High-Temperature Characterization of AlGaN Channel High Electron Mobility Transistor Based on Silicon Substrate
Abstract
1. Introduction
2. Materials and Methods
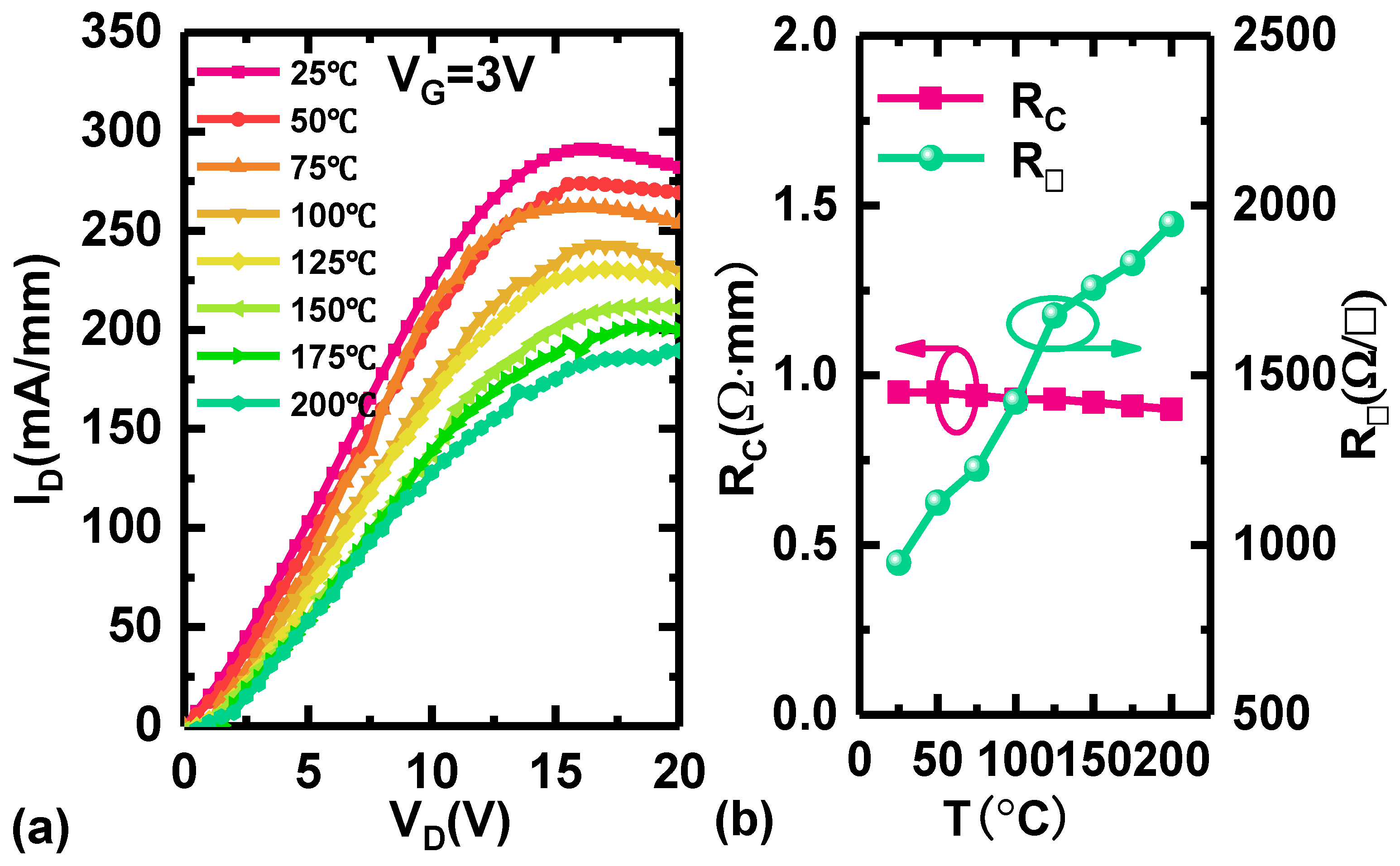
3. Results and Discussion
4. Conclusions
Author Contributions
Funding
Data Availability Statement
Conflicts of Interest
References
- Xiao, M.; Du, Z.; Xie, J.; Beam, E.; Yan, X.; Cheng, K.; Wang, H.; Cao, Y.; Zhang, Y. Lateral p-GaN/2DEG junction diodes by selective-area p-GaN trench-filling-regrowth in AlGaN/GaN. Appl. Phys. Lett. 2020, 116, 053503. [Google Scholar] [CrossRef]
- Lyu, Q.; Jiang, H.; Lau, K.M. High gain and high ultraviolet/visible rejection ratio photodetectors using p-GaN/AlGaN/GaN heterostructures grown on Si. Appl. Phys. Lett. 2020, 117, 071101. [Google Scholar] [CrossRef]
- Ruzzarin, M.; De Santi, C.; Yu, F.; Fatahilah, M.F.; Strempel, K.; Wasisto, H.S.; Waag, A.; Meneghesso, G.; Zanoni, E.; Meneghini, M. Highly stable threshold voltage in GaN nanowire FETs: The advantages of p-GaN channel/Al2O3 gate insulator. Appl. Phys. Lett. 2020, 117, 203501. [Google Scholar] [CrossRef]
- Li, B.; Yang, X.; Wang, K.; Zhu, H.; Wang, L.; Chen, W. A Compact Double-Sided Cooling 650V/30A GaN Power Module With Low Parasitic Parameters. IEEE Trans. Power Electron. 2022, 37, 426–439. [Google Scholar] [CrossRef]
- Murray, S.K.; Kachura, A.; Trescases, O. A 400 V Dual-Phase Series-Capacitor Buck Converter GaN IC with Integrated Closed-Loop Control. IEEE Trans. Power Electron. 2024, 39, 9579–9590. [Google Scholar] [CrossRef]
- Goto, K.; Nakahata, H.; Murakami, H.; Kumagai, Y. Temperature dependence of Ga2O3 growth by halide vapor phase epitaxy on sapphire and β-Ga2O3 substrates. Appl. Phys. Lett. 2020, 117, 222101. [Google Scholar] [CrossRef]
- Ren, Z.; Lv, D.; Xu, J.; Zhang, J.; Zhang, J.; Su, K.; Zhang, C.; Hao, Y. High temperature (300 °C) ALD grown Al2O3 on hydrogen terminated diamond: Band offset and electrical properties of the MOSFETs. Appl. Phys. Lett. 2020, 116, 013503. [Google Scholar] [CrossRef]
- Cho, Y.; Encomendero, J.; Ho, S.-T.; Xing, H.G.; Jena, D. N-polar GaN/AlN resonant tunneling diodes. Appl. Phys. Lett. 2020, 117, 143501. [Google Scholar] [CrossRef]
