A Quad-Band Highly Selective Frequency Selective Surface with Ultra-Wideband Rejection
Abstract
1. Introduction
2. FSS Description and Simulation Results
2.1. FSS Structure Design and Equivalent Circuit Model Construction
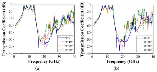
2.2. Performance Simulation and Analysis
3. Experimental Verification
4. Conclusions
Author Contributions
Funding
Data Availability Statement
Conflicts of Interest
References
- Munk, B.A. Frequency Selective Surfaces: Theory and Design; Wiley: New York, NY, USA, 2000. [Google Scholar] [CrossRef]
- Liao, W.J.; Zhang, W.Y.; Hou, Y.C.; Chen, S.T.; Kuo, C.Y.; Chou, M. An FSS-Integrated Low-RCS Radome Design. IEEE Antennas Wirel. Propag. Lett. 2019, 18, 2076–2080. [Google Scholar] [CrossRef]
- Narayan, S.; Gulati, G.; Sangeetha, B.; Nair, R.U. Novel Metamaterial-Element-Based FSS for Airborne Radome Applications. IEEE Trans. Antennas Propag. 2018, 66, 4695–4707. [Google Scholar] [CrossRef]
- Xie, D.; Liu, X.; Guo, H.; Yang, X.; Liu, C.; Zhu, L. A Wideband Absorber With a Multiresonant Gridded-Square FSS for Antenna RCS Reduction. IEEE Antennas Wirel. Propag. Lett. 2017, 16, 629–632. [Google Scholar] [CrossRef]
- Borhani Kakhki, M.; Mantash, M.; Kesavan, A.; Tahseen, M.M.; Denidni, T.A. Millimeter-Wave Beam-Tilting Vivaldi Antenna with Gain Enhancement Using Multilayer FSS. IEEE Antennas Wirel. Propag. Lett. 2018, 17, 2279–2283. [Google Scholar] [CrossRef]
- Wu, T.; Woo, K.; Lee, S. Multi-ring element FSS for multi-band applications. In Proceedings of the IEEE Antennas and Propagation Society International Symposium 1992 Digest, Chicago, IL, USA, 18–25 June 1992; Volume 4, pp. 1775–1778. [Google Scholar] [CrossRef]
- Rahmati, B.; Hassani, H.R. Multiband Metallic Frequency Selective Surface with Wide Range of Band Ratio. IEEE Trans. Antennas Propag. 2015, 63, 3747–3753. [Google Scholar] [CrossRef]
- Salehi, M.; Behdad, N. A Second-Order Dual X-/Ka-Band Frequency Selective Surface. IEEE Microw. Wirel. Components Lett. 2008, 18, 785–787. [Google Scholar] [CrossRef]
- Liu, N.; Sheng, X.; Zhang, C.; Fan, J.; Guo, D. A Miniaturized Triband Frequency Selective Surface Based on Convoluted Design. IEEE Antennas Wirel. Propag. Lett. 2017, 16, 2384–2387. [Google Scholar] [CrossRef]
- Yan, M.; Wang, J.; Ma, H.; Qu, S.; Zhang, J.; Xu, C.; Zheng, L.; Zhang, A. A Quad-Band Frequency Selective Surface with Highly Selective Characteristics. IEEE Microw. Wirel. Components Lett. 2016, 26, 562–564. [Google Scholar] [CrossRef]
- Hong, T.; Guo, S.; Jiang, W.; Gong, S. Highly Selective Frequency Selective Surface with Ultrawideband Rejection. IEEE Trans. Antennas Propag. 2022, 70, 3459–3468. [Google Scholar] [CrossRef]
- Wu, B.; Li, H.L.; Zhao, Y.T.; Wang, Y.L.; Lu, W.B.; Chen, L. Design and Validation of Flexible Multilayer Frequency Selective Surface with Transmission Zeros. IEEE Antennas Wirel. Propag. Lett. 2019, 18, 250–254. [Google Scholar] [CrossRef]
- Yang, X.; Luyen, H.; Xu, S.; Behdad, N. Design Method for Low-Profile, Harmonic-Suppressed Filter-Antennas Using Miniaturized-Element Frequency Selective Surfaces. IEEE Antennas Wirel. Propag. Lett. 2019, 18, 427–431. [Google Scholar] [CrossRef]
