Optimization of Gate-Head-Top/Bottom Lengths of AlGaN/GaN High-Electron-Mobility Transistors with a Gate-Recessed Structure for High-Power Operations: A Simulation Study
Abstract
:1. Introduction
2. Materials and Methods
3. Results
3.1. Matching the Measured and Simulated Data Obtained from the Basic T-Gate HEMT
3.2. Comparative Analysis of Basic T-Gate and Gate-Head Extended HEMTs
3.2.1. Simulation of the DC Characteristics
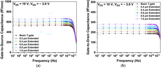
3.2.2. Simulation of RF Characteristics
3.3. Employment of a Gate-Recessed Structure in the 1.0 μm Extended HEMT
3.3.1. Simulation of DC Characteristics
3.3.2. Simulation of the RF Characteristics
4. Discussion
5. Conclusions
Author Contributions
Funding
Data Availability Statement
Conflicts of Interest
References
- Mishra, U.K.; Parikh, P.; Wu, Y.-F. AlGaN/GaN HEMTs-an overview of device operation and applications. Proc. IEEE 2002, 90, 1022–1031. [Google Scholar] [CrossRef]
- Mishra, U.K.; Shen, L.; Kazior, T.E.; Wu, Y.F. GaN-based RF power devices and amplifiers. Proc. IEEE 2008, 96, 287–305. [Google Scholar] [CrossRef]
- del Alamo, J.A.; Joh, J. GaN HEMT reliability. Microelectron. Reliab. 2009, 49, 1200–1206. [Google Scholar] [CrossRef]
- Ambacher, O.; Foutz, B.; Smart, J.; Shealy, J.R.; Weimann, N.G.; Chu, K.; Murphy, M.; Sierakowski, A.J.; Schaff, W.J.; Eastman, L.F.; et al. Two dimensional electron gases induced by spontaneous and piezoelectric polarization in undoped and doped AlGaN/GaN heterostructures. J. Appl. Phys. 2000, 87, 334–344. [Google Scholar] [CrossRef]
- Zhang, N.-Q.; Keller, S.; Parish, G.; Heikman, S.; DenBaars, S.; Mishra, U. High breakdown GaN HEMT with overlapping gate structure. IEEE Electron Device Lett. 2000, 21, 421–423. [Google Scholar] [CrossRef]
- Vashchenko, V.; Sinkevitch, V.F. Current instability and burnout of HEMT structures. Solid-State Electron. 1996, 39, 851–856. [Google Scholar] [CrossRef]
- Vetury, R.; Wu, Y.-F.; Fini, P.; Parish, G.; Keller, S.; DenBaars, S.; Mishra, U. Direct measurement of gate depletion in high breakdown (405 V) AlGaN/GaN heterostructure field effect transistors. In Proceedings of the International Electron Devices Meeting 1998. Technical Digest (Cat. No. 98CH36217), San Francisco, CA, USA, 6–9 December 2023; IEEE: Piscataway, NJ, USA, 1998; pp. 55–58. [Google Scholar]
- Bhat, A.M.; Shafi, N.; Sahu, C.; Periasamy, C. Analysis of AlGaN/GaN HEMT and Its Operational Improvement Using a Grated Gate Field Plate. J. Electron. Mater. 2021, 50, 6218–6227. [Google Scholar] [CrossRef]
- Kwak, H.-T.; Jang, K.-W.; Lee, S.-H.; Lim, J.-W.; Kim, H.-S. DC characteristics of AlGaN/GaN high-electron mobility transistor with a bottom plate connected to source-bridged field plate structure. J. Nanosci. Nanotechnol. 2019, 19, 2319–2322. [Google Scholar] [CrossRef]
- Choi, J.-H.; Kang, W.-S.; Kim, D.; Kim, J.-H.; Lee, J.-H.; Kim, K.-Y.; Min, B.-G.; Kang, D.M.; Kim, H.-S. Enhanced Operational Characteristics Attained by Applying HfO2 as Passivation in AlGaN/GaN High-Electron-Mobility Transistors: A Simulation Study. Micromachines 2023, 14, 1101. [Google Scholar] [CrossRef]
- Fletcher, A.A.; Nirmal, D.; Ajayan, J.; Arivazhagan, L. Analysis of AlGaN/GaN HEMT using discrete field plate technique for high power and high frequency applications. AEU-Int. J. Electron. Commun. 2019, 99, 325–330. [Google Scholar] [CrossRef]
