A Comprehensive Study of Temperature and Its Effects in SOT-MRAM Devices
Abstract
1. Introduction
2. Method
2.1. Implementation
2.2. Simulated Structures
2.3. Simulation Parameters
3. Results
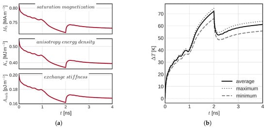
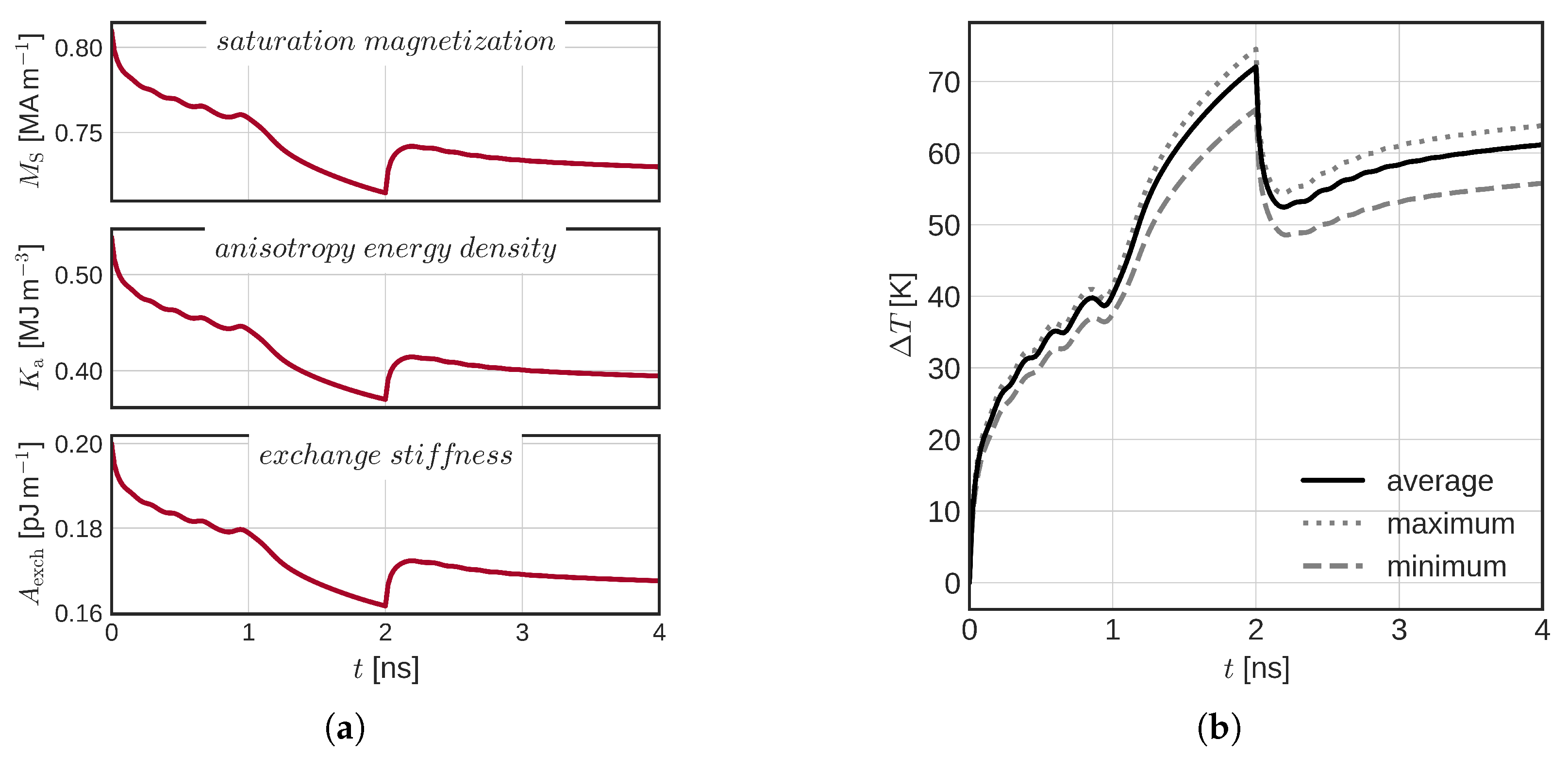
3.1. Temperature of the Structure
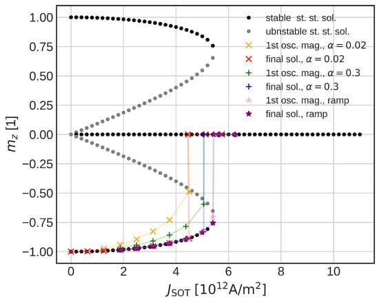
3.2. Effect of Temperature on the Initial Switching Dynamics
3.3. Field-Free Switching—Combined STT-SOT-MRAM
3.4. Switching with External Fields
4. Conclusions
Author Contributions
Funding
Data Availability Statement
Acknowledgments
Conflicts of Interest
Appendix A
| Parameter | Value |
|---|---|
| MTJ Parameters | |
| Tunnel magnetoresistance ratio (TMR) | 200% |
| Current spin polarization, | |
| Diffusion spin polarization, | |
| Resistance parallel | |
| Resistance antiparallel | |
| Magnetic Parameters of FeCoB | |
| Gilbert damping, | |
| Gyromagnetic ratio, | |
| Saturation magnetization (300 K), | |
| Exchange stiffness, | |
| Anisotropy energy density, | |
| Material ↓ / Parameter → | |||||
|---|---|---|---|---|---|
| FeCoB | 1 | 10 | 0.4 | 0.8 | - |
| MgO | - | - | - | - | - |
| -W | 0.2 | 2.4 | - | - | −0.3 |
| Contacts, Vias | 1.1 | 1.4 | - | - | - |
| SiO | 0.1 | 1.4 | - | - | - |
| Substrate | 0.2 | 1.4 | - | - | - |
| Material ↓ / Parameter → | () | |||
|---|---|---|---|---|
| FeCoB | 4 | 8800 | 612 | 36 |
| MgO | - | 3580 | 877 | 0.4 [49] |
| -W | 0.6 | 19,300 | 134 | 173 |
| Contacts, Vias | 7 | 8800 | 420 | 122 |
| SiO | 0 | 2200 | 730 | 1.4 |
| Substrate | 1 | 2330 | 710 | 150 |
References
- Chang, M.T.; Rosenfeld, P.; Lu, S.L.; Jacob, B. Technology comparison for large last-level caches (L3Cs): Low-leakage SRAM, low write-energy STT-RAM, and refresh-optimized eDRAM. In Proceedings of the International Symposium on High Performance Computer Architecture (HPCA), Shenzhen, China, 23–27 February 2013; pp. 143–154. [Google Scholar] [CrossRef]
- Komalan, M.; Rock, O.H.; Hartmann, M.; Sakhare, S.; Tenllado, C.; Gomez, J.I.; Kar, G.S.; Furnemont, A.; Catthoor, F.; Senni, S.; et al. Main memory organization trade-offs with DRAM and STT-MRAM options based on gem5-NVMain simulation frameworks. In Proceedings of the Design, Automation and Test in Europe Conference and Exhibition (DATE), Dresden, Germany, 19–23 March 2018; pp. 103–108. [Google Scholar] [CrossRef]
