Toward Thermally Stimuli-Responsive Polymeric Vesicles Fabricated by Block Copolymer Blends for Nanocarriers
Abstract
1. Introduction
2. Materials and Methods
2.1. Materials
2.2. Synthesis of P(EO-AGE) Diblock Copolymers
2.3. Sample Preparation
2.4. Small-Angle Neutron Scattering (SANS) Measurements
2.5. Dynamic Light Scattering (DLS) Measurements
2.6. Transmission Electron Microscopy (TEM) Measurements
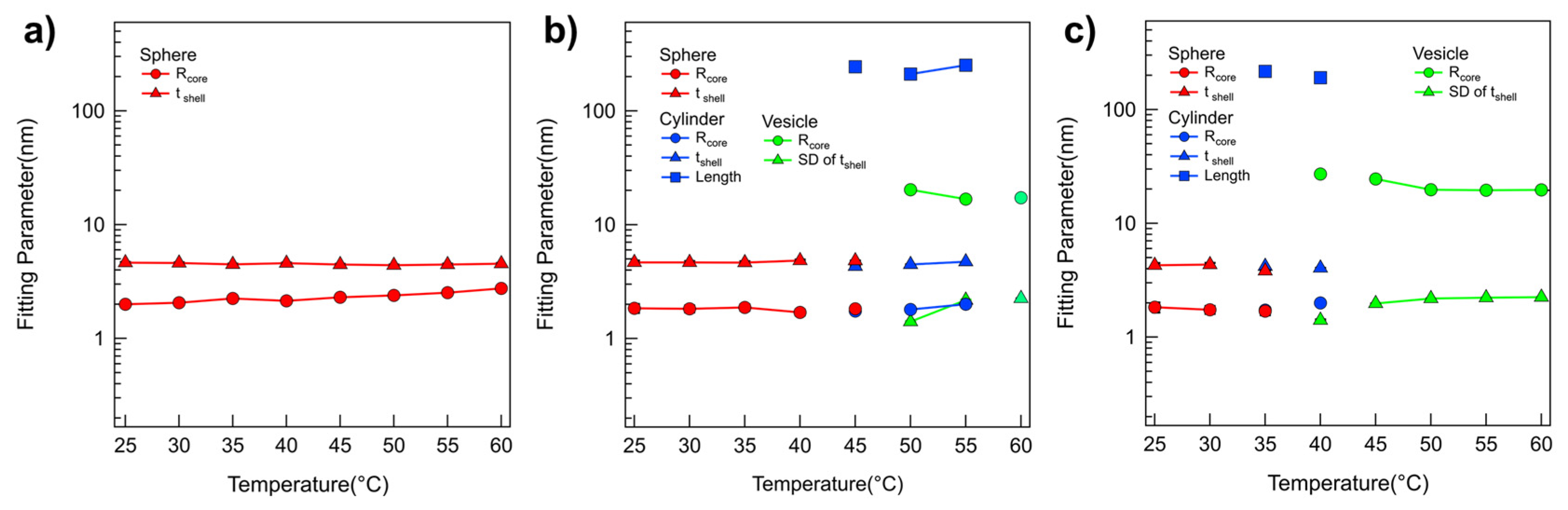
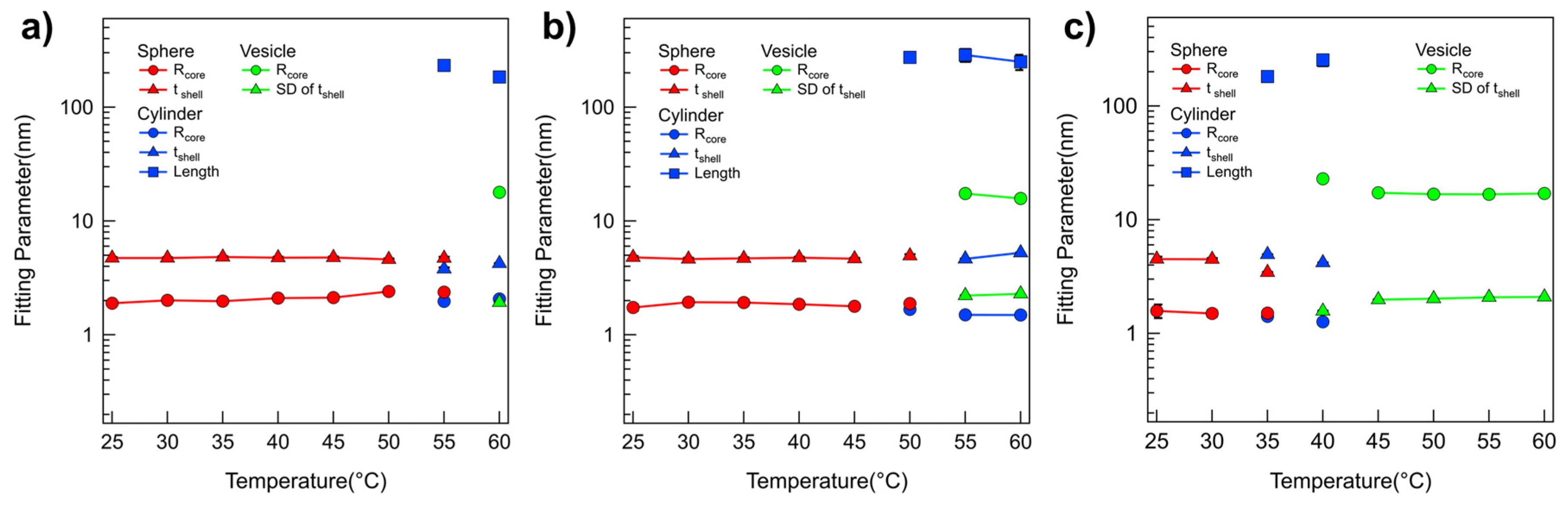
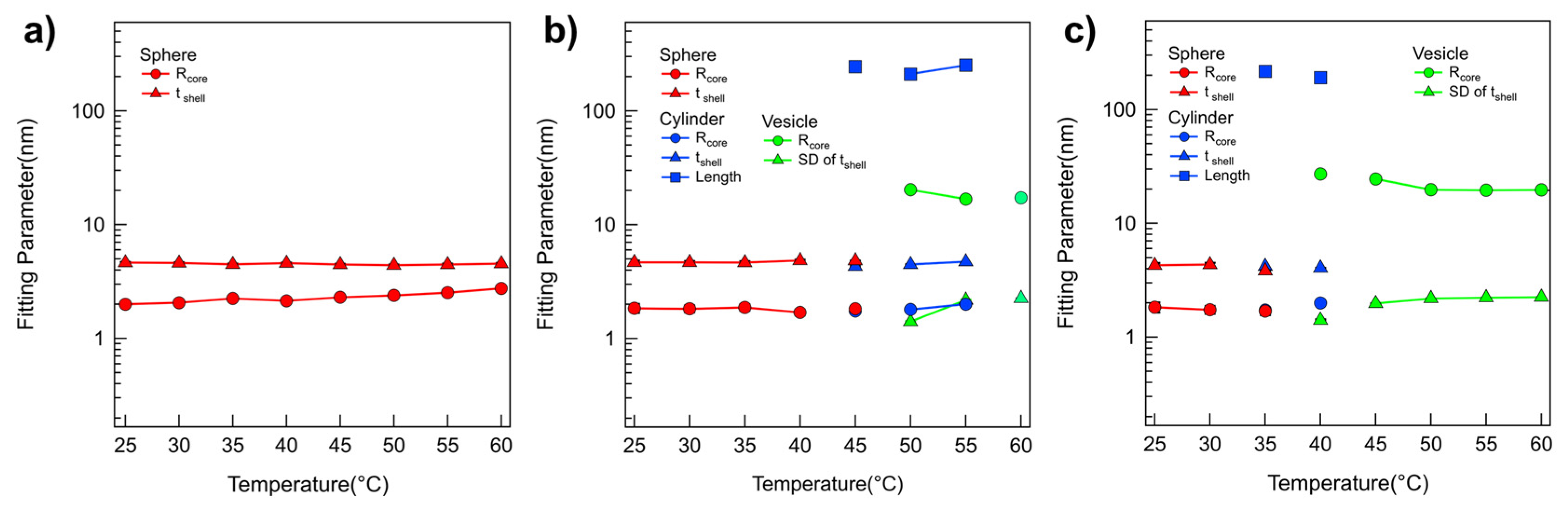
3. Results and Discussion
4. Conclusions
Supplementary Materials
Author Contributions
Funding
Data Availability Statement
Conflicts of Interest
References
- Alexandridis, P.; Lindman, B. Amphiphilic Block Copolymers: Self-Assembly and Applications; Elsevier: Amsterdam, The Netherlands, 2000. [Google Scholar]
- Mai, Y.; Eisenberg, A. Self-Assembly of Block Copolymers. Chem. Soc. Rev. 2012, 41, 5969–5985. [Google Scholar] [CrossRef]
- Bates, F.S.; Fredrickson, G.H. Block Copolymers-Designer Soft Materials. Phys. Today 1999, 52, 32–38. [Google Scholar] [CrossRef]
- Darling, S.B. Directing the Self-Assembly of Block Copolymers. Prog. Polym. Sci. 2007, 32, 1152–1204. [Google Scholar] [CrossRef]
- Blanazs, A.; Armes, S.P.; Ryan, A.J. Self-Assembled Block Copolymer Aggregates: From Micelles to Vesicles and their Biological Applications. Macromol. Rapid Commun. 2009, 30, 267–277. [Google Scholar] [CrossRef] [PubMed]
- Jain, S.; Jain, V.; Mahajan, S.C. Lipid Based Vesicular Drug Delivery Systems. Adv. Pharm. 2014, 2014, 574673. [Google Scholar] [CrossRef]
- Grimaldi, N.; Andrade, F.; Segovia, N.; Ferrer-Tasies, L.; Sala, S.; Veciana, J.; Ventosa, N. Lipid-Based Nanovesicles for Nanomedicine. Chem. Soc. Rev. 2016, 45, 6520–6545. [Google Scholar] [CrossRef]
- Litschel, T.; Schwille, P. Protein Reconstitution Inside Giant Unilamellar Vesicles. Annu. Rev. Biophys. 2021, 50, 525–548. [Google Scholar] [CrossRef]
- Fernandez-Trillo, F.; Grover, L.M.; Stephenson-Brown, A.; Harrison, P.; Mendes, P.M. Vesicles in Nature and the Laboratory: Elucidation of their Biological Properties and Synthesis of Increasingly Complex Synthetic Vesicles. Angew. Chem. Int. Ed. 2017, 56, 3142–3160. [Google Scholar] [CrossRef]
