Study on the Hydrogen Effect and Interface/Border Traps of a Depletion-Mode AlGaN/GaN High-Electron-Mobility Transistor with a SiNx Gate Dielectric at Different Temperatures
Abstract
1. Introduction
2. Materials and Methods
3. Results and Discussion
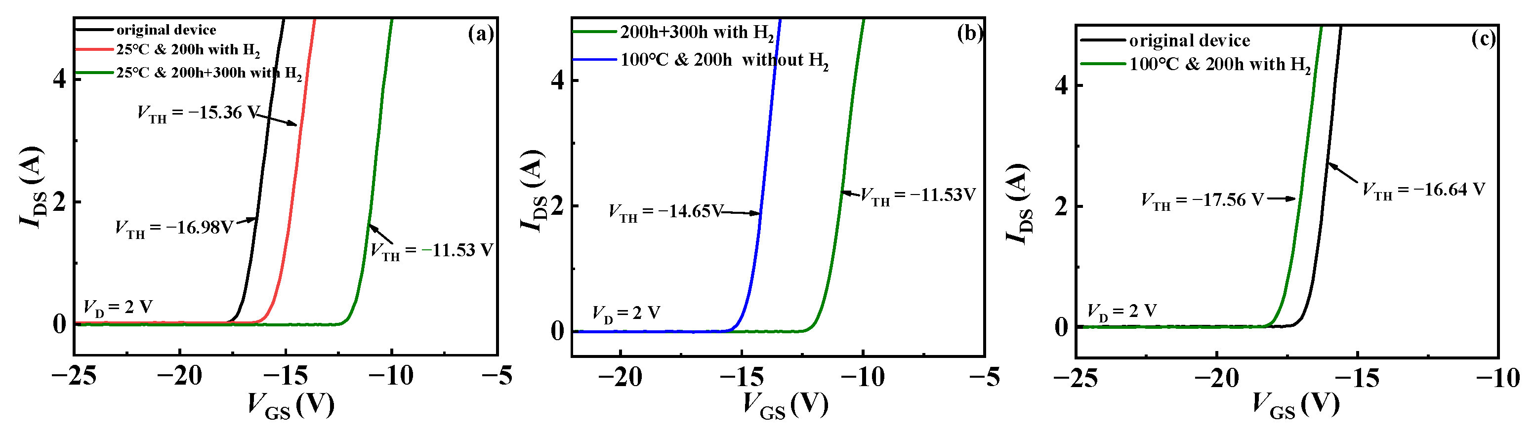
3.1. Impact of Hydrogen Effect on Device Electrical Characteristics
3.2. The Influence of Hydrogen Effect on Interface Traps in GaN Devices

3.3. The Influence of Hydrogen Effect on Border Traps in GaN Devices
3.4. Interface/Border Trap Trapping Mechanism under Different Temperature Hydrogen Effects
4. Conclusions
Author Contributions
Funding
Data Availability Statement
Conflicts of Interest
References
- Sheppard, S.; Doverspike, K.; Pribble, W.; Allen, S.; Palmour, J.; Kehias, L.; Jenkins, T. High-power microwave GaN/AlGaN HEMTs on semi-insulating silicon carbide substrates. IEEE Electron Device Lett. 1999, 20, 161–163. [Google Scholar] [CrossRef]
- Camp, W.O.; Lasater, R.; Genova, V.; Hume, R. Hydrogen effects on reliability of GaAs MMICs. In Proceedings of the 11th Annual Gallium Arsenide Integrated Circuit (GaAs IC) Symposium, San Diego, CA, USA, 22–25 October 1989; pp. 203–206. [Google Scholar]
- Blanchard, R.R.; Del Alamo, J.A. Stress-related hydrogen degradation of 0.1-/spl mu/m InP HEMTs and GaAs PHEMTs. IEEE Trans. Electron Devices 2006, 53, 1289–1293. [Google Scholar] [CrossRef]
- Chao, P.C.; Kao, M.Y.; Nordheden, K.; Swanson, A.W. HEMT degradation in hydrogen gas. IEEE Electron Device Lett. 1994, 15, 151–153. [Google Scholar] [CrossRef]
- He, J.; Chen, Y.Q.; He, Z.Y.; En, Y.F.; Liu, C.; Huang, Y.; Li, Z.; Tang, M.H. Effect of Hot Electron Stress on AlGaN/GaN HEMTs of Hydrogen Poisoning. IEEE J. Electron Devices Soc. 2019, 7, 76–81. [Google Scholar] [CrossRef]
- Chen, Y.Q.; Zhang, Y.C.; Liu, Y.; Liao, X.Y.; En, Y.F.; Fang, W.X.; Huang, Y. Effect of hydrogen on defects of AlGaN/GaN HEMTs characterized by low-frequency noise. IEEE Trans. Electron Devices 2018, 65, 1321–1326. [Google Scholar] [CrossRef]
- Conner, W.C.; Falconer, J.L. pillover in heterogeneous catalysis. Chem. Rev. 1995, 95, 759–788. [Google Scholar] [CrossRef]
- Sermon, P.A.; Bond, G.C. Hydrogen spillover. Catal. Rev. 1974, 8, 211–239. [Google Scholar] [CrossRef]
- Liu, Y.; He, H.; Chen, R.; En, Y.-F.; Li, B.; Chen, Y.-Q. Analysis and simulation of low-frequency noise in indium-zinc-oxide thin-film transistors. IEEE J. Electron Devices Soc. 2018, 6, 271–279. [Google Scholar] [CrossRef]
