Quantum Interference Effects on Josephson Current through Quadruple-Quantum-Dot Molecular Inserted between Superconductors
Abstract
1. Introduction
2. Model and Method
3. Numerical Results
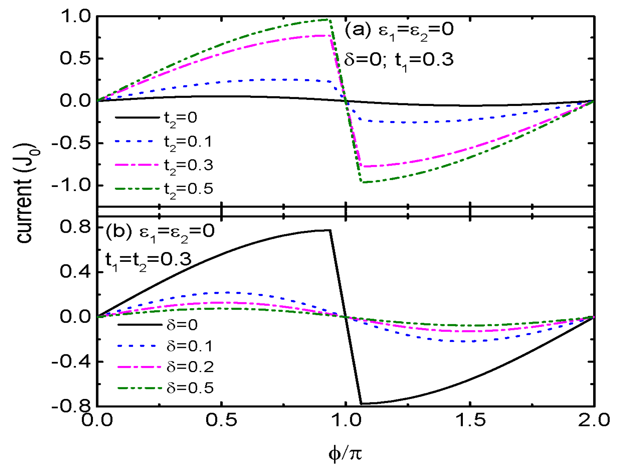
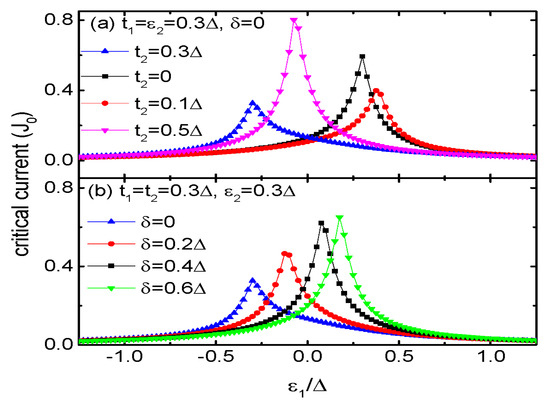
3.1. Identical Dots’ Levels:
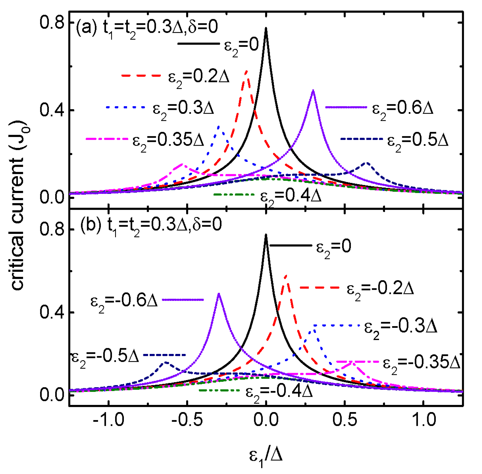
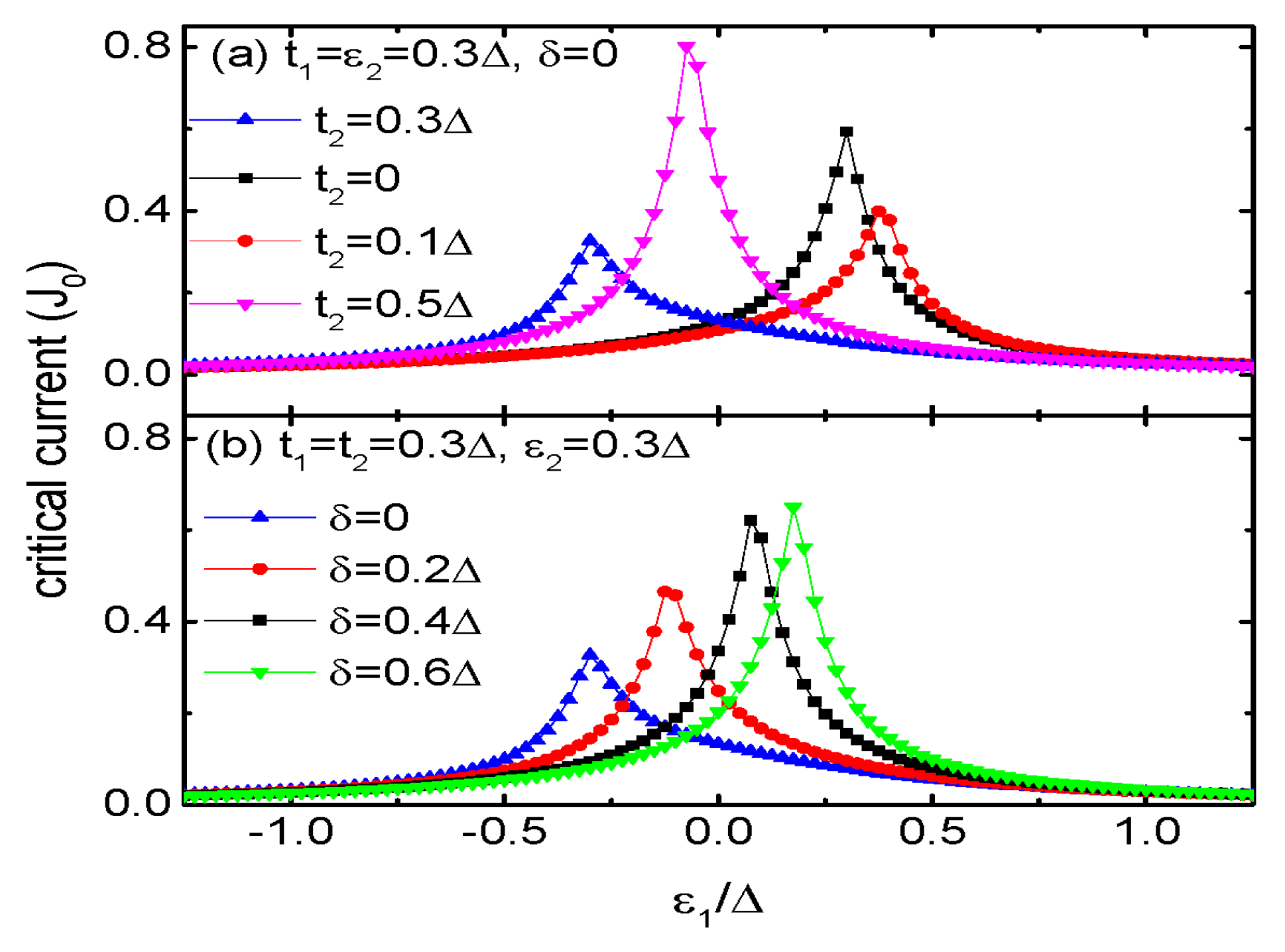
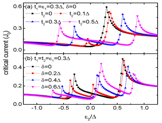
3.2. Variation of with for Different and
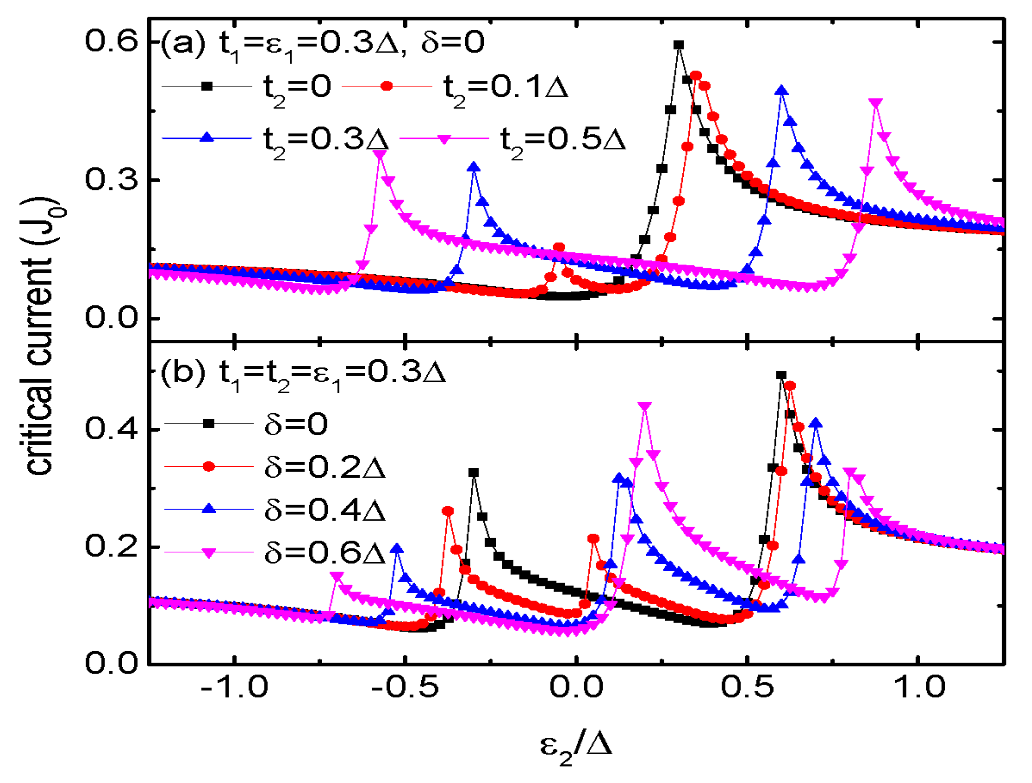
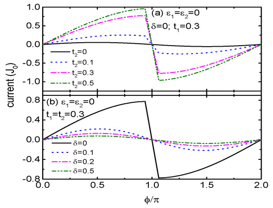
3.3. Fano Resonances in for Different and
4. Summary
Author Contributions
Funding
Institutional Review Board Statement
Informed Consent Statement
Data Availability Statement
Conflicts of Interest
References
- Josephson, B.D. Possible new effects in superconductive tunnelling. Phys. Lett. 1962, 1, 251. [Google Scholar] [CrossRef]
- Josephson, B.D. The discovery of tunnelling supercurrents. Rev. Mod. Phys. 1974, 46, 251. [Google Scholar] [CrossRef]
- Tafuri, F. (Ed.) Fundamentals and Frontiers of the Josephson Effect; Springer Series in Materials Science; Springer Nature: Berlin/Heidelberg, Germany, 2019; Volume 286, ISBN 978-3-030-20724-3. [Google Scholar] [CrossRef]
- Makhlin, Y.; Schön, G.; Shnirman, A. Quantum-state engineering with Josephson-junction devices. Rev. Mod. Phys. 2001, 73, 357. [Google Scholar] [CrossRef]
- Pal, B.; Chakraborty, A.; Sivakumar, P.K.; Davydova, M.; Gopi, A.K.; Pandeya, A.K.; Krieger, J.A.; Zhang, Y.; Date, M.; Ju, S.; et al. Josephson diode effect from Cooper pair momentum in a topological semimetal. Nat. Phys. 2022, 18, 1228. [Google Scholar] [CrossRef] [PubMed]
- Amundsen, M.; Linder, J.; Robinson, J.W.A.; Žutić, I.; Banerjee, N. Colloquium: Spin-orbit effects in superconducting hybrid structures. Rev. Mod. Phys. 2024, 96, 021003. [Google Scholar] [CrossRef]
- Martín-Rodero, A.; Yeyati, A.L. Josephson and Andreev transport through quantum dots. Adv. Phys. 2011, 60, 899. [Google Scholar] [CrossRef]
