Design of High-Gain Antenna Arrays for Terahertz Applications
Abstract
1. Introduction
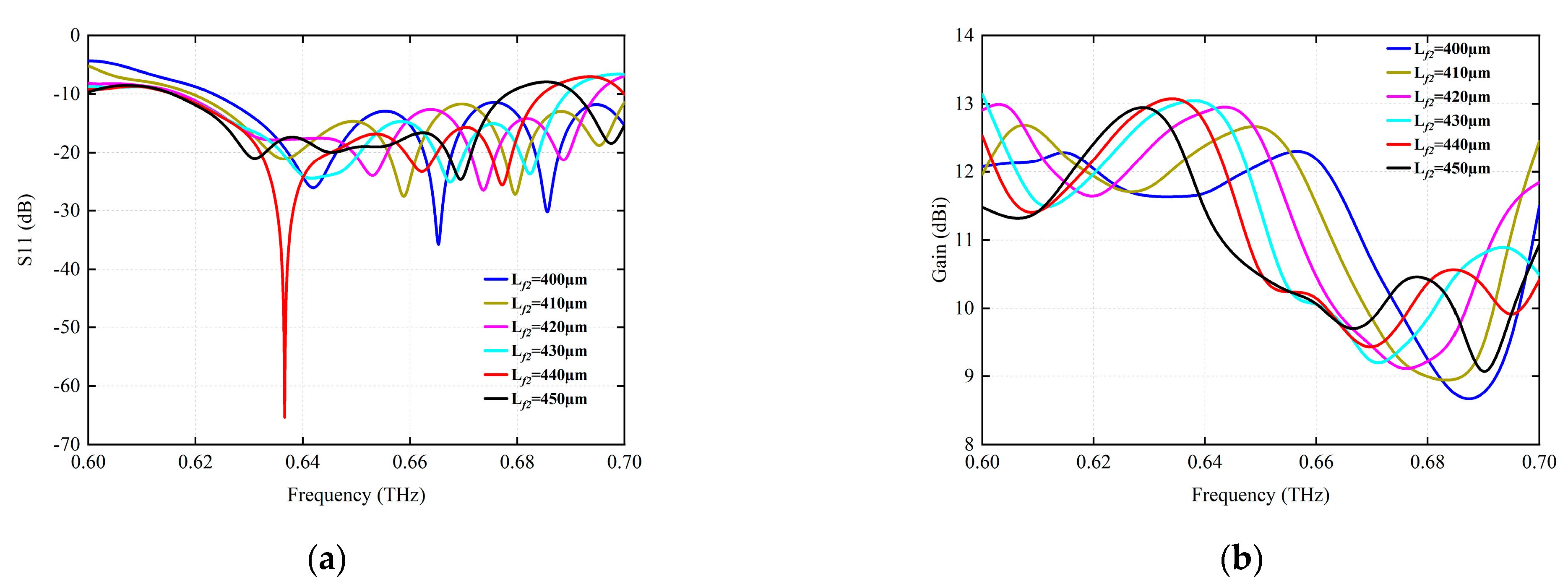
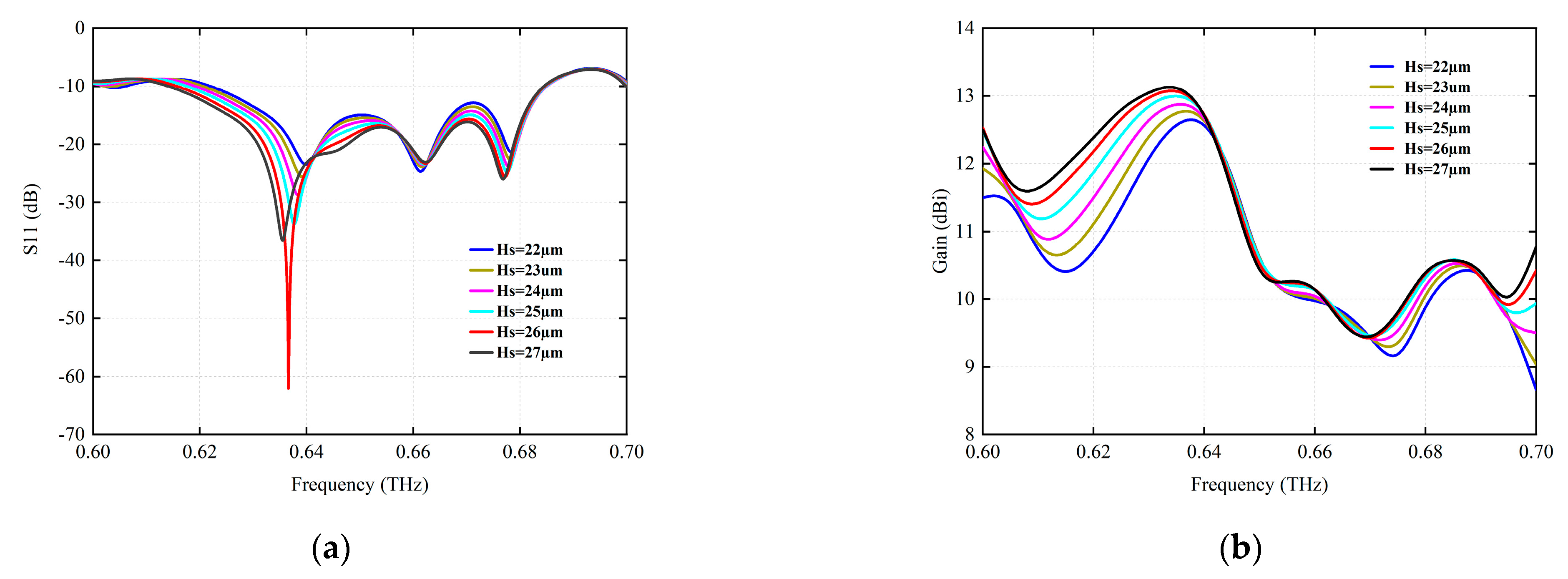
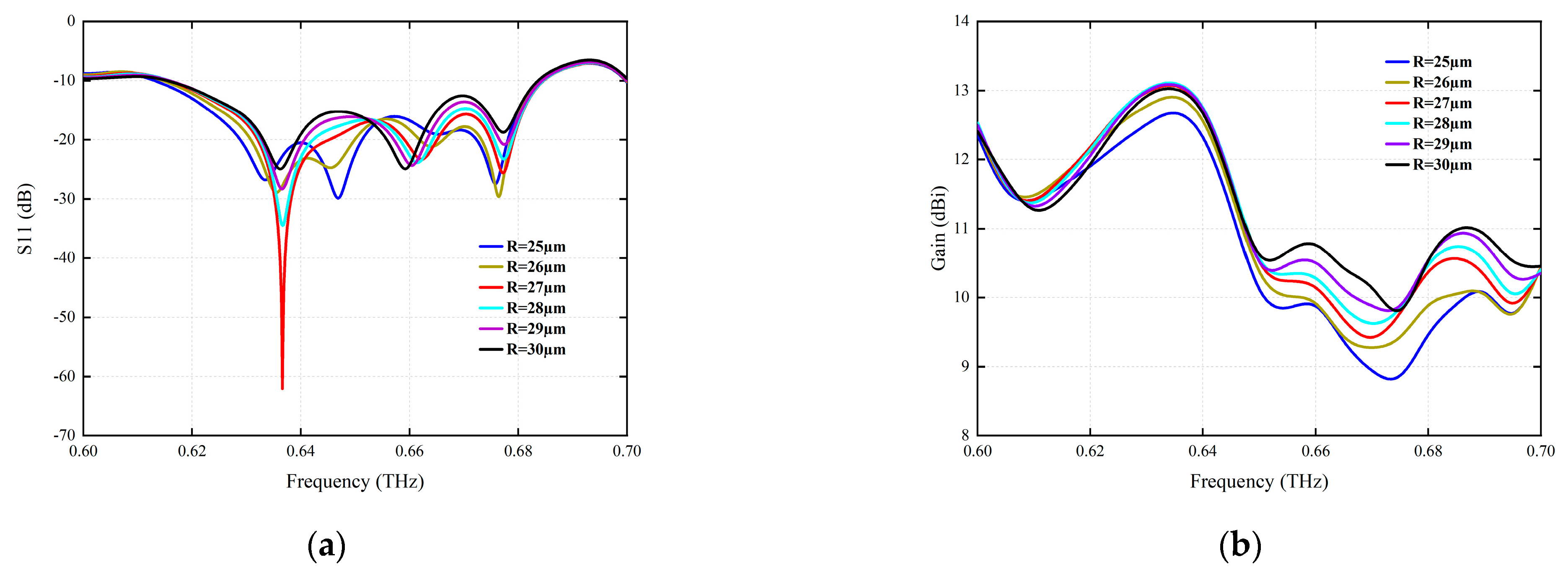
2. Antenna Design
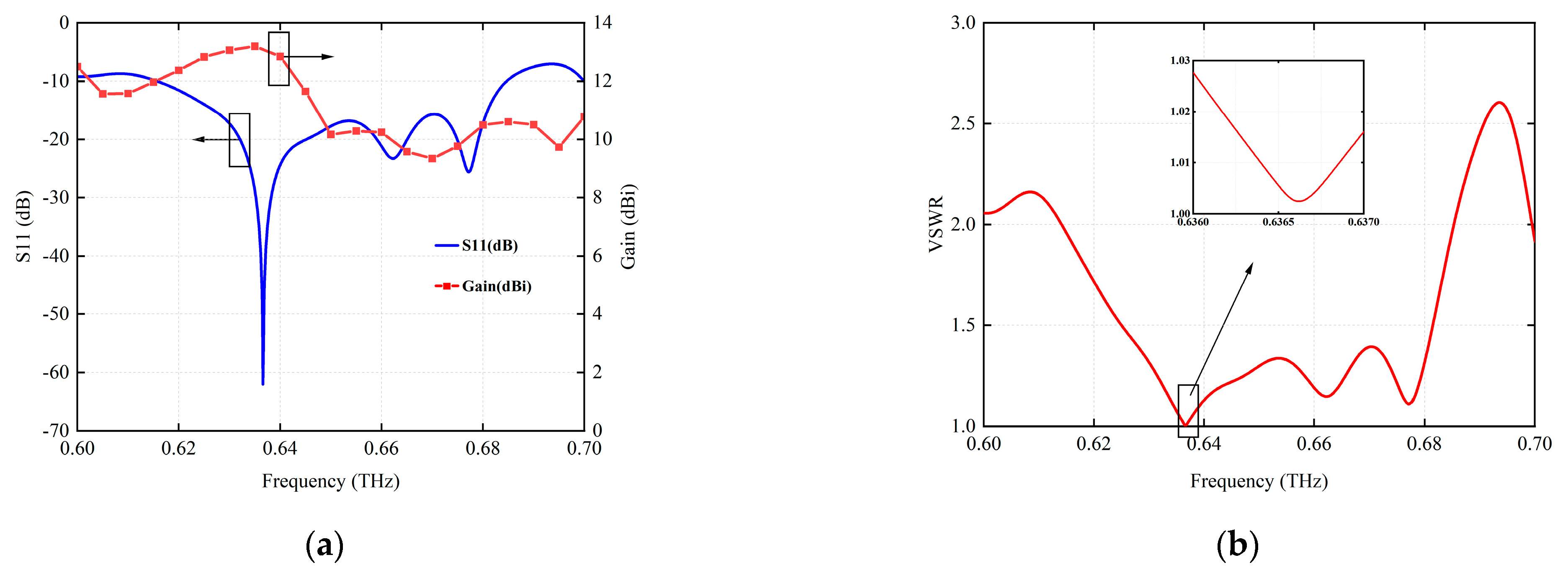
3. Antenna Performance Analysis
4. Conclusions
Author Contributions
Funding
Data Availability Statement
Conflicts of Interest
References
- Shan, Y.; Liang, Y.; Li, C.; Sun, W.; Fang, Z. Review of recent progress on solid-state millimeter-wave and terahertz signal sources. Int. J. Circuit Theory Appl. 2023, 52, 439–472. [Google Scholar] [CrossRef]
- Watanabe, T.; Boubanga-Tombet, S.A.; Tanimoto, Y.; Fateev, D.; Popov, V.; Coquillat, D.; Knap, W.; Meziani, Y.M.; Wang, Y.; Minamide, H.; et al. InP- and GaAs-Based Plasmonic High-Electron-Mobility Transistors for Room-Temperature Ultrahigh-Sensitive Terahertz Sensing and Imaging. IEEE Sens. J. 2013, 13, 89–99. [Google Scholar] [CrossRef]
- Elayan, H.; Amin, O.; Shihada, B.; Shubair, R.M.; Alouini, M.S. Terahertz Band: The Last Piece of RF Spectrum Puzzle for Communication Systems. IEEE Open J. Commun. Soc. 2020, 1, 1–32. [Google Scholar] [CrossRef]
- Xing, Y.; Rappaport, T.S.; Ghosh, A. Millimeter Wave and Sub-THz Indoor Radio Propagation Channel Measurements, Models, and Comparisons in an Office Environment. IEEE Commun. Lett. 2021, 25, 3151–3155. [Google Scholar] [CrossRef]
- Cao, X.-C.; Hao, J.-H.; Zhao, Q.; Zhang, F.; Fan, J.-Q.; Dong, Z.-W. Analysis of High-Frequency Atmospheric Windows for Terahertz Transmission Along Earth-Space Paths. IEEE Trans. Antennas Propag. 2022, 70, 5715–5724. [Google Scholar] [CrossRef]