- Chiang, C.-Y.; Hsu, H.-T.; Chang, E.Y. Effect of field plate on the RF performance of AlGaN/GaN HEMT devices. Phys. Procedia 2012, 25, 86–91. [Google Scholar] [CrossRef]
- Maroldt, S.; Haupt, C.; Pletschen, W.; Müller, S.; Quay, R.; Ambacher, O.; Schippel, C.; Schwierz, F. Gate-recessed AlGaN/GaN based enhancement-mode high electron mobility transistors for high frequency operation. Jpn. J. Appl. Phys. 2009, 48, 04C083. [Google Scholar] [CrossRef]
- Kim, H.S.; Kang, M.J.; Kim, J.J.; Seo, K.S.; Cha, H.Y. Effects of recessed-gate structure on AlGaN/GaN-on-SiC MIS-HEMTs with thin AlOxNy MIS gate. Materials 2020, 13, 1538. [Google Scholar] [CrossRef] [PubMed]
- Marso, M.; Heidelberger, G.; Indlekofer, K.; Bernat, J.; Fox, A.; Kordos, P.; Luth, H. Origin of improved RF performance of AlGaN/GaN MOSHFETs compared to HFETs. IEEE Trans. Electron Devices 2006, 53, 1517–1523. [Google Scholar] [CrossRef]
- Yoon, H.S.; Min, B.G.; Lee, J.M.; Kang, D.M.; Ahn, H.K.; Kim, H.; Lim, J. Microwave Low-Noise Performance of 0.17 µm Gate-Length AlGaN/GaN HEMTs on SiC With Wide Head Double-Deck T-Shaped Gate. IEEE Electron Device Lett. 2016, 37, 1407–1410. [Google Scholar] [CrossRef]
- Meneghesso, G.; Meneghini, M.; Zanoni, E. Breakdown mechanisms in AlGaN/GaN HEMTs: An overview. Jpn. J. Appl. Phys. 2014, 53, 100211. [Google Scholar] [CrossRef]
- Freedsman, J.J.; Egawa, T.; Yamaoka, Y.; Yano, Y.; Ubukata, A.; Tabuchi, T.; Matsumoto, K. Normally-off Al2O3/AlGaN/GaN MOS-HEMT on 8 in. Si with low leakage current and high breakdown voltage (825 V). Appl. Phys. Express 2014, 7, 041003. [Google Scholar] [CrossRef]
- Choi, J.-H.; Kim, D.; Lee, S.-J.; Kim, J.-H.; Cho, Y.-A.; Min, B.-G.; Kang, D.M.; Kim, H.-S. Improved RF Performances by Applying Asymmetric Passivation and Air-Bridged Field Plate in AlGaN/GaN HEMTs With Reliability-Based Simulation. IEEE Trans. Electron Devices, 2023; early access. [Google Scholar] [CrossRef]
- Uren, M.J.; Moreke, J.; Kuball, M. Buffer design to minimize current collapse in GaN/AlGaN HFETs. IEEE Trans. Electron Devices 2012, 59, 3327–3333. [Google Scholar] [CrossRef]
- Lee, J.-H.; Choi, J.-H.; Kang, W.-S.; Kim, D.; Min, B.-G.; Kang, D.M.; Choi, J.H.; Kim, H.-S. Analysis of Operational Characteristics of AlGaN/GaN High-Electron-Mobility Transistor with Various Slant-Gate-Based Structures: A Simulation Study. Micromachines 2022, 13, 1957. [Google Scholar] [CrossRef]
- Belkacemi, K.; Hocine, R. Efficient 3D-TLM modeling and simulation for the thermal management of microwave AlGaN/GaN HEMT used in high power amplifiers SSPA. J. Low Power Electron. Appl. 2018, 8, 23. [Google Scholar] [CrossRef]
- Palankovski, V.; Quay, R. Analysis and Simulation of Heterostructure Devices; Springer Science & Business Media: Berlin/Heidelberg, Germany, 2004; pp. 40–48. ISBN 978-3-7091-7193-6. [Google Scholar]
- Cahill, D.G.; Braun, P.V.; Chen, G.; Clarke, D.R.; Fan, S.; Goodson, K.E.; Keblinski, P.; King, W.P.; Mahan, G.D.; Majumdar, A.; et al. Nanoscale thermal transport. II. 2003–2012. Appl. Phys. Rev. 2014, 1, 011305. [Google Scholar] [CrossRef]
- Keblinski, P.; Phillpot, S.R.; Choi, S.U.S.; Eastman, J.A. Mechanisms of heat flow in suspensions of nano-sized particles (nanofluids). Int. J. Heat Mass Transf. 2002, 45, 855–863. [Google Scholar] [CrossRef]
