Temperature Control of Quartz-Glass Melting Areas in Laser Additive Manufacturing
Abstract
1. Introduction
2. Materials and Methods
2.1. Experimental Setup
2.2. Control Design
3. Results and Discussion
3.1. Single-Channel, Single-Layer Experiment
3.1.1. Open-Loop Experiment
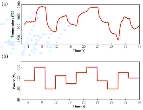
3.1.2. Temperature Closed-Loop Experiment
3.2. Single-Layer Multi-Channel Experiment
3.2.1. Macroscopic Morphology
3.2.2. Microstructure
4. Conclusions
Author Contributions
Funding
Data Availability Statement
Conflicts of Interest
References
- von Witzendorff, P.; Pohl, L.; Suttmann, O.; Heinrich, P.; Heinrich, A.; Zander, J.; Bragard, H.; Kaierle, S. Additive manufacturing of glass: CO2 Laser glass deposition printing. Procedia CIRP 2018, 74, 272–275. [Google Scholar] [CrossRef]
- Xin, C.; Li, Z.; Hao, L.; Li, Y. A comprehensive review on additive manufacturing of glass: Recent progress and future outlook. Mater. Design 2023, 227, 111736. [Google Scholar] [CrossRef]
- Luo, J.; Pan, H.; Kinzel, E.C. Additive Manufacturing of Glass. ASME J. Manuf. Sci. Eng. 2014, 136, 061024. [Google Scholar] [CrossRef]
- Luo, J.; Gilbert, L.J.; Bristow, D.A.; Landers, R.G.; Kinzel, E.C. Additive manufacturing of glass for optical applications. Laser 3D Manuf. SPIE. 2016, 9738, 123–131. [Google Scholar] [CrossRef]
- Grabe, T.; Lammers, M.; Wang, S.; Wang, X.; Rettschlag, K.; Sleiman, K.; Barroi, A.; Biermann, T.; Ziebehl, A.; Röttger, J.; et al. Additive manufacturing of fused silica using coaxial laser glass deposition: Experiment, simulation, and discussion. In Proceedings of the SPIE LASE, Online, 8 March 2021. [Google Scholar] [CrossRef]
- Lang, M.; Ruan, X.L.; He, C.; Chen, Z.Q.; Xu, T.; Zhang, H.B.; Cheng, Y.T. Efficient fabrication of quartz glass using laser coaxial powder-fed additive manufacturing approach. 3D Print. Addit. Manuf. 2024, 11, 655–665. [Google Scholar] [CrossRef] [PubMed]
- Kulkarni, M.B.; Vyas, R. A role of integrated microheaters in a microfluidics based point-of-care-testing and beyond for healthcare applications. Appl. Mater. Today 2024, 38, 102225. [Google Scholar] [CrossRef]
- Grigoriev, S.N.; Khmyrov, R.S.; Gridnev, M.A.; Tarasova, T.V.; Gusarov, A.V. Optimizing the process parameters for additive manufacturing of glass components by selective laser melting: Soda-lime glass versus quartz glass. J. Manuf. Sci. Eng. 2022, 144, 064503. [Google Scholar] [CrossRef]
- Segerstark, A.; Andersson, J.; Svensson, L.E. Evaluation of a temperature measurement method developed for laser metal deposition. Sci. Technol. Weld. Join. 2017, 22, 1–6. [Google Scholar] [CrossRef]
- Farshidianfar, M.H.; Khajepour, A.; Gerlich, A. Real-time control of microstructure in laser additive manufacturing. Int. J. Adv. Manuf. Technol. 2016, 82, 1173–1186. [Google Scholar] [CrossRef]
- Renken, V.; von Freyberg, A.; Schünemann, K.; Pastors, F.; Fischer, A. In-process closed-loop control for stabilising the melt pool temperature in selective laser melting. Prog. Addit. Manuf. 2019, 4, 1. [Google Scholar] [CrossRef]
- Rezaeifar, H.; Elbestawi, M.A. On-line melt pool temperature control in L-PBF additive manufacturing. Int. J. Adv. Manuf. Technol. 2021, 112, 9–10. [Google Scholar] [CrossRef]
- Devesse, W.; De Baere, D.; Hinderdael, M.; Guillaume, P. Model-based temperature feedback control of laser cladding using high resolution hyperspectral imaging. IEEE-ASME T. Mech. 2017, 22, 2714–2722. [Google Scholar] [CrossRef]
- Wang, Q.; Li, J.; Gouge, M.; Nassar, A.R.; Reutzel, E.W. Reduced-order multivariable modeling and nonlinear control of melt-pool geometry and temperature in directed energy deposition. In Proceedings of the 2016 American Control Conference (ACC), Boston, MA, USA, 6–8 July 2016. [Google Scholar] [CrossRef]