- Zwolak, J.P.; Taylor, J.M. Colloquium: Advances in automation of quantum dot devices control. Rev. Mod. Phys. 2023, 95, 011006. [Google Scholar] [CrossRef]
- Kastner, M.A. Artificial Atoms. Phys. Today 1993, 46, 24. [Google Scholar] [CrossRef]
- Glazman, L.; Raikh, M. Resonant Kondo transparency of a barrier with quasilocal impurity states. JETP Lett. 1988, 47, 452. [Google Scholar]
- Newns, D.M.; Read, N. Mean-field theory of intermediate valence/heavy fermion systems. Adv. Phys. 1987, 36, 799. [Google Scholar] [CrossRef]
- Sun, Q.F.; Wang, J.; Lin, T.H. Photon-assisted andreev tunneling through a mesoscopic hybrid system. Phys. Rev. B 1999, 59, 13126. [Google Scholar] [CrossRef]
- Sun, Q.F.; Wang, J.; Lin, T.H. Control of the supercurrent in a mesoscopic four-terminal Josephson junction. Phys. Rev. B 2000, 62, 648. [Google Scholar] [CrossRef]
- Zhu, Y.; Sun, Q.F.; Lin, T.H. Andreev bound states and the π-junction transition in a superconductor/quantum-dot/superconductor system. J. Phys. Condens. Matter 2001, 13, 8783. [Google Scholar] [CrossRef]
- Buitelaar, M.R.; Nussbaumer, T.; Schönenberger, C. Quantum Dot in the Kondo Regime Coupled to Superconductors. Phys. Rev. Lett. 2002, 89, 256801. [Google Scholar] [CrossRef] [PubMed]
- Sun, Y.F.; Mao, Y.; Sun, Q.F. Design of Josephson diode based on magnetic impurity. Phys. Rev. B 2023, 108, 214519. [Google Scholar] [CrossRef]
- Mao, Y.; Yan, Q.; Zhuang, Y.C.; Sun, Q.F. Universal Spin Superconducting Diode Effect from Spin-Orbit Coupling. Phys. Rev. Lett. 2024, 132, 216001. [Google Scholar] [CrossRef]
- Debnath, D.; Dutta, P. Gate-tunable Josephson diode effect in Rashba spin-orbit coupled quantum dot junctions. Phys. Rev. B 2024, 109, 174511. [Google Scholar] [CrossRef]
- Xu, L.T.; Li, X.Q.; Sun, Q.F. Majorana dc Josephson current mediated by a quantum dot. J. Phys. Condens. Matter 2017, 29, 195301. [Google Scholar] [CrossRef]
- Chi, F.; Jia, Q.S.; Liu, J.; Gao, Q.G.; Yi, Z.C.; Liu, L.M. Enhancement of the Josephson Current in a Quantum Dot Connected to Majorana Nanowires. Nanomaterials 2023, 13, 1482. [Google Scholar] [CrossRef]