- Hindley, J.W.; Elani, Y.; McGilvery, C.M.; Ali, S.; Bevan, C.L.; Law, R.V.; Ces, O. Light-Triggered Enzymatic Reactions in Nested Vesicle Reactors. Nat. Commun. 2018, 9, 1093. [Google Scholar] [CrossRef]
- Karimi, M.; Sahandi Zangabad, P.; Ghasemi, A.; Amiri, M.; Bahrami, M.; Malekzad, H.; Ghahramanzadeh Asl, H.; Mahdieh, Z.; Bozorgomid, M.; Ghasemi, A.; et al. Temperature-responsive smart nanocarriers for delivery of therapeutic agents: Applications and recent advances. ACS Appl. Mater. Interfaces 2016, 8, 21107–21133. [Google Scholar] [CrossRef]
- Ahmed, F.; Pakunlu, R.I.; Brannan, A.; Bates, F.; Minko, T.; Discher, D.E. Biodegradable polymersomes loaded with both paclitaxel and doxorubicin permeate and shrink tumors, inducing apoptosis in proportion to accumulated drug. J. Control. Release 2006, 116, 150–158. [Google Scholar] [CrossRef]
- Tanner, P.; Baumann, P.; Enea, R.; Onaca, O.; Palivan, C.; Meier, W. Polymeric vesicles: From drug carriers to nanoreactors and artificial organelles. Acc. Chem. Res. 2011, 44, 1039–1049. [Google Scholar] [CrossRef] [PubMed]
- Hood, E.; Simone, E.; Wattamwar, P.; Dziubla, T.; Muzykantov, V. Nanocarriers for vascular delivery of antioxidants. Nanomedicine 2011, 6, 1257–1272. [Google Scholar] [CrossRef] [PubMed]
- Costa, R.; Santos, L. Delivery systems for cosmetics-From manufacturing to the skin of natural antioxidants. Powder Technol. 2017, 322, 402–416. [Google Scholar] [CrossRef]
- Wang, X.; Zhu, X.; Zhou, L.; Qi, D.; Hua, Z.; Chen, T. Thermo-responsive polymer-based catalytic nanoreactors for controllable catalysis of selective oxidation of alcohols in water. Polym. Chem. 2023, 14, 4643–4651. [Google Scholar] [CrossRef]
- Zhang, Z.; Fan, Z.; Du, J. Polymer vesicles as nanoreactors for biomedical applications. Precis. Med. Eng. 2024, 1, 100004. [Google Scholar] [CrossRef]
- Liu, Q.; Chen, S.; Chen, J.; Du, J. An asymmetrical polymer vesicle strategy for significantly improving T1 MRI sensitivity and cancer-targeted drug delivery. Macromolecules 2015, 48, 739–749. [Google Scholar] [CrossRef]