- Pey, K.L.; Lim, J.H.; Raghavan, N.; Mei, S.; Kwon, J.H.; Naik, V.B.; Yamane, K.; Yang, H.; Lee, K. New Insights into Dielectric Breakdown of MgO in STT-MRAM Devices. In Proceedings of the Electron Devices Technology and Manufacturing Conference (EDTM), Singapore, 12–15 March 2019; pp. 264–266. [Google Scholar] [CrossRef]
- Panagopoulos, G.; Augustine, C.; Roy, K. Modeling of dielectric breakdown-induced time-dependent STT-MRAM performance degradation. In Proceedings of the Device Research Conference, Santa Barbara, CA, USA, 20–22 June 2011; pp. 125–126. [Google Scholar] [CrossRef]
- Liu, L.; Pai, C.F.; Li, Y.; Tseng, H.W.; Ralph, D.C.; Buhrman, R.A. Spin-torque switching with the giant spin Hall effect of tantalum. Science 2012, 336, 555–558. [Google Scholar] [CrossRef] [PubMed]
- Yu, G.; Upadhyaya, P.; Fan, Y.; Alzate, J.G.; Jiang, W.; Wong, K.L.; Takei, S.; Bender, S.A.; Chang, L.T.; Jiang, Y.; et al. Switching of perpendicular magnetization by spin–orbit torques in the absence of external magnetic fields. Nat. Nanotechnol. 2014, 9, 548–554. [Google Scholar] [CrossRef]
- Cai, K.; Talmelli, G.; Fan, K.; Van Beek, S.; Kateel, V.; Gupta, M.; Monteiro, M.; Chroud, M.B.; Jayakumar, G.; Trovato, A.; et al. First demonstration of field-free perpendicular SOT-MRAM for ultrafast and high-density embedded memories. In Proceedings of the International Electron Devices Meeting (IEDM), San Francisco, CA, USA, 3–7 December 2022; pp. 36.2.1–36.2.4. [Google Scholar] [CrossRef]
- Grimaldi, E.; Krizakova, V.; Sala, G.; Yasin, F.; Couet, S.; Kar, G.S.; Garello, K.; Gambardella, P. Single-shot dynamics of spin–orbit torque and spin transfer torque switching in three-terminal magnetic tunnel junctions. Nat. Nanotechnol. 2020, 15, 111–117. [Google Scholar] [CrossRef] [PubMed]
- Garello, K.; Yasin, F.; Hody, H.; Couet, S.; Souriau, L.; Sharifi, S.H.; Swerts, J.; Carpenter, R.; Rao, S.; Kim, W.; et al. Manufacturable 300mm platform solution for field-free switching SOT-MRAM. In Proceedings of the Symposium on VLSI Technology and Circuits, Kyoto, Japan, 9–14 June 2019; pp. T194–T195. [Google Scholar] [CrossRef]