- Gao, Y.M.; Zhang, X.Y. Tunable Josephson Current through a Semiconductor Quantum Dot Hybridized to Majorana Trijunction. Coatings 2023, 13, 1627. [Google Scholar] [CrossRef]
- Pan, H.; Lin, T.H. Control of the supercurrent through a parallel-coupled double quantum dot system. Phys. Rev. B 2006, 74, 235312. [Google Scholar] [CrossRef]
- Pan, H.; Lin, T.H. Tunable supercurrent in a parallel double quantum dot system. Eur. Phys. J. B 2007, 57, 299. [Google Scholar] [CrossRef]
- Pan, H.; Cui, Y.M.; Wang, H.L.; Wang, R.M. Spin-polarized Andreev reflection and spin accumulation in a quantum-dot Aharonov-Bohm interferometer with spin-orbit interaction effects. J. Appl. Phys. 2011, 110, 033706. [Google Scholar] [CrossRef]
- Cheng, S.G.; Sun, Q.F. Josephson current transport through T-shaped double quantum dots. J. Phys. Condens. Matter 2008, 20, 505202. [Google Scholar] [CrossRef]
- Hofstetter, L.; Csonka, S.; Nygård, J.; Schönenberger, C. Cooper pair splitter realized in a two-quantum-dot Y-junction. Nature 2009, 461, 960. [Google Scholar] [CrossRef]
- Droste, S.; Andergassen, S.; Splettstoesser, J. Josephson current through interacting double quantum dots with spin-orbit coupling. J. Phys. Condens. Matter 2012, 24, 415301. [Google Scholar] [CrossRef] [PubMed]
- Nian, L.L.; Zhang, L.; Tang, F.R.; Xue, L.P.; Zhang, R.; Bai, L. Spin-resolved Andreev transport through a double quantum-dot system: Role of the Rashba spin-orbit interaction. J. Appl. Phys. 2014, 115, 213704. [Google Scholar] [CrossRef]
- Zhang, H.R.; Sun, L.L.; Liu, J. Josephson dc Current through T-Shaped Double-Quantum-Dots Hybridized to Majorana Nanowires. Coatings 2023, 13, 523. [Google Scholar] [CrossRef]
- Deacon, R.S.; Oiwa, A.; Sailer, J.; Baba, S.; Kanai, Y.; Shibata, K.; Hirakawa, K.; Tarucha, S. Cooper pair splitting in parallel quantum dot Josephson junctions. Nat. Commun. 2015, 6, 7446. [Google Scholar] [CrossRef] [PubMed]