- Zhou, X.; Yan, N.; Cornel, E.J.; Cai, H.; Xue, S.; Xi, H.; Fan, Z.; He, S.; Du, J. Bone-targeting polymer vesicles for simultaneous imaging and effective malignant bone tumor treatment. Biomaterials 2021, 269, 120345. [Google Scholar] [CrossRef]
- Tanford, C. The Hydrophobic Effect: Formation of Micelles and Biological Membranes, 2nd ed.; Wiley: New York, NY, USA, 1980. [Google Scholar]
- Tanford, C. Interfacial Free Energy and the Hydrophobic Effect. Proc. Natl. Acad. Sci. USA 1979, 76, 4175–4176. [Google Scholar] [CrossRef]
- Israelachvili, J.N. Intermolecular and Surface Forces, 3rd ed.; Academic Press: New York, NY, USA, 2011. [Google Scholar]
- Zhulina, E.B.; Adam, M.; LaRue, I.; Sheiko, S.S.; Rubinstein, M. Diblock copolymer micelles in a dilute solution. Macromolecules 2005, 38, 5330–5351. [Google Scholar] [CrossRef]
- Anraku, Y.; Kishimura, A.; Oba, M.; Yamasaki, Y.; Kataoka, K. Spontaneous Formation of Nanosized Unilamellar Polyion Complex Vesicles with Tunable Size and Properties. J. Am. Chem. Soc. 2010, 132, 1631–1636. [Google Scholar] [CrossRef] [PubMed]
- Stachowiak, J.C.; Richmond, D.L.; Li, T.H.; Liu, A.P.; Parekh, S.H.; Fletcher, D.A. Unilamellar Vesicle Formation and Encapsulation by Microfluidic Jetting. Proc. Natl. Acad. Sci. USA 2008, 105, 4697–4702. [Google Scholar] [CrossRef] [PubMed]
- Billerit, C.; Wegrzyn, I.; Jeffries, G.D.; Dommersnes, P.; Orwar, O.; Jesorka, A. Heat-Induced Formation of Single Giant Unilamellar Vesicles. Soft Matter 2011, 7, 9751–9757. [Google Scholar] [CrossRef]
- de Freitas, C.F.; Calori, I.R.; Tessaro, A.L.; Caetano, W.; Hioka, N. Rapid Formation of Small Unilamellar Vesicles (SUV) through Low-Frequency Sonication: An Innovative Approach. Colloids Surf. B Biointerfaces 2019, 181, 837–844. [Google Scholar] [CrossRef]
- Kita-Tokarczyk, K.; Grumelard, J.; Haefele, T.; Meier, W. Block Copolymer Vesicles-Using Concepts from Polymer Chemistry to Mimic Biomembranes. Polymer 2005, 46, 3540–3563. [Google Scholar] [CrossRef]
- Battaglia, G.; Ryan, A.J. The Evolution of Vesicles from Bulk Lamellar Gels. Nat. Mater. 2005, 4, 869–876. [Google Scholar] [CrossRef]