- Kanaya, H.; Oda, T.; Iizasa, N.; Kato, K. 300 GHz one-sided directional slot array antenna on indium phosphide substrate. In Proceedings of the 2015 International Symposium on Antennas and Propagation (ISAP), Hobart, Tasmania, Australia, 9–12 November 2015; pp. 1–2. [Google Scholar]
- Kushwaha, R.K.; Karuppanan, P.; Malviya, L.D. Design and analysis of novel microstrip patch antenna on photonic crystal in THz. Phys. B-Condens. Matter 2018, 545, 107–112. [Google Scholar] [CrossRef]
- Nurfitri, I.; Apriono, C. Rectangular Linear Array Microstrip Antenna Design for Terahertz Imaging. In Proceedings of the 2019 International Conference on Information and Communications Technology (ICOIACT), Yogyakarta, Indonesia, 24–25 July 2019; pp. 719–722. [Google Scholar]
- Abohmra, A.; Abbas, H.; Al-Hasan, M.; Mabrouk, I.B.; Alomainy, A.; Imran, M.A.; Abbasi, Q.H. Terahertz Antenna Array Based on a Hybrid Perovskite Structure. IEEE Open J. Antennas Propag. 2020, 1, 464–471. [Google Scholar] [CrossRef]
- Hlali, A.; Houaneb, Z.; Zairi, H. Non-Reciprocal Antenna Array Based on Magnetized Graphene for THz Applications Using the Iterative Method. Prog. Electromagn. Res. M 2020, 89, 93–100. [Google Scholar] [CrossRef]
- Lee, C.; Jeong, J. THz CMOS On-Chip Antenna Array Using Defected Ground Structure. Electronics 2020, 9, 1137. [Google Scholar] [CrossRef]
- Alibakhshikenari, M.; Virdee, B.S.; Salekzamankhani, S.; Aissa, S.; See, C.H.; Soin, N.; Fishlock, S.J.; Althuwayb, A.A.; Abd-Alhameed, R.; Huynen, I.; et al. High-isolation antenna array using SIW and realized with a graphene layer for sub-terahertz wireless applications. Sci. Rep. 2021, 11, 10218. [Google Scholar] [CrossRef]