- Debbarma, R.; Aspegren, M.; Boström, F.V.; Lehmann, S.; Dick, K.; Thelander, C. Josephson Current via Spin and Orbital States of a Tunable Double Quantum Dot. Phys. Rev. B 2022, 106, L180507. [Google Scholar] [CrossRef]
- Debbarma, R.; Tsintzis, A.; Aspegren, M.; Souto, R.S.; Lehmann, S.; Dick, K.; Leijnse, M.; Thelander, C. Josephson Junction π-0 Transition Induced by Orbital Hybridization in a Double Quantum Dot. Phys. Rev. Lett. 2023, 131, 256001. [Google Scholar] [CrossRef]
- Gao, Y.M.; Xiao, H.; Jiang, M.H.; Chi, F.; Yi, Z.C.; Liu, L.M. Josephson Diode Effect in Parallel-Coupled Double-Quantum Dots Connected to Unalike Majorana Nanowires. Nanomaterials 2024, 14, 1251. [Google Scholar] [CrossRef]
- Zhong, S.R.; Jin, L.H.; Yang, C.J.; Li, X.S.; Yi, G.Y. Josephson Effect in a T-Shaped Triple-Quantum-Dot Structure: π-Junction Behavior and Two-Stage Kondo Effect. Phys. Status Solidi B 2020, 257, 1900568. [Google Scholar] [CrossRef]
- Wang, X.Q.; Yi, G.Y.; Gong, W.J. Dicke-Josephson effect in a cross-typed triple-quantum-dot junction. Solid State Communi. 2016, 247, 12. [Google Scholar] [CrossRef]
- Bai, L.; Jiang, L.; Zhang, Z.Z.; Duan, C.L. Tunable Josephson current in a lateral triple quantum dot molecule. J. Appl. Phys. 2010, 108, 123714. [Google Scholar] [CrossRef]
- Bai, L.; Zhang, Q.; Jiang, L.; Zhang, Z.; Shen, R. Tunable supercurrent in a triangular triple quantum dot system. Phys. Lett. A 2010, 374, 2584. [Google Scholar] [CrossRef]
- Yi, G.; Li, Z.; Chen, X.; Wu, H.; Gong, W.J. Persistent current driven by the Josephson effect in a triple-quantum-dot ring with superconducting leads. Phys. Rev. B 2013, 87, 195442. [Google Scholar] [CrossRef]
- Yi, G.Y.; Wang, X.Q.; Gong, W.J.; Wu, H.N.; Chen, X.H. Josephson effect in a triple-quantum-dot ring with one dot coupled to superconductors: Numerical renormalization group calculations. Phys. Lett. A 2016, 380, 1385. [Google Scholar] [CrossRef]
- Ramos-Andrade, J.P.; Pena, F.J.; Gonzalez, A.; Avalos-Ovando, O.; Orellana, P.A. Spin-Seebeck effect and spin polarization in a multiple quantum dot molecule. Phys. Rev. B 2017, 96, 165413. [Google Scholar] [CrossRef]