- Howse, J.R.; Jones, R.A.; Battaglia, G.; Ducker, R.E.; Leggett, G.J.; Ryan, A.J. Templated Formation of Giant Polymer Vesicles with Controlled Size Distributions. Nat. Mater. 2009, 8, 507–511. [Google Scholar] [CrossRef]
- Huang, C.; Quinn, D.; Sadovsky, Y.; Suresh, S.; Hsia, K.J. Formation and size distribution of self-assembled vesicles. Proc. Natl. Acad. Sci. USA 2017, 114, 2910–2915. [Google Scholar] [CrossRef]
- Keul, H.; Höcker, H. Anionic Ring-Opening Polymerization of Carbonates and Formation of Blockcopolymers. In Integration of Fundamental Polymer Science and Technology—2; Springer: Dordrecht, The Netherlands, 1998; pp. 30–36. [Google Scholar]
- Zhao, J.K.; Gao, C.Y.; Liu, D. The Extended Q-range Small-Angle Neutron Scattering Diffractometer at the SNS. J. Appl. Crystallogr. 2010, 43, 1068–1077. [Google Scholar] [CrossRef]
- Han, Y.-S.; Choi, S.-M.; Kim, T.-H.; Lee, C.-H.; Cho, S.-J.; Seong, B.-S. A New 40 m Small Angle Neutron Scattering Instrument at HANARO, Korea. Nucl. Instrum. Methods Phys. Res. Sect. A 2013, 721, 17–20. [Google Scholar] [CrossRef]
- Arnold, O.; Bilheux, J.C.; Borreguero, J.M.; Buts, A.; Campbell, S.I.; Chapon, L.; Doucet, M.; Draper, N.; Ferraz Leal, R.; Gigg, M.; et al. Mantid-Data Analysis and Visualization Package for Neutron Scattering and μ SR Experiments. Nucl. Instrum. Methods Phys. Res. A 2014, 764, 156–166. [Google Scholar] [CrossRef]
- Mantid, M. Analysis Toolkit for Instrument Data, Mantid Project. Available online: https://doi.org/10.5286/SOFTWARE/MANTID6.13.1 (accessed on 25 August 2025).
- Sundararaman, A.; Stephan, T.; Grubbs, R.B. Reversible Restructuring of Aqueous Block Copolymer Assemblies through Stimulus-Induced Changes in Amphiphilicity. J. Am. Chem. Soc. 2008, 130, 12264–12265. [Google Scholar] [CrossRef] [PubMed]
- Kraemer, E.O.; Dexter, S.T. The Light-Scattering Capacity (Tyndall Effect) and Colloidal Behavior of Gelatine Sols and Gels. J. Phys. Chem. 2002, 31, 764–782. [Google Scholar] [CrossRef]
- Liu, T.; Diemann, E.; Li, H.; Dress, A.W.; Müller, A. Self-Assembly in Aqueous Solution of Wheel-Shaped Mo154 Oxide Clusters into Vesicles. Nature 2003, 426, 59–62. [Google Scholar] [CrossRef]