- Khandelwal, S. Advanced SPICE Model for GaN HEMTs (ASM-HEMT): A New Industry-Standard Compact Model for GaN-Based Power and RF Circuit Design; Springer Naturel: Berlin/Heidelberg, Germany, 2022. [Google Scholar]
- Gao, R.; Liu, C.; He, Z.; Chen, Y.; Shi, Y.; Lin, X.; Zhang, X.; Wang, Z.; En, Y.; Lu, G.; et al. Towards understanding the interaction between hydrogen poisoning and bias stress in AlGaN/GaN MIS-HEMTs with SiNx gate dielectric. IEEE Electron Device Lett. 2021, 42, 212–215. [Google Scholar] [CrossRef]
- Meneghini, M.; Rossetto, I.; Bisi, D.; Ruzzarin, M.; Van Hove, M.; Stoffels, S.; Wu, T.L.; Marcon, D.; Decoutere, S.; Meneghesso, G.; et al. Negative bias-induced threshold voltage instability in GaN-on-Si power HEMTs. IEEE Electron Device Lett. 2016, 37, 474–477. [Google Scholar] [CrossRef]
- Wu, T.L.; Marcon, D.; De Jaeger, B.; Van Hove, M.; Bakeroot, B.; Lin, D.; Stoffels, S.; Kang, X.; Roelofs, R.; Groeseneken, G.; et al. The impact of the gate dielectric quality in developing Au-free D-mode and E-mode recessed gate AlGaN/GaN transistors on a 200 mm Si substrate. In Proceedings of the IEEE 27th International Symposium on Power Semiconductor Devices & IC’s (ISPSD), Hong Kong, China, 10–14 May 2015; pp. 225–228. [Google Scholar]
- Van de Walle, C.G.; Neugebauer, J. First-principles calculations for defects and impurities: Applications to III-nitrides. J. Appl. Phys. 2004, 95, 3851–3879. [Google Scholar] [CrossRef]
- Zou, X.; Yang, J.; Qiao, Q.; Zou, X.; Chen, J.; Shi, Y.; Ren, K. Trap Characterization Techniques for GaN-Based HEMTs: A Critical Review. Micromachines 2023, 14, 2044. [Google Scholar] [CrossRef] [PubMed]
- Yang, S.; Liu, S.; Lu, Y.; Liu, C.; Chen, K.J. AC-capacitance techniques for interface trap analysis in GaN-based buried-channel MIS-HEMTs. IEEE Trans. Electron Devices 2015, 62, 1870–1878. [Google Scholar] [CrossRef]
- Wu, T.-L.; Marcon, D.; Bakeroot, B.; De Jaeger, B.; Lin, H.C.; Franco, J.; Stoffels, S.; Van Hove, M.; Roelofs, R.; Groeseneken, G.; et al. Correlation of interface states/border traps and threshold voltage shift on AlGaN/GaN metal-insulator-semiconductor high-electron-mobility transistors. Appl. Phys. Lett. 2015, 107, 093507. [Google Scholar] [CrossRef]
- Neugebauer, J.; Van de Walle, C.G. Hydrogen in GaN: Novel aspects of a common impurity. Phys. Rev. Lett. 1995, 75, 4452. [Google Scholar] [CrossRef]