- Orellana, P.A.; Ladron de Guevara, M.L.; Claro, F. Controlling Fano and Dicke effects via a magnetic flux in a two-site Anderson model. Phys. Rev. B 2004, 70, 233315. [Google Scholar] [CrossRef]
- Orellana, P.A.; Lara, G.A.; Anda, E.V. Kondo and Dicke effect in quantum dots side coupled to a quantum wire. Phys. Rev. B 2006, 74, 193315. [Google Scholar] [CrossRef]
- Trocha, P.; Barnas, J. Kondo-Dicke resonances in electronic transport through triple quantum dots. Phys. Rev. B 2008, 78, 075424. [Google Scholar] [CrossRef]
- Wang, Q.; Xie, H.; Nie, Y.H.; Ren, W. Enhancement of thermoelectric efficiency in triple quantum dots by the Dicke effect. Phys. Rev. B 2013, 87, 075102. [Google Scholar] [CrossRef]
- Glodzik, S.; Wojcik, K.P.; Weymann, I.; Domanski, T. Interplay between electron pairing and Dicke effect in triple quantum dot structures. Phys. Rev. B 2017, 95, 125419. [Google Scholar] [CrossRef]
- Kulik, I.O.; Omelyanchuk, A.N. Properties of superconducting microbridges in the pure limit. Sov. J. Low Temp. Phys. 1977, 3, 7. [Google Scholar]
- Dvir, T.; Wang, G.; van Loo, N.; Liu, C.X.; Mazur, G.P.; Bordin, A.; Ten Haaf, S.L.; Wang, J.Y.; van Driel, D.; Zatelli, F.; et al. Realization of a minimal Kitaev chain in coupled quantum dots. Nature 2023, 614, 445. [Google Scholar] [CrossRef]
- Zhu, Y.; Sun, Q.F.; Lin, T.H. Andreev reflection through a quantum dot coupled with two ferromagnets and a superconductor. Phys. Rev. B 2001, 65, 024516. [Google Scholar] [CrossRef]
- Ozaeta, A.; Vasenko, A.S.; Hekking, F.W.J.; Bergeret, F.S. Andreev current enhancement and subgap conductance of superconducting FSN hybrid structures in the presence of a small spin-splitting magnetic field. Phys. Rev. B 2012, 86, 060509(R). [Google Scholar] [CrossRef]
- Golubov, A.A.; Kupriyanov, M.Y.; Ilichev, E. The current-phase relation in Josephson junctions. Rev. Mod. Phys. 2004, 76, 411. [Google Scholar] [CrossRef]