- Sun, P.-L. 420-GHz terahertz SIW slot antenna with quartz superstrates in silicon technology. Optoelectron. Lett. 2020, 16, 25–28. [Google Scholar] [CrossRef]
- Levine, E.; Malamud, G.; Shtrikman, S.; Treves, D. A study of microstrip array antennas with the feed network. IEEE Trans. Antennas Propag. 1989, 37, 426–434. [Google Scholar] [CrossRef]
- Filipovic, D.F.; Gearhart, S.S.; Rebeiz, G.M. Double-slot antennas on extended hemispherical and elliptical silicon dielectric lenses. IEEE Trans. Microw. Theory Tech. 1993, 41, 1738–1749. [Google Scholar] [CrossRef]
- Serhsouh, I.; Himdi, M.; Lebbar, H. Design of Coplanar Slotted SIW Antenna Arrays for Beam-Tilting and 5G Applications. IEEE Antennas Wirel. Propag. Lett. 2020, 19, 4–8. [Google Scholar] [CrossRef]
- Das, B.; Abdullah, M.F.L.; Ahmed, A.A.M.; Shaikh, M.M. Design of Cyclic Prefix Characteristic-Based OFDM System for WiMAX Technology. Wirel. Pers. Commun. 2019, 106, 1931–1950. [Google Scholar] [CrossRef]
- Henry, M.; Free, C.E.; Izqueirdo, B.S.; Batchelor, J.; Young, P. Millimeter Wave Substrate Integrated Waveguide Antennas: Design and Fabrication Analysis. IEEE Trans. Adv. Packag. 2009, 32, 93–100. [Google Scholar] [CrossRef]
- Li, Y.; Hong, W.; Guang, H.; Jixin, C.; Wu, K.; Tie Jun, C. Simulation and experiment on SIW slot array antennas. IEEE Microw. Wirel. Compon. Lett. 2004, 14, 446–448. [Google Scholar] [CrossRef]
- Yunqiang, Y.; Cemin, Z.; Song, L.; Fathy, A.E. Development of an ultra wideband Vivaldi antenna array. In Proceedings of the 2005 IEEE Antennas and Propagation Society International Symposium, Washington, DC, USA, 3–8 July 2005; Volume 601A, pp. 606–609. [Google Scholar]
- Sun, G.-H.; Wong, H. A Planar Millimeter-Wave Antenna Array with a Pillbox-Distributed Network. IEEE Trans. Antennas Propag. 2020, 68, 3664–3672. [Google Scholar] [CrossRef]