- Vitanov, S.; Palankovski, V.; Maroldt, S.; Quay, R. High-temperature modeling of algan/gan hemts. Solid-State Electron. 2010, 54, 1105–1112. [Google Scholar] [CrossRef]
- Silvaco, Inc. Selberherr’s Impact Ionization Model. In Atlas User’s Manual Device Simulation Software; Silvaco Inc.: Santa Clara, CA, USA, 2016; pp. 558–559. [Google Scholar]
- Jang, K.-W.; Kim, H.-S. Operational characteristics of various AlGaN/GaN high electron mobility transistor structures concerning self-heating effect. J. Nanosci. Nanotechnol. 2019, 19, 6016–6022. [Google Scholar]
- Farahmand, M.; Garetto, C.; Bellotti, E.; Brennan, K.; Goano, M.; Ghillino, E.; Ghione, G.; Albrecht, J.; Ruden, P. Monte Carlo simulation of electron transport in the III-nitride wurtzite phase materials system: Binaries and ternaries. IEEE Trans. Electron Devices 2001, 48, 535–542. [Google Scholar] [CrossRef]
- Selberherr, S. MOS device modeling at 77 K. IEEE Trans. Electron Devices 1989, 36, 1464–1474. [Google Scholar] [CrossRef]
- Jang, K.W.; Hwang, I.T.; Kim, H.J.; Lee, S.H.; Lim, J.W.; Kim, H.S. Thermal analysis and operational characteristics of an AlGaN/GaN High electron mobility transistor with copper-filled structures: A simulation study. Micromachines 2019, 11, 53. [Google Scholar] [CrossRef]
- Grabowski, S.P.; Schneider, M.; Nienhaus, H.; Mönch, W.; Dimitrov, R.; Ambacher, O.; Stutzmann, M. Electron affinity of AlxGa1-x N (0001) surfaces. Appl. Phys. Lett. 2001, 78, 2503–2505. [Google Scholar] [CrossRef]
- Yoon, H.S.; Min, B.G.; Lee, J.M.; Kang, D.M.; Ahn, H.K.; Kim, H.C.; Lim, J.W. Wide head T-shaped gate process for low-noise AlGaN/GaN HEMTs. In Proceedings of the CS MANTECH Conference, Scottsdale, AZ, USA, 18–21 May 2015; pp. 18–21. [Google Scholar]
- Saito, W.; Suwa, T.; Uchihara, T.; Naka, T.; Kobayashi, T. Breakdown behaviour of high-voltage GaN-HEMTs. Microelectron. Reliab. 2015, 55, 1682–1686. [Google Scholar] [CrossRef]
- Zhu, J.; Zhu, Q.; Chen, L.; Hou, B.; Yang, L.; Zhou, X.; Ma, X.; Hao, Y. Impact of recess etching on the temperature-dependent characteristics of GaN-based MIS-HEMTs with Al2O3/AlN gate-stack. IEEE Trans. Electron Devices 2017, 64, 840–847. [Google Scholar] [CrossRef]
- Charfeddine, M. 2-D theoretical model for current-voltage characteristics in AlGaN/GaN HEMT’s. J. Mod. Phys. 2012, 3, 881. [Google Scholar] [CrossRef]
- Sharbati, S.; Gharibshahian, I.; Ebel, T.; Orouji, A.A.; Franke, W.-T. Analytical model for two-dimensional electron gas charge density in recessed-gate GaN high-electron-mobility transistors. J. Electron. Mater. 2021, 50, 3923–3929. [Google Scholar] [CrossRef]
- Saito, W.; Takada, Y.; Kuraguchi, M.; Tsuda, K.; Omura, I. Recessed-gate structure approach toward normally off high-voltage AlGaN/GaN HEMT for power electronics applications. IEEE Trans. Electron Devices 2006, 53, 356–362. [Google Scholar] [CrossRef]
- Ambacher, O.; Smart, J.; Shealy, J.R.; Weimann, N.G.; Chu, K.; Murphy, M.; Schaff, W.J.; Eastman, L.F.; Dimitrov, R.; Wittmer, L.; et al. Two-dimensional electron gases induced by spontaneous and piezoelectric polarization charges in N-and Ga-face AlGaN/GaN heterostructures. J. Appl. Phys. 1999, 85, 3222–3233. [Google Scholar] [CrossRef]