- Kim, T.H.; Han, Y.S.; Seong, B.S.; Hong, K.P. Thermally Responsive Vesicles Based on a Mixture of Cationic Surfactant and Organic Derivative below the CMC. Soft Matter 2011, 7, 10070–10075. [Google Scholar] [CrossRef]
- Wang, S.P.; Lin, W.; Wang, X.; Cen, T.Y.; Xie, H.; Huang, J.; Zhu, B.Y.; Zhang, Z.; Song, A.; Hao, J.; et al. Controllable Hierarchical Self-Assembly of Porphyrin-Derived Supra-Amphiphiles. Nat. Commun. 2019, 10, 1399. [Google Scholar] [CrossRef]
- Roe, R.-J. Method of X-Ray and Neutron Scattering in Polymer Science; Oxford University Press: New York, NY, USA, 2000. [Google Scholar]
- Higgins, J.S.; BenoÎt, H.C. Polymers and Neutron Scattering; Oxford University Press: New York, NY, USA, 1998. [Google Scholar]
- Hubbard, F.P.; Santonicola, G.; Kaler, E.W.; Abbott, N.L. Small-Angle Neutron Scattering from Mixtures of Sodium Dodecyl Sulfate and a Cationic, Bolaform Surfactant Containing Azobenzene. Langmuir 2005, 21, 6131–6136. [Google Scholar] [CrossRef]
- Davies, T.S.; Ketner, A.M.; Raghavan, S.R. Self-Assembly of Surfactant Vesicles that Transform into Viscoelastic Wormlike Micelles upon Heating. J. Am. Chem. Soc. 2006, 128, 6669–6675. [Google Scholar] [CrossRef]
- D’Errico, G.; Paduano, L.; Khan, A. Temperature and Concentration Effects on Supramolecular Aggregation and Phase Behavior for Poly(Propylene Cxide)-b-Poly(Ethylene Oxide)-b-Poly(Propylene Oxide) Copolymers of Different Composition in Aqueous Mixtures, 1. J. Colloid Interface Sci. 2004, 279, 379–390. [Google Scholar] [CrossRef]
- Ashbaugh, H.S.; Paulaitis, M.E. Monomer Hydrophobicity as a Mechanism for the LCST Behavior of Poly(Ethylene Oxide) in Water. Ind. Eng. Chem. Res. 2006, 45, 5531–5537. [Google Scholar] [CrossRef]
- Kline, S.R. Reduction and Analysis of SANS and USANS Data Using IGOR Pro. J. Appl. Crystallogr. 2006, 39, 895–900. [Google Scholar] [CrossRef]
- Bartlett, P.; Ottewill, R.H. A Neutron Scattering Study of the Structure of a Bimodal Colloidal Crystal. J. Chem. Phys. 1992, 96, 3306–3318. [Google Scholar] [CrossRef]
- Guinier, A.; Fournet, G.; Walker, C.B.; Yudowitch, K.L. Small-Angle Scattering of X-Rays; Wiley: New York, NY, USA, 1955. [Google Scholar]