- Iqbal, A.; Ahmad, A.W.; Smida, A.; Mallat, N.K. Tunable SIW Bandpass Filters with Improved Upper Stopband Performance. IEEE Trans. Circuits Syst. II Express Briefs 2020, 67, 1194–1198. [Google Scholar] [CrossRef]
- Namgung, G.g.; Lee, C.; Park, H.; Seo, Y.; Kahng, S.; Lim, D. Design of Wideband SIW Beamforming Circularly Polarized Antennas for 5G-band. In Proceedings of the 2019 8th Asia-Pacific Conference on Antennas and Propagation (APCAP), Incheon, Republic of Korea, 4–7 August 2019; pp. 297–298. [Google Scholar]
- Tan, L.-R.; Wu, R.-X.; Poo, Y. Magnetically Reconfigurable SIW Antenna with Tunable Frequencies and Polarizations. IEEE Trans. Antennas Propag. 2015, 63, 2772–2776. [Google Scholar] [CrossRef]
- Chen, H.; Che, W.; Wang, X.; Feng, W. Size-Reduced Planar and Nonplanar SIW Gysel Power Divider Based on Low Temperature Co-Fired Ceramic Technology. IEEE Microw. Wirel. Compon. Lett. 2017, 27, 1065–1067. [Google Scholar] [CrossRef]
- Cheng, Y.J.; Hong, W.; Wu, K. Design of a monopulse antenna using a dual V-type linearly tapered slot antenna (DVLTSA). IEEE Trans. Antennas Propag. 2008, 56, 2903–2909. [Google Scholar] [CrossRef]
- Xu, J.; Chen, Z.N.; Qing, X.; Hong, W. A single-layer SIW slot array antenna with TE20 mode. In Proceedings of the Asia-Pacific Microwave Conference 2011, Melbourne, VIC, Australia, 5–8 December 2011; pp. 1330–1333. [Google Scholar]
- Han, W.; Yang, F.; Ouyang, J.; Yang, P. Low-Cost Wideband and High-Gain Slotted Cavity Antenna Using High-Order Modes for Millimeter-Wave Application. IEEE Trans. Antennas Propag. 2015, 63, 4624–4631. [Google Scholar] [CrossRef]