- Liu, N.; Sheng, X.; Zhang, C.; Guo, D. Design and Synthesis of Band-Pass Frequency Selective Surface with Wideband Rejection and Fast Roll-Off Characteristics for Radome Applications. IEEE Trans. Antennas Propag. 2020, 68, 2975–2983. [Google Scholar] [CrossRef]
- He, Z.; Shao, Y.; Huang, J.; Zhang, C.; Zhang, J. A Tri-band Highly Selective Passband Frequency Selective Surface Based on Multi-layer Coupling. In Proceedings of the 2021 IEEE International Symposium on Antennas and Propagation and USNC-URSI Radio Science Meeting (APS/URSI), Singapore, 4–10 December 2021; pp. 1693–1694. [Google Scholar] [CrossRef]
- Zhao, P.C.; Zong, Z.Y.; Wu, W.; Fang, D.G. A Convoluted Structure for Miniaturized Frequency Selective Surface and Its Equivalent Circuit for Optimization Design. IEEE Trans. Antennas Propag. 2016, 64, 2963–2970. [Google Scholar] [CrossRef]
- Afzal, W.; Ebrahimi, A.; Robel, M.R.; Rowe, W.S.T. Low-Profile Higher-Order Narrowband Bandpass Miniaturized-Element Frequency-Selective Surface. IEEE Trans. Antennas Propag. 2023, 71, 3736–3740. [Google Scholar] [CrossRef]
- Sarabandi, K.; Behdad, N. A Frequency Selective Surface with Miniaturized Elements. IEEE Trans. Antennas Propag. 2007, 55, 1239–1245. [Google Scholar] [CrossRef]
- Ferreira, D.; Caldeirinha, R.F.S.; Cuiñas, I.; Fernandes, T.R. Square Loop and Slot Frequency Selective Surfaces Study for Equivalent Circuit Model Optimization. IEEE Trans. Antennas Propag. 2015, 63, 3947–3955. [Google Scholar] [CrossRef]








Disclaimer/Publisher’s Note: The statements, opinions and data contained in all publications are solely those of the individual author(s) and contributor(s) and not of MDPI and/or the editor(s). MDPI and/or the editor(s) disclaim responsibility for any injury to people or property resulting from any ideas, methods, instructions or products referred to in the content. |
© 2024 by the authors. Licensee MDPI, Basel, Switzerland. This article is an open access article distributed under the terms and conditions of the Creative Commons Attribution (CC BY) license (https://creativecommons.org/licenses/by/4.0/).
Share and Cite
Wang, M.; Xiang, Z.; Li, Y.; Xu, B.; Yang, L. A Quad-Band Highly Selective Frequency Selective Surface with Ultra-Wideband Rejection. Micromachines 2024, 15, 126. https://doi.org/10.3390/mi15010126
Wang M, Xiang Z, Li Y, Xu B, Yang L. A Quad-Band Highly Selective Frequency Selective Surface with Ultra-Wideband Rejection. Micromachines. 2024; 15(1):126. https://doi.org/10.3390/mi15010126
Chicago/Turabian StyleWang, Minrui, Zheng Xiang, Yi Li, Baoyi Xu, and Long Yang. 2024. "A Quad-Band Highly Selective Frequency Selective Surface with Ultra-Wideband Rejection" Micromachines 15, no. 1: 126. https://doi.org/10.3390/mi15010126
APA StyleWang, M., Xiang, Z., Li, Y., Xu, B., & Yang, L. (2024). A Quad-Band Highly Selective Frequency Selective Surface with Ultra-Wideband Rejection. Micromachines, 15(1), 126. https://doi.org/10.3390/mi15010126

