Microstructure and Mechanical Properties of Laser Direct Energy Deposited Martensitic Stainless Steel 410
Abstract
1. Introduction
2. Materials and Methods
2.1. Materials and Additive Manufacturing
- 1st Group: explored 12 conditions combining 4 different laser powers (K350, K400, K450, K500, respectively) and 3 different powder feed rates (Q7, Q8, Q9).
- 2nd Group: 12 conditions were investigated again by re-conditioning 3 different powder feed rates (Q4, Q5, Q6) targeting cube height of 5 mm.
- 3rd Group: explored only powder feed rates (Q5, Q6) precisely.
- 4th Group: deposited the cube height of 5 mm again.
- 5th Group: set and deposited the cube target height of 15 mm and investigated the validity of the optimal conditions.
2.2. Post-Heat Treatment
2.3. Characterization of As-Built and Post-Heat Treatment Samples
3. Results and Discussion
3.1. Phase Analysis
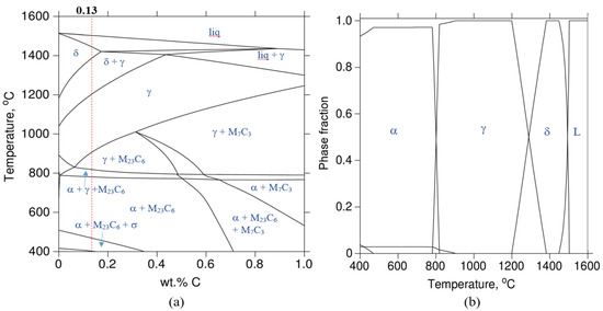
3.1.1. Phase Equilibrium
3.1.2. X-ray Diffraction Analysis
3.2. Microstructural Investigation
3.2.1. SEM-EDS Analysis
3.2.2. EBSD Analysis
3.3. Mechanical Property Characterization
3.3.1. Hardness Test
3.3.2. Tensile Test
4. Conclusions
- (a)
- The three major martensite peaks with a BCC structure (110), (200), and (210) were observed in all of the samples of as-built, QT-250, QT-600, and QT-750.
- (b)
- Some residual stresses and retained austenite were observed in the samples of as-built and QT-250 by X-ray diffraction analysis and EBSD.
- (c)
- The lath martensite microstructures decomposed after a tempering treatment of 600 °C and the tempered martensite grew coarser. In addition, most carbides aggregated and precipitated in the vicinities of the prior austenite grain boundaries and lath boundaries.
- (d)
- The contents of carbon and chromium increased as the tempering temperature increased, which is more favorable to form the carbide of Cr23C6, rather than that of Fe2C.
- (e)
- The decrease in the amount of retained austenite results from carbide formation, which occurs when the supersaturated carbon within the martensite diffuses out to form carbides during the tempering treatment.
- (f)
- The anisotropies of the Vickers hardness between parallel- and vertical-to-the deposition were observed in the samples of as-built and QT-250. These anisotropies are considerably attributed to microstructural anisotropies.
- (g)
- The fine grains and residual stresses caused by rapid solidification during additive manufacturing lead to an increase in tensile strength in the as-built sample compared to the different post-heat treatments.
Author Contributions
Funding
Data Availability Statement
Conflicts of Interest
References
- Vafadar, A.; Guzzomi, F.; Rassau, A. Advances in Metal Additive Manufacturing: A Review of Common Processes, Industrial Applications, and Current Challenges. Appl. Sci. 2021, 11, 1213. [Google Scholar] [CrossRef]
- Saberi, S.; Mohd Yusu, R.; Zulkifli, N.; Megat Ahma, M. Effective factors on advanced manufacturing technology implementation performance: A review. J. Appl. Sci. 2010, 10, 1229–1242. [Google Scholar] [CrossRef]
- Citarella, R.; Giannella, V. Additive Manufacturing in Industry. Appl. Sci. 2021, 11, 840. [Google Scholar] [CrossRef]
- Tofail, S.A.M.; Koumoulos, E.P.; Bandyopdhyay, A.; Bose, S.; O’Donoghue, L.; Charitidis, C. Additive Manufacturing: Scientific and Technological Challenges, Market Uptake and Opportunities. Mater. Today 2018, 21, 22–37. [Google Scholar] [CrossRef]
- Tsuchiyama, T.; Tobata, J.; Tao, T.; Nakata, N.; Takaki, S. Quenching and partitioning treatment of a low-carbon martenitic stainless steel. Mater. Sci. Eng. A 2012, 352, 585–592. [Google Scholar] [CrossRef]
- Irvine, K.J.; Crowe, D.J.; Pickering, F.B. Metallurgical Evolution of Stainless Steels; American Society for Metals: Detroit, MI, USA, 1979; pp. 43–62. [Google Scholar]