- Visalli, D.; Van Hove, M.; Derluyn, J.; Degroote, S.; Leys, M.; Cheng, K.; Germain, M.; Borghs, G. AlGaN/GaN/AlGaN Double Heterostructures on Silicon Substrates for High Breakdown Voltage Field-Effect Transistors with low On-Resistance. Jpn. J. Appl. Phys. 2009, 48, 04C101. [Google Scholar] [CrossRef]
- Freedsman, J.J.; Hamada, T.; Miyoshi, M.; Egawa, T. Al2O3/AlGaN Channel Normally-Off MOSFET on Silicon With High Breakdown Voltage. IEEE Electron. Device Lett. 2017, 38, 497–500. [Google Scholar] [CrossRef]
- Singhal, J.; Chaudhuri, R.; Hickman, A.; Protasenko, V.; Xing, H.G.; Jena, D. Toward AlGaN channel HEMTs on AlN: Polarization-induced 2DEGs in AlN/AlGaN/AlN heterostructures. APL Mater. 2022, 10, 111120. [Google Scholar] [CrossRef]
- Ji, D.; Ercan, B.; Benson, G.; Newaz, A.K.M.; Chowdhury, S. 60 A/W high voltage GaN avalanche photodiode demonstrating robust avalanche and high gain up to 525 K. Appl. Phys. Lett. 2020, 116, 211102. [Google Scholar] [CrossRef]
- Bajaj, S.; Hung, T.-H.; Akyol, F.; Nath, D.; Rajan, S. Modeling of high composition AlGaN channel high electron mobility transistors with large threshold voltage. Appl. Phys. Lett. 2014, 105, 263503. [Google Scholar] [CrossRef]
- Carey, P.H.; Ren, F.; Baca, A.G.; Klein, B.A.; Allerman, A.A.; Armstrong, A.M.; Douglas, E.A.; Kaplar, R.J.; Kotula, P.G.; Pearton, S.J. Extreme Temperature Operation of Ultra-Wide Bandgap AlGaN High Electron Mobility Transistors. IEEE Trans. Semicond. Manuf. 2019, 32, 473–477. [Google Scholar] [CrossRef]
- Carey, P.H.; Ren, F.; Baca, A.G.; Klein, B.A.; Allerman, A.A.; Armstrong, A.M.; Douglas, E.A.; Kaplar, R.J.; Kotula, P.G.; Pearton, S.J. Operation Up to 500 °C of Al0.85Ga0.15N/Al0.7Ga0.3N High Electron Mobility Transistors. IEEE J. Electron. Devices Soc. 2019, 7, 444–452. [Google Scholar] [CrossRef]
- Baca, A.G.; Armstrong, A.M.; Allerman, A.A.; Klein, B.A.; Douglas, E.A.; Sanchez, C.A.; Fortune, T.R. High Temperature Operation of Al0.45Ga0.55N/Al0.30Ga0.70N High Electron Mobility Transistors. ECS J. Solid. State Sci. Technol. 2017, 6, S3010–S3013. [Google Scholar] [CrossRef]
- Bassaler, J.; Mehta, J.; Abid, I.; Konczewicz, L.; Juillaguet, S.; Contreras, S.; Rennesson, S.; Tamariz, S.; Nemoz, M.; Semond, F.; et al. Al-Rich AlGaN Channel High Electron Mobility Transistors on Silicon: A Relevant Approach for High Temperature Stability of Electron Mobility. Adv. Electron. Mater. 2024, 2400069. [Google Scholar] [CrossRef]