- Lyu, H.; Zhao, Y.; Qi, J.; Huang, H.; Zhang, J.; Yang, G.; Guo, Y.; Shen, S.; Qin, W.; Sun, Y.; et al. Field-Free Magnetization Switching Driven by Spin-Orbit Torque in L10-FeCrPt Single Layer. Adv. Funct. Mater. 2022, 32, 2200660. [Google Scholar] [CrossRef]
- Zeinali, B.; Madsen, J.K.; Raghavan, P.; Moradi, F. Ultra-fast SOT-MRAM cell with STT current for deterministic switching. In Proceedings of the International Conference on Computer Design (ICCD), Boston, MA, USA, 5–8 November 2017; pp. 463–468. [Google Scholar] [CrossRef]
- Kim, H.J.; Moon, K.W.; Tran, B.X.; Yoon, S.; Kim, C.; Yang, S.; Ha, J.H.; An, K.; Ju, T.S.; Hong, J.I.; et al. Field-free switching of magnetization by tilting the perpendicular magnetic anisotropy of Gd/Co multilayers. Adv. Funct. Mater. 2022, 32, 2112561. [Google Scholar] [CrossRef]
- Fukami, S.; Zhang, C.; DuttaGupta, S.; Kurenkov, A.; Ohno, H. Magnetization switching by spin–orbit torque in an antiferromagnet–ferromagnet bilayer system. Nat. Mater. 2016, 15, 535–541. [Google Scholar] [CrossRef] [PubMed]
- Lau, Y.C.; Betto, D.; Rode, K.; Coey, J.M.D.; Stamenov, P. Spin–orbit torque switching without an external field using interlayer exchange coupling. Nat. Nanotechnol. 2016, 11, 758–762. [Google Scholar] [CrossRef]
- Cai, K.; Yang, M.; Ju, H.; Wang, S.; Ji, Y.; Li, B.; Edmonds, K.W.; Sheng, Y.; Zhang, B.; Zhang, N.; et al. Electric field control of deterministic current-induced magnetization switching in a hybrid ferromagnetic/ferroelectric structure. Nat. Mater. 2017, 16, 712–716. [Google Scholar] [CrossRef]
- Zheng, Z.; Zhang, Y.; Lopez-Dominguez, V.; Sánchez-Tejerina, L.; Shi, J.; Feng, X.; Chen, L.; Wang, Z.; Zhang, Z.; Zhang, K.; et al. Field-free spin-orbit torque-induced switching of perpendicular magnetization in a ferrimagnetic layer with a vertical composition gradient. Nat. Commun. 2021, 12, 4555. [Google Scholar] [CrossRef]
- Wu, H.; Nance, J.; Razavi, S.A.; Lujan, D.; Dai, B.; Liu, Y.; He, H.; Cui, B.; Wu, D.; Wong, K.; et al. Chiral Symmetry Breaking for Deterministic Switching of Perpendicular Magnetization by Spin–Orbit Torque. Nano Lett. 2020, 21, 515–521. [Google Scholar] [CrossRef]