- Capriotti, M.; Lagger, P.; Fleury, C.; Oposich, M.; Bethge, O.; Ostermaier, C.; Strasser, G.; Pogany, D. Modeling small-signal response of GaN-based metal-insulator-semiconductor high electron mobility transistor gate stack in spill-over regime: Effect of barrier resistance and interface states. J. Appl. Phys. 2015, 117, 024506. [Google Scholar] [CrossRef]
- Cai, X.; Chen, Y.; Gao, R.; Zhou, C. Degradation and Mechanism of D-Mode AlGaN/GaN MIS-HEMTs Under the Combination Action of Hydrogen and HTGB Stress. IEEE Trans. Electron Devices 2022, 70, 36–42. [Google Scholar] [CrossRef]
- Hasegawa, H.; Inagaki, T.; Ootomo, S.; Hashizume, T. Mechanisms of current collapse and gate leakage currents in AlGaN/GaN heterostructure field effect transistors. J. Vac. Sci. Technol. B Microelectron. Nanometer Struct. Process. Meas. Phenom. 2003, 21, 1844–1855. [Google Scholar] [CrossRef]
- Esposto, M.; Krishnamoorthy, S.; Nath, D.N.; Bajaj, S.; Hung, T.-H.; Rajan, S. Electrical properties of atomic layer deposited aluminum oxide on gallium nitride. Appl. Phys. Lett. 2011, 99, 13. [Google Scholar] [CrossRef]
- Long, R.D.; Shin, B.; Monaghan, S.; Cherkaoui, K.; Cagnon, J.; Stemmer, S.; McIntyre, P.C.; Hurley, P.K. Charged Defect Quantification in Pt/Al2O3/In0. 53Ga0. 47As/InP MOS Capacitors. J. Electrochem. Soc. 2011, 158, G103. [Google Scholar] [CrossRef]
- Lansbergen, G.P.; Wong, K.Y.; Lin, Y.S.; Yu, J.L.; Yang, F.J.; Tsai, C.L.; Oates, A.S. Threshold voltage drift (PBTI) in GaN D-MODE MIS HEMTs: Characterization of fast trap components. In Proceedings of the IEEE International Reliability Physics Symposium, Waikoloa, HI, USA, 1–5 June 2014; pp. 4.1–4.6. [Google Scholar]
- Charfeddine, M.; Gassoumi, M.; Mosbahi, H.; Gaquiére, C.; Zaidi, M.A.; Maaref, H. Electrical characterization of traps in AlGaN/GaN FAT-HEMT’s on silicon substrate by CV and DLTS measurements. J. Mod. Phys. 2011, 2, 1229–1234. [Google Scholar] [CrossRef]
- Sun, X.; Saadat, O.I.; Chang-Liao, K.S.; Palacios, T.; Cui, S.; Ma, T.P. Study of gate oxide traps in HfO2/AlGaN/GaN metal-oxide-semiconductor high-electron-mobility transistors by use of ac transconductance method. Appl. Phys. Lett. 2013, 102, 103504. [Google Scholar] [CrossRef]
- Lin, D.; Alian, A.; Gupta, S.; Yang, B.; Bury, E.; Sioncke, S.; Degraeve, R.; Toledano, M.L.; Krom, R.; Favia, P.; et al. Beyond interface: The impact of oxide border traps on InGaAs and Ge n-MOSFETs. In Proceedings of the 2012 International Electron Devices Meeting, San Francisco, CA, USA, 10–13 December 2012; pp. 28.3.1–28.3.4. [Google Scholar]
- Hooge, F.N. 1/f noise. Phys. B + C 1976, 83, 14–23. [Google Scholar] [CrossRef]