- Zhang, H.; Wei, Z.; Xie, F.; Sun, B. Assessment of the Properties of AISI 410 Martensitic Stainless Steel by an Eddy Current Method. Materials 2019, 12, 1290. [Google Scholar] [CrossRef] [PubMed]
- Ramirez, J.A.R.; Mirafuentes, C.M.C.; Garibay, M.A.Z.; Castrejόn, J.G.C.; Anaya, L.G.G. Corrosion Fatiguue Analysis in Power Steam Turbine Blade. Metals 2023, 13, 544. [Google Scholar] [CrossRef]
- Fathyunes, L.; Mohtadi-Bonab, M.A. A Review on the Corrosion and Fatigue Failure of Gas Turbines. Metals 2023, 13, 701. [Google Scholar] [CrossRef]
- Chakraborty, G.; Das, C.R.; Albert, S.K.; Bhaduri, A.K.; Thomas Paul, V.; Panneerselvam, G.; Dasgupta, A. Study on tempering behavior of SISI 410 stainless steel. Mater. Char. 2015, 100, 81–87. [Google Scholar] [CrossRef]
- Bonagani, S.K.; Vishwanadh, B.; Tenneti, S.; Naveen, K.N.; Vivekanand, K. Influence of tempering treatments on mechanical properties and hydrogen embrittlement of 13 wt% Cr martensitic stainless steel. Inter. J. Pre. Ves. Pip. 2019, 176, 103969. [Google Scholar] [CrossRef]
- Godbole, K.; Das, C.R.; Joardar, J.; Albert, S.K.; Ramji, M.; Panigrahi, B.B. Toughening of AISI 410 Stainless Steel Through Quenching and Partitioning and Effect of Prolonged Aging on Microstructure and Mechanical Properties. Metall. Mater. Tran. 2020, 15A, 3377. [Google Scholar] [CrossRef]
- Luo, G.; Li, H.; Li, Y.; Mo, J. Microstructures and Properties of a Low-Carbon-Chromium Ferritic Stainless Steel Treated by a Quenching and Partitioning. Materials 2019, 12, 1704. [Google Scholar] [CrossRef]
- Deng, B.; Yang, D.; Wang, G.; Hou, Z.; Yi, H. Effects of Austenitizing Temperature on Tensile and Impact Properties of a Martensitic Stainless Steel Containing Metastable Retained Austenite. Materials 2021, 14, 1000. [Google Scholar] [CrossRef] [PubMed]
- Jiang, W.; Wu, D.; Zhang, Q.; Li, M.; Liu, W. Effect of Tempering Time on the Microstructure and Properties of Martensitic Stainless steel. Metals 2024, 14, 322. [Google Scholar] [CrossRef]
- Mirzaeee, M.; Momeni, A.; Keshmiri, H. Effect of quenching and tempering on microstructure and mechanical properties of 410 and 410 Ni martensitic stainless steels. J. Mater. Res. 2017, 32, 687–696. [Google Scholar] [CrossRef]
- Dalmau, A.; Richard, C.; Igual-Munoz, A. Degradation mechanism in martensitic stainless steel: Wear, corrosion and tribocorrosion appraisal. Trib. Int. 2018, 121, 167–179. [Google Scholar] [CrossRef]
- Hosseini, S.A.; Gheisari, K.; Moshayedi, H.; Warchomicka, F.; Enzinger, N. Basic alloy development of low-transformation-temperature fillers for AISI 410 martensitic stainless steel. Sci. Technol. Weld. Join. 2020, 25, 243–250. [Google Scholar] [CrossRef]
- Lee, H.-T.; Liu, F.-M.; Hou, W.-H. Application and Characteristics of Low-Carbon Martensite Stainless Steels on Turbine Blades. Mater. Trans. 2015, 56, 563–569. [Google Scholar] [CrossRef]
- Sousa, J.M.; Pereira, M.; Cruz, J.R.; Jứnior, A.T.; Ferreira, H.S.; Gutjahr, J. Influence of post-processing heat-treatment on the mechanical performance of AISI 410L stainless steel manufactured by the L-DED process. J. Laser Appl. 2023, 35, 42056. [Google Scholar] [CrossRef]
- Roy, S.; Shassere, B.; Yoder, J.; Nycz, A.; Noakes, M.; Narayanan, B.K.; Meyer, L.; Paul, J.; Sridharan, N. Mitigating Scatter in Mechanical Properties in AISI 410 Fabricated via Arc-Based Additive Manufacturing. Materials 2020, 13, 4885. [Google Scholar] [CrossRef]
- Zhu, B.; Lin, J.; Lei, Y.; Sun, Q.; Cheng, S. Additively manufactured δ-ferrite-free 410 stainless steel with desirable performance. Mater. Lett. 2021, 293, 129579. [Google Scholar] [CrossRef]
- Nezhadfar, P.D.; Gradl, P.R.; Shao, S.; Shamsaei, N. A Comparative Study on the Microstructure and Texture Evolution of L-PBF and LP-DED 17-4 PH Stainless Steel during Heat Treatment. In Solid Freeform Fabrication 2021, Proceedings of the 32nd Annual International Solid Freeform Fabrication Symposium–An Additive Manufacturing Conference, Virtual, 2–4 August 2021; University of Texas at Austin: Austin, TX, USA, 2021; pp. 902–914. [Google Scholar]