- Xu, J.; Chen, Z.N.; Qing, X.; Hong, W. 140-GHz-Mode Dielectric-Loaded SIW Slot Antenna Array in LTCC. IEEE Trans. Antennas Propag. 2013, 61, 1784–1793. [Google Scholar] [CrossRef]
- Xu, F.; Wu, K.; Zhang, X. Periodic Leaky-Wave Antenna for Millimeter Wave Applications Based on Substrate Integrated Waveguide. IEEE Trans. Antennas Propag. 2010, 58, 340–347. [Google Scholar] [CrossRef]
- Wu, P.; Liu, J.; Xue, Q. Wideband Excitation Technology of TE20 Mode Substrate Integrated Waveguide (SIW) and Its Applications. IEEE Trans. Microw. Theory Tech. 2015, 63, 1863–1874. [Google Scholar] [CrossRef]
- Wu, P.; Liao, S.; Xue, Q. A Substrate Integrated Slot Antenna Array Using Simplified Feeding Network Based on Higher Order Cavity Modes. IEEE Trans. Antennas Propag. 2016, 64, 126–135. [Google Scholar] [CrossRef]
- Wu, P.; Liao, S.; Xue, Q. A substrate integrated slot antenna array using higher order mode feeding network. In Proceedings of the 2014 Asia-Pacific Microwave Conference, Sendai, Japan, 4–7 November 2014; pp. 348–350. [Google Scholar]
- Singh, A.; Singh, S. A trapezoidal microstrip patch antenna on photonic crystal substrate for high speed THz applications. Photonics Nanostructures-Fundam. Appl. 2015, 14, 52–62. [Google Scholar] [CrossRef]
- Ullah, S.; Ruan, C.; Ul Haq, T.; Zhang, X. High performance THz patch antenna using photonic band gap and defected ground structure. J. Electromagn. Waves Appl. 2019, 33, 1943–1954. [Google Scholar] [CrossRef]
- Benlakehal, M.E.; Hocini, A.; Khedrouche, D.; Temmar, M.N.E.; Denidni, T.A. Design and analysis of novel microstrip patch antenna array based on photonic crystal in THz. Opt. Quantum Electron. 2022, 54, 297. [Google Scholar] [CrossRef]