- Chen, Z.; Yue, S.; Peng, C.; Zhang, Z.; Liu, C.; Wang, L.; Huang, Y.; Huang, Y.; He, Y.; Zhong, X.; et al. Hydrogen-related recovery effect of AlGaN/GaN high-electron-mobility transistors irradiated by high-fluence protons. IEEE Trans. Nucl. Sci. 2021, 68, 118–123. [Google Scholar] [CrossRef]
- Rumyantsev, S.L.; Jiang, C.; Samnakay, R.; Shur, M.S.; Balandin, A.A. 1/ f Noise Characteristics of MoS2 Thin-Film Transistors: Comparison of Single and Multilayer Structures. IEEE Electron Device Lett. 2015, 36, 517–519. [Google Scholar] [CrossRef]







Disclaimer/Publisher’s Note: The statements, opinions and data contained in all publications are solely those of the individual author(s) and contributor(s) and not of MDPI and/or the editor(s). MDPI and/or the editor(s) disclaim responsibility for any injury to people or property resulting from any ideas, methods, instructions or products referred to in the content. |
© 2024 by the authors. Licensee MDPI, Basel, Switzerland. This article is an open access article distributed under the terms and conditions of the Creative Commons Attribution (CC BY) license (https://creativecommons.org/licenses/by/4.0/).
Share and Cite
Zhao, D.; He, L.; Wu, L.; Xiao, Q.; Liu, C.; Chen, Y.; He, Z.; Yang, D.; Lv, M.; Cheng, Z. Study on the Hydrogen Effect and Interface/Border Traps of a Depletion-Mode AlGaN/GaN High-Electron-Mobility Transistor with a SiNx Gate Dielectric at Different Temperatures. Micromachines 2024, 15, 171. https://doi.org/10.3390/mi15020171
Zhao D, He L, Wu L, Xiao Q, Liu C, Chen Y, He Z, Yang D, Lv M, Cheng Z. Study on the Hydrogen Effect and Interface/Border Traps of a Depletion-Mode AlGaN/GaN High-Electron-Mobility Transistor with a SiNx Gate Dielectric at Different Temperatures. Micromachines. 2024; 15(2):171. https://doi.org/10.3390/mi15020171
Chicago/Turabian StyleZhao, Dongsheng, Liang He, Lijuan Wu, Qingzhong Xiao, Chang Liu, Yuan Chen, Zhiyuan He, Deqiang Yang, Mingen Lv, and Zijun Cheng. 2024. "Study on the Hydrogen Effect and Interface/Border Traps of a Depletion-Mode AlGaN/GaN High-Electron-Mobility Transistor with a SiNx Gate Dielectric at Different Temperatures" Micromachines 15, no. 2: 171. https://doi.org/10.3390/mi15020171
APA StyleZhao, D., He, L., Wu, L., Xiao, Q., Liu, C., Chen, Y., He, Z., Yang, D., Lv, M., & Cheng, Z. (2024). Study on the Hydrogen Effect and Interface/Border Traps of a Depletion-Mode AlGaN/GaN High-Electron-Mobility Transistor with a SiNx Gate Dielectric at Different Temperatures. Micromachines, 15(2), 171. https://doi.org/10.3390/mi15020171