- Chatterjee, B.; Lundh, J.S.; Song, Y.; Shoemaker, D.; Baca, A.G.; Kaplar, R.J.; Beechem, T.E.; Saltonstall, C.; Allerman, A.A.; Armstrong, A.M.; et al. Interdependence of Electronic and Thermal Transport in AlxGa1–xN Channel HEMTs. IEEE Electron. Device Lett. 2020, 41, 461–464. [Google Scholar] [CrossRef]
- Hatano, M.; Yafune, N.; Tokuda, H.; Yamamoto, Y.; Hashimoto, S.; Akita, K.; Kuzuhara, M. Superior DC and RF Performance of AlGaN-Channel HEMT at High Temperatures. IEICE Trans. Electron. 2012, E95.C, 1332–1336. [Google Scholar] [CrossRef]
- Li, L.; Yamaguchi, R.; Wakejima, A. Polarization engineering via InAlN/AlGaN heterostructures for demonstration of normally-off AlGaN channel field effect transistors. Appl. Phys. Lett. 2020, 117, 152108. [Google Scholar] [CrossRef]
- Li, X.; Zhang, W.; Fu, M.; Zhang, J.; Jiang, H.; Guo, Z.; Zou, Y.; Jiang, R.; Shi, Z.; Hao, Y. AlGaN channel MIS-HEMTs with a very high breakdown electric field and excellent high-temperature performance. IEICE Electron. Express 2015, 12, 20150694. [Google Scholar] [CrossRef][Green Version]
- Mollah, S.; Gaevski, M.; Hussain, K.; Mamun, A.; Chandrashekhar, M.; Simin, G.; Khan, A. Temperature characteristics of high-current UWBG enhancement and depletion mode AlGaN-channel MOSHFETs. Appl. Phys. Lett. 2020, 117, 232105. [Google Scholar] [CrossRef]
- Tokuda, H.; Hatano, M.; Yafune, N.; Hashimoto, S.; Akita, K.; Yamamoto, Y.; Kuzuhara, M. High Al Composition AlGaN-Channel High-Electron-Mobility Transistor on AlN Substrate. Appl. Phys. Express 2010, 3, 121003. [Google Scholar] [CrossRef]
- Zhang, L.; Zhang, J.-F.; Zhang, W.-H.; Zhang, T.; Xu, L.; Zhang, J.-C.; Hao, Y. Robust Performance of AlGaN-Channel Metal-Insulator-Semiconductor High-Electron-Mobility Transistors at High Temperatures. Chin. Phys. Lett. 2017, 34, 128501. [Google Scholar] [CrossRef]
- Zhang, W.; Zhang, J.; Xiao, M.; Zhang, L.; Hao, Y. High Breakdown-Voltage (>2200 V) AlGaN-Channel HEMTs With Ohmic/Schottky Hybrid Drains. IEEE J. Electron. Devices Soc. 2018, 6, 931–935. [Google Scholar] [CrossRef]
- Arulkumaran, S.; Egawa, T.; Ishikawa, H.; Jimbo, T. High-temperature effects of AlGaN/GaN high-electron-mobility transistors on sapphire and semi-insulating SiC substrates. Appl. Phys. Lett. 2002, 80, 2186–2188. [Google Scholar] [CrossRef]