- Bendaoudi, A.; Berka, M.; Debab, M.; Mahdjoub, Z. Effects of ground plane on a square graphene ribbon patch antenna designed on a high-permittivity substrate with PBG structures. Frequenz 2023, 77, 385–394. [Google Scholar] [CrossRef]
- Temmar, M.N.e.; Hocini, A.; Khedrouche, D.; Denidni, T.A. Enhanced Flexible Terahertz Microstrip Antenna Based on Modified Silicon-Air Photonic Crystal. Optik 2020, 217, 164897. [Google Scholar] [CrossRef]
- Garu, P.; Wang, W.-C. Design and Analysis of a PDLC-Based Reconfigurable Hilbert Fractal Antenna for Large and Fine THz Frequency Tuning. Micromachines 2022, 13, 964. [Google Scholar] [CrossRef] [PubMed]
- Althuwayb, A.A. On-Chip Antenna Design Using the Concepts of Metamaterial and SIW Principles Applicable to Terahertz Integrated Circuits Operating over 0.6–0.622 THz. Int. J. Antennas Propag. 2020, 2020, 6653095. [Google Scholar] [CrossRef]











| Parameters | Values (µm) | Detailed Description |
|---|---|---|
| 360.9 | Radiation patch length | |
| 590.4 | Radiation patch width | |
| 220 | GCPW feeder length | |
| 440 | Radiation unit connection line length | |
| 180 | Connecting line width | |
| 26 | Dielectric substrate thickness | |
| 19 | Radiation patch thickness | |
| R | 27 | Metal through-hole radius |
| Wg | 268 | Fence isolation structure length |
| Ref. | Bandwidth (THz) | Antenna Structure | Resonant Frequency (THz) | Gain (dBi) | Directivity (dBi) | S11 (dB) | VSWR |
|---|---|---|---|---|---|---|---|
| [35] | 0.678–0.702 | PBG | 0.690 | 6.793 | 6.914 | −64.16 | 1.00124 |
| [36] | 0.594–0.702 | PBG | 0.601 | 11.60 | 12.21 | −53.66 | 1.00416 |
| [37] | 0.663–0.683 | PBG | 0.670 | 6.32 | 7.09 | −26.27 | 1.10213 |