- Schwierz, F.; Liou, J.J. RF transistors: Recent developments and roadmap toward terahertz applications. Solid-State Electron. 2007, 51, 1079–1091. [Google Scholar] [CrossRef]
- Chanuel, A.; Gobil, Y.; Hsu, C.L.; Charles, M.; Coig, M.; Biscarrat, J.; Aussenac, F.; Defrance, N.; Gaquiere, C.; Gaillard, F.; et al. Breakdown Mechanism of AlGaN/GaN HEMT on 200-mm Silicon Substrate With Silicon Implant-Assisted Contacts. IEEE Trans. Electron Devices 2020, 69, 5530–5535. [Google Scholar] [CrossRef]














| Parameter | Value (μm) |
|---|---|
| ① | 5 |
| ② | 1.05 |
| ③ | 3.15 |
| ④ | 0.18 |
| ⑤ | 0.34 |
| ⑥ | 0.8 |
| ⑦ | 0.6 |
| ⑧ | 0.2 |
| Nucleation layer | 0.2 |
| GaN buffer | 2 |
| AlGaN barrier | 0.025 |
| 1st passivation | 0.05 |
| 2nd passivation | 0.25 |
| Parameters | Units | GaN | AlGaN |
|---|---|---|---|
| Bandgap energy | eV | 3.39 | 3.88 |
| Electron affinity | eV | 4.2 | 2.3 |
| Relative permittivity | - | 9.5 | 9.38 |
| Low field electron mobility | cm2/V-s | 1500 | 300 |
| High field electron mobility | - | GANSAT mobility model | |
| Saturation velocity | cm/s | ||
| Shockley-Read-Hall lifetime | s | ||
| Thermal conductivity constant | W/cm-K | 1.3 | 0.4 |
| Thermal conductivity factor | - | 0.43 | 0 |
| Acceptor trap doping | / | - | |
Disclaimer/Publisher’s Note: The statements, opinions and data contained in all publications are solely those of the individual author(s) and contributor(s) and not of MDPI and/or the editor(s). MDPI and/or the editor(s) disclaim responsibility for any injury to people or property resulting from any ideas, methods, instructions or products referred to in the content. |
© 2023 by the authors. Licensee MDPI, Basel, Switzerland. This article is an open access article distributed under the terms and conditions of the Creative Commons Attribution (CC BY) license (https://creativecommons.org/licenses/by/4.0/).
Share and Cite
Kang, W.-S.; Choi, J.-H.; Kim, D.; Kim, J.-H.; Lee, J.-H.; Min, B.-G.; Kang, D.M.; Choi, J.H.; Kim, H.-S. Optimization of Gate-Head-Top/Bottom Lengths of AlGaN/GaN High-Electron-Mobility Transistors with a Gate-Recessed Structure for High-Power Operations: A Simulation Study. Micromachines 2024, 15, 57. https://doi.org/10.3390/mi15010057
Kang W-S, Choi J-H, Kim D, Kim J-H, Lee J-H, Min B-G, Kang DM, Choi JH, Kim H-S. Optimization of Gate-Head-Top/Bottom Lengths of AlGaN/GaN High-Electron-Mobility Transistors with a Gate-Recessed Structure for High-Power Operations: A Simulation Study. Micromachines. 2024; 15(1):57. https://doi.org/10.3390/mi15010057
Chicago/Turabian StyleKang, Woo-Seok, Jun-Hyeok Choi, Dohyung Kim, Ji-Hun Kim, Jun-Ho Lee, Byoung-Gue Min, Dong Min Kang, Jung Han Choi, and Hyun-Seok Kim. 2024. "Optimization of Gate-Head-Top/Bottom Lengths of AlGaN/GaN High-Electron-Mobility Transistors with a Gate-Recessed Structure for High-Power Operations: A Simulation Study" Micromachines 15, no. 1: 57. https://doi.org/10.3390/mi15010057
APA StyleKang, W.-S., Choi, J.-H., Kim, D., Kim, J.-H., Lee, J.-H., Min, B.-G., Kang, D. M., Choi, J. H., & Kim, H.-S. (2024). Optimization of Gate-Head-Top/Bottom Lengths of AlGaN/GaN High-Electron-Mobility Transistors with a Gate-Recessed Structure for High-Power Operations: A Simulation Study. Micromachines, 15(1), 57. https://doi.org/10.3390/mi15010057