- Lv, Z.; Zhang, X.; Chen, J.; Lang, M.; Liu, H.; Cheng, Y. Additive manufacturing of quartz glass using coaxial wire feeding technology. Opt. Laser Technol. 2025, 181, 111671. [Google Scholar] [CrossRef]
- Ringdalen, E.; Tangstad, M. Softening and Melting of SiO2, an Important Parameter for Reactions with Quartz in Si Production. In Proceedings of the 10th International Conference on Molten Slags, Fluxes and Salts 2016, Seattle, WA, USA, 22–25 May 2016. [Google Scholar] [CrossRef]
- Doualle, T.; Gallais, L.; Cormont, P.; Hebert, D.; Combis, P.; Rullier, J.L. Thermo-mechanical simulations of CO2 laser–fused silica interactions. J. Appl. Phys. 2016, 119, 113106. [Google Scholar] [CrossRef]
- Sova, R.M.; Linevsky, M.J.; Thomas, M.E.; Mark, F.F. High-temperature infrared properties of sapphire, AION, fused silica, yttria, and spinel. Infrared Phys. Technol. 1998, 39, 251–261. [Google Scholar] [CrossRef]
- Mironov, R.A.; Zabezhailov, M.O.; Rusin, M.Y.; Cherepanov, V.V.; Borodai, S.P. Numerical and experimental determination of the temperature dependence of the spectral and integral emissivities of quartz ceramics of various porosity. High Temp. 2016, 54, 682–689. [Google Scholar] [CrossRef]
- Lijun, S.; Mazumder, J. Feedback control of melt pool temperature during laser cladding process. IEEE Trans. Control Syst. Technol. 2011, 19, 1349–1356. [Google Scholar] [CrossRef]
- Song, L.; Bagavath-Singh, V.; Dutta, B.; Mazumder, J. Control of melt pool temperature and deposition height during direct metal deposition process. Int. J. Adv. Manuf. Technol. 2012, 581, 247–256. [Google Scholar] [CrossRef]
- Salehi, D.; Brandt, M. Melt pool temperature control using LabVIEW in Nd: YAG laser blown powder cladding process. Int. J. Adv. Manuf. Technol. 2006, 29, 273–278. [Google Scholar] [CrossRef]
- Devesse, W.; De Baere, D.; Guillaume, P. Design of a model-based controller with temperature feedback for laser cladding. Phys. Procedia 2014, 56, 211–219. [Google Scholar] [CrossRef]









| Process Parameters | Numeric |
|---|---|
| Laser power | 100–150 W |
| Wire feeding speed | 5 mm/s |
| Platform moving speed | 1 mm/s |
| Defocus | 0 |
Disclaimer/Publisher’s Note: The statements, opinions and data contained in all publications are solely those of the individual author(s) and contributor(s) and not of MDPI and/or the editor(s). MDPI and/or the editor(s) disclaim responsibility for any injury to people or property resulting from any ideas, methods, instructions or products referred to in the content. |
© 2024 by the authors. Licensee MDPI, Basel, Switzerland. This article is an open access article distributed under the terms and conditions of the Creative Commons Attribution (CC BY) license (https://creativecommons.org/licenses/by/4.0/).
Share and Cite
Chen, J.; Lv, Z.; Zhang, X.; Xu, T.; Cheng, Y. Temperature Control of Quartz-Glass Melting Areas in Laser Additive Manufacturing. Micromachines 2025, 16, 29. https://doi.org/10.3390/mi16010029
Chen J, Lv Z, Zhang X, Xu T, Cheng Y. Temperature Control of Quartz-Glass Melting Areas in Laser Additive Manufacturing. Micromachines. 2025; 16(1):29. https://doi.org/10.3390/mi16010029
Chicago/Turabian StyleChen, Jing, Zeping Lv, Xuanjia Zhang, Tao Xu, and Yuntao Cheng. 2025. "Temperature Control of Quartz-Glass Melting Areas in Laser Additive Manufacturing" Micromachines 16, no. 1: 29. https://doi.org/10.3390/mi16010029
APA StyleChen, J., Lv, Z., Zhang, X., Xu, T., & Cheng, Y. (2025). Temperature Control of Quartz-Glass Melting Areas in Laser Additive Manufacturing. Micromachines, 16(1), 29. https://doi.org/10.3390/mi16010029

