials; Cazacu, O., Revil-Baudard, B., Eds.; Elsevier Series on Plasticity of Materials; Elsevier: Amsterdam, The Netherlands, 2021; pp. 37–114. [Google Scholar] [CrossRef]
- Fleck, N.; Muller, G.; Ashby, M.; Hutchinson, J. Strain gradient plasticity: Theory and experiment. Acta Metall. Mater. 1994, 42, 475–487. [Google Scholar] [CrossRef]











| Test 1 | Test 2 | Test 3 | |
|---|---|---|---|
| Maximum voltage (mV) | 264 | 224 | 248 |
| Shear force (mN) | 199.7 | 164.7 | 185.4 |
| Diameter (μm) | 48.6 | 45.8 | 47.9 |
| Shear strength (MPa) | 107.7 | 100.0 | 102.9 |
| Test 1 | Test 2 | Test 3 | Test 4 | Test 5 | |
|---|---|---|---|---|---|
| Maximum voltage (mV) | 250 | 208 | 208 | 204 | 224 |
| Shear force (mN) | 187.2 | 151.3 | 151.3 | 148.0 | 164.7 |
| Width (mm) | 2.05 | 1.64 | 1.67 | 1.66 | 1.88 |
| Shear strength (MPa) | 3.65 | 3.69 | 3.62 | 3.56 | 3.51 |
Disclaimer/Publisher’s Note: The statements, opinions and data contained in all publications are solely those of the individual author(s) and contributor(s) and not of MDPI and/or the editor(s). MDPI and/or the editor(s) disclaim responsibility for any injury to people or property resulting from any ideas, methods, instructions or products referred to in the content. |
© 2025 by the authors. Licensee MDPI, Basel, Switzerland. This article is an open access article distributed under the terms and conditions of the Creative Commons Attribution (CC BY) license (https://creativecommons.org/licenses/by/4.0/).
Share and Cite
Wang, P.; Li, X.; Liu, X. Automated Shear Strength Characterization at Micro Scales Based on a Microrobotic System. Micromachines 2025, 16, 1180. https://doi.org/10.3390/mi16101180
Wang P, Li X, Liu X. Automated Shear Strength Characterization at Micro Scales Based on a Microrobotic System. Micromachines. 2025; 16(10):1180. https://doi.org/10.3390/mi16101180
Chicago/Turabian StyleWang, Panbing, Xintao Li, and Xinyu Liu. 2025. "Automated Shear Strength Characterization at Micro Scales Based on a Microrobotic System" Micromachines 16, no. 10: 1180. https://doi.org/10.3390/mi16101180
APA StyleWang, P., Li, X., & Liu, X. (2025). Automated Shear Strength Characterization at Micro Scales Based on a Microrobotic System. Micromachines, 16(10), 1180. https://doi.org/10.3390/mi16101180