| [38] | 0.60–0.63 | PBG | 0.607 | 9.75 | - | −67.2 | 1.00087 |
| [39] | 0.504–0.540 | PDLC | 0.522 | 4.92 | 8.43 | −14.5 | 1.46416 |
| [40] | 0.600–0.622 | SIW MTM | 0.617 | 1.8 | - | −34 | 1.04072 |
| This Work | 0.61–0.68 | GCPW SIW | 0.6366 | 13.05 | 15.1 | −62 | 1.00158 |
Disclaimer/Publisher’s Note: The statements, opinions and data contained in all publications are solely those of the individual author(s) and contributor(s) and not of MDPI and/or the editor(s). MDPI and/or the editor(s) disclaim responsibility for any injury to people or property resulting from any ideas, methods, instructions or products referred to in the content. |
© 2024 by the authors. Licensee MDPI, Basel, Switzerland. This article is an open access article distributed under the terms and conditions of the Creative Commons Attribution (CC BY) license (https://creativecommons.org/licenses/by/4.0/).
Share and Cite
Ji, X.; Chen, Y.; Li, J.; Wang, D.; Zhao, Y.; Wu, Q.; Li, M. Design of High-Gain Antenna Arrays for Terahertz Applications. Micromachines 2024, 15, 407. https://doi.org/10.3390/mi15030407
Ji X, Chen Y, Li J, Wang D, Zhao Y, Wu Q, Li M. Design of High-Gain Antenna Arrays for Terahertz Applications. Micromachines. 2024; 15(3):407. https://doi.org/10.3390/mi15030407
Chicago/Turabian StyleJi, Xinran, Yu Chen, Jing Li, Dian Wang, Yue Zhao, Qiannan Wu, and Mengwei Li. 2024. "Design of High-Gain Antenna Arrays for Terahertz Applications" Micromachines 15, no. 3: 407. https://doi.org/10.3390/mi15030407
APA StyleJi, X., Chen, Y., Li, J., Wang, D., Zhao, Y., Wu, Q., & Li, M. (2024). Design of High-Gain Antenna Arrays for Terahertz Applications. Micromachines, 15(3), 407. https://doi.org/10.3390/mi15030407