- Gradzielski, M.; Langevin, D.; Magid, L.; Strey, R. Small-Angle Neutron Scattering from Diffuse Interfaces. 2. Polydisperse Shells in Water-n-Alkane-C10E4 Microemulsions. J. Phys. Chem. 1995, 99, 13232–13238. [Google Scholar] [CrossRef]
- Zhou, Z.; Chu, B. Light-Scattering Study on the Association Behavior of Triblock Polymers of Ethylene Oxide and Propylene Oxide in Aqueous Solution. J. Colloid Interface Sci. 1988, 126, 171–180. [Google Scholar] [CrossRef]
- Schulz, G.V. Uber Die Kinetik Der Kettenpolymerisationen. Z. Phys. Chem. 1939, 43B, 25–46. [Google Scholar]







Disclaimer/Publisher’s Note: The statements, opinions and data contained in all publications are solely those of the individual author(s) and contributor(s) and not of MDPI and/or the editor(s). MDPI and/or the editor(s) disclaim responsibility for any injury to people or property resulting from any ideas, methods, instructions or products referred to in the content. |
© 2025 by the authors. Licensee MDPI, Basel, Switzerland. This article is an open access article distributed under the terms and conditions of the Creative Commons Attribution (CC BY) license (https://creativecommons.org/licenses/by/4.0/).
Share and Cite
Lee, J.-K.; Heo, S.-B.; Jang, J.D.; Yang, D.C.; Yoon, D.-H.; Do, C.; Kim, T.-H. Toward Thermally Stimuli-Responsive Polymeric Vesicles Fabricated by Block Copolymer Blends for Nanocarriers. Micromachines 2025, 16, 1131. https://doi.org/10.3390/mi16101131
Lee J-K, Heo S-B, Jang JD, Yang DC, Yoon D-H, Do C, Kim T-H. Toward Thermally Stimuli-Responsive Polymeric Vesicles Fabricated by Block Copolymer Blends for Nanocarriers. Micromachines. 2025; 16(10):1131. https://doi.org/10.3390/mi16101131
Chicago/Turabian StyleLee, Jun-Ki, Seung-Bum Heo, Jong Dae Jang, Dong Chul Yang, Dae-Hee Yoon, Changwoo Do, and Tae-Hwan Kim. 2025. "Toward Thermally Stimuli-Responsive Polymeric Vesicles Fabricated by Block Copolymer Blends for Nanocarriers" Micromachines 16, no. 10: 1131. https://doi.org/10.3390/mi16101131
APA StyleLee, J.-K., Heo, S.-B., Jang, J. D., Yang, D. C., Yoon, D.-H., Do, C., & Kim, T.-H. (2025). Toward Thermally Stimuli-Responsive Polymeric Vesicles Fabricated by Block Copolymer Blends for Nanocarriers. Micromachines, 16(10), 1131. https://doi.org/10.3390/mi16101131