- Krispin, P.; Spruytte, S.G.; Harris, J.S.; Ploog, K.H. Electrical depth profile of p-type GaAs/Ga(As, N)/GaAs heterostructures determined by capacitance–voltage measurements. J. Appl. Phys. 2000, 88, 4153–4158. [Google Scholar] [CrossRef]
- Baca, A.G.; Armstrong, A.M.; Douglas, E.A.; Sanchez, C.A.; King, M.P.; Coltrin, M.E.; Fortune, T.R.; Kaplar, R.J. An AlN/Al0.85Ga0.15N high electron mobility transistor. Appl. Phys. Lett. 2016, 109, 033509. [Google Scholar] [CrossRef]
- Zhao, S.; Zhang, K.; Ha, W.; Chen, Y.; Zhang, P.; Zhang, J.; Ma, X.; Hao, Y. Trap states in AlGaN channel high-electron-mobility transistors. Appl. Phys. Lett. 2013, 103, 212106. [Google Scholar] [CrossRef]





Disclaimer/Publisher’s Note: The statements, opinions and data contained in all publications are solely those of the individual author(s) and contributor(s) and not of MDPI and/or the editor(s). MDPI and/or the editor(s) disclaim responsibility for any injury to people or property resulting from any ideas, methods, instructions or products referred to in the content. |
© 2024 by the authors. Licensee MDPI, Basel, Switzerland. This article is an open access article distributed under the terms and conditions of the Creative Commons Attribution (CC BY) license (https://creativecommons.org/licenses/by/4.0/).
Share and Cite
Wu, Y.; Ma, X.; Yu, L.; Feng, X.; Zhao, S.; Zhang, W.; Zhang, J.; Hao, Y. High-Temperature Characterization of AlGaN Channel High Electron Mobility Transistor Based on Silicon Substrate. Micromachines 2024, 15, 1343. https://doi.org/10.3390/mi15111343
Wu Y, Ma X, Yu L, Feng X, Zhao S, Zhang W, Zhang J, Hao Y. High-Temperature Characterization of AlGaN Channel High Electron Mobility Transistor Based on Silicon Substrate. Micromachines. 2024; 15(11):1343. https://doi.org/10.3390/mi15111343
Chicago/Turabian StyleWu, Yinhe, Xingchi Ma, Longyang Yu, Xin Feng, Shenglei Zhao, Weihang Zhang, Jincheng Zhang, and Yue Hao. 2024. "High-Temperature Characterization of AlGaN Channel High Electron Mobility Transistor Based on Silicon Substrate" Micromachines 15, no. 11: 1343. https://doi.org/10.3390/mi15111343
APA StyleWu, Y., Ma, X., Yu, L., Feng, X., Zhao, S., Zhang, W., Zhang, J., & Hao, Y. (2024). High-Temperature Characterization of AlGaN Channel High Electron Mobility Transistor Based on Silicon Substrate. Micromachines, 15(11), 1343. https://doi.org/10.3390/mi15111343