- Lu, S.-Y.; Yao, K.-F.; Chen, Y.-B.; Wang, M.-H.; Shao, Y.; Ge, X.-Y. Effects of austenitizing temperature on the microstructure and electrochemical behavior of a martensite stainless steel. J. Appl. Electrochem. 2015, 45, 375–383. [Google Scholar] [CrossRef]
- Ning, J.; Zhang, H.-B.; Chen, S.-M.; Zhang, L.-J.; Na, S.J. Intensive laser repair through additive manufacturing of high-strength martensitic stainless steel powders (I) –powder preparation, laser cladding and microstructures and properties of laser-cladded metals. J. Mater. Res. Technol. 2021, 15, 5746–5761. [Google Scholar] [CrossRef]
- Farshidianfar, M.H.; Khajepour, A.; Gerlich, A.P. Effect of real-time cooling rate on microstructure in laser additive manufacturing. J. Mater. Process. Technol. 2016, 231, 468–478. [Google Scholar] [CrossRef]
- Farshidianfar, M.H.; Khodabakhshi, F.; Khajepour, A.; Gerlich, A.P. closed-loop control of microstructure and mechanical properties in additive manufacturing by directed energy deposition. Mater. Sci. Eng. A 2021, 803, 140483. [Google Scholar] [CrossRef]
- Godbole, K.; Panigrahi, B.B.; Das, C. Tailoring of Mechanical Properties of AISI 410 Martensitic Stainless Steel through Tempering. In Proceedings of the 31st International Conference on Metallurgy and Materials METAL 2022, Brno, Czech Republic, 24–26 May 2022; pp. 707–710. [Google Scholar]












| C | Si | Mn | P | S | Ni | Cr | Fe | |
|---|---|---|---|---|---|---|---|---|
| AISI 410 | 0.08–0.15 | max. 1 | max. 1 | max. 0.04 | max. 0.015 | max. 0.6 | 11.5–13.5 | Bal. |
| Powder | 0.15 | 1 | 1 | 0.04 | 0.03 | 0.5 | 12 | Bal. |
| Deposition | 0.13 | 0.31 | 0.59 | 0.027 | 0.007 | 0.43 | 12.1 | Bal. |
| Process | Parameter | Value |
|---|---|---|
| LP-DED | Laser power (W) | 600 |
| Scanning speed (mm/min) | 1000 | |
| Powder feed rate (g/min) | 18.7 | |
| Hatch distance (mm) | 0.5 | |
| Layer thickness (mm) | 0.3 |
| Yield Strength (MPa) | Ultimate Strength (MPa) | Elongation (%) | Reduction (%) | |
|---|---|---|---|---|
| As-built | 1109 | 1281 | 19 | 63 |
| QT-250 | 1027 | 1381 | 17 | 60 |
| QT-600 | 780 | 895 | 20 | 68 |
| QT-750 | 542 | 688 | 22 | 52 |
Disclaimer/Publisher’s Note: The statements, opinions and data contained in all publications are solely those of the individual author(s) and contributor(s) and not of MDPI and/or the editor(s). MDPI and/or the editor(s) disclaim responsibility for any injury to people or property resulting from any ideas, methods, instructions or products referred to in the content. |
© 2024 by the authors. Licensee MDPI, Basel, Switzerland. This article is an open access article distributed under the terms and conditions of the Creative Commons Attribution (CC BY) license (https://creativecommons.org/licenses/by/4.0/).
Share and Cite
Kang, H.-K.; Lee, H.; Oh, C.-S.; Yoon, J. Microstructure and Mechanical Properties of Laser Direct Energy Deposited Martensitic Stainless Steel 410. Micromachines 2024, 15, 837. https://doi.org/10.3390/mi15070837
Kang H-K, Lee H, Oh C-S, Yoon J. Microstructure and Mechanical Properties of Laser Direct Energy Deposited Martensitic Stainless Steel 410. Micromachines. 2024; 15(7):837. https://doi.org/10.3390/mi15070837
Chicago/Turabian StyleKang, Hyun-Ki, Hyungsoo Lee, Chang-Seok Oh, and Jongcheon Yoon. 2024. "Microstructure and Mechanical Properties of Laser Direct Energy Deposited Martensitic Stainless Steel 410" Micromachines 15, no. 7: 837. https://doi.org/10.3390/mi15070837
APA StyleKang, H.-K., Lee, H., Oh, C.-S., & Yoon, J. (2024). Microstructure and Mechanical Properties of Laser Direct Energy Deposited Martensitic Stainless Steel 410. Micromachines, 15(7), 837. https://doi.org/10.3390/mi15070837