- Soloviev, I.I.; Bakurskiy, S.V.; Ruzhickiy, V.I.; Klenov, N.V.; Kupriyanov, M.Y.; Golubov, A.A.; Skryabina, O.V.; Stolyarov, V.S. Miniaturization of Josephson Junctions for Digital Superconducting Circuits. Phys. Rev. Appl. 2021, 16, 044060. [Google Scholar] [CrossRef]
- Vozhakov, V.A.; Bastrakova, M.V.; Klenov, N.V.; Soloviev, I.I.; Pogosov, W.V.; Babukhin, D.V.; Zhukov, A.A.; Satanin, A.M. State control in superconducting quantum processors. Phys. Uspekhi 2022, 65, 421. [Google Scholar] [CrossRef]







Disclaimer/Publisher’s Note: The statements, opinions and data contained in all publications are solely those of the individual author(s) and contributor(s) and not of MDPI and/or the editor(s). MDPI and/or the editor(s) disclaim responsibility for any injury to people or property resulting from any ideas, methods, instructions or products referred to in the content. |
© 2024 by the authors. Licensee MDPI, Basel, Switzerland. This article is an open access article distributed under the terms and conditions of the Creative Commons Attribution (CC BY) license (https://creativecommons.org/licenses/by/4.0/).
Share and Cite
Gao, Y.; Shen, Y.; Chi, F.; Yi, Z.; Liu, L. Quantum Interference Effects on Josephson Current through Quadruple-Quantum-Dot Molecular Inserted between Superconductors. Micromachines 2024, 15, 1225. https://doi.org/10.3390/mi15101225
Gao Y, Shen Y, Chi F, Yi Z, Liu L. Quantum Interference Effects on Josephson Current through Quadruple-Quantum-Dot Molecular Inserted between Superconductors. Micromachines. 2024; 15(10):1225. https://doi.org/10.3390/mi15101225
Chicago/Turabian StyleGao, Yumei, Yaohong Shen, Feng Chi, Zichuan Yi, and Liming Liu. 2024. "Quantum Interference Effects on Josephson Current through Quadruple-Quantum-Dot Molecular Inserted between Superconductors" Micromachines 15, no. 10: 1225. https://doi.org/10.3390/mi15101225
APA StyleGao, Y., Shen, Y., Chi, F., Yi, Z., & Liu, L. (2024). Quantum Interference Effects on Josephson Current through Quadruple-Quantum-Dot Molecular Inserted between Superconductors. Micromachines, 15(10), 1225. https://doi.org/10.3390/mi15101225