- Liu, L.; Zhou, C.; Zhao, T.; Yao, B.; Zhou, J.; Shu, X.; Chen, S.; Shi, S.; Xi, S.; Lan, D.; et al. Current-induced self-switching of perpendicular magnetization in CoPt single layer. Nat. Commun. 2022, 13, 3539. [Google Scholar] [CrossRef] [PubMed]
- Cao, Y.; Sheng, Y.; Edmonds, K.W.; Ji, Y.; Zheng, H.; Wang, K. Deterministic Magnetization Switching Using Lateral Spin–Orbit Torque. Adv. Mater. 2020, 32, 1907929. [Google Scholar] [CrossRef]
- Ma, Q.; Li, Y.; Gopman, D.; Kabanov, Y.; Shull, R.; Chien, C. Switching a Perpendicular Ferromagnetic Layer by Competing Spin Currents. Phys. Rev. Lett. 2018, 120, 117703. [Google Scholar] [CrossRef] [PubMed]
- Baek, S.-h.C.; Amin, V.P.; Oh, Y.W.; Go, G.; Lee, S.J.; Lee, G.H.; Kim, K.J.; Stiles, M.D.; Park, B.G.; Lee, K.J. Spin currents and spin–orbit torques in ferromagnetic trilayers. Nat. Mater. 2018, 17, 509–513. [Google Scholar] [CrossRef]
- Liu, L.; Zhou, C.; Shu, X.; Li, C.; Zhao, T.; Lin, W.; Deng, J.; Xie, Q.; Chen, S.; Zhou, J.; et al. Symmetry-dependent field-free switching of perpendicular magnetization. Nat. Nanotechnol. 2021, 16, 277–282. [Google Scholar] [CrossRef]
- Kao, I.H.; Muzzio, R.; Zhang, H.; Zhu, M.; Gobbo, J.; Yuan, S.; Weber, D.; Rao, R.; Li, J.; Edgar, J.H.; et al. Deterministic switching of a perpendicularly polarized magnet using unconventional spin–orbit torques in WTe2. Nat. Mater. 2022, 21, 1029–1034. [Google Scholar] [CrossRef]
- Yang, M.; Li, Y.; Luo, J.; Deng, Y.; Zhang, N.; Zhang, X.; Li, S.; Cui, Y.; Yu, P.; Yang, T.; et al. All-Linear Multistate Magnetic Switching Induced by Electrical Current. Phys. Rev. Appl. 2021, 15, 054013. [Google Scholar] [CrossRef]
- Li, Y.; Yang, M.; Yu, G.; Cui, B.; Luo, J. Current controlled non-hysteresis magnetic switching in the absence of magnetic field. Appl. Phys. Lett. 2022, 120, 062402. [Google Scholar] [CrossRef]
- Pathak, S.; Youm, C.; Hong, J. Impact of Spin-Orbit Torque on Spin-Transfer Torque Switching in Magnetic Tunnel Junctions. Sci. Rep. 2020, 10, 2799. [Google Scholar] [CrossRef]
- Meo, A.; Chureemart, J.; Chantrell, R.W.; Chureemart, P. Magnetisation switching dynamics induced by combination of spin transfer torque and spin orbit torque. Sci. Rep. 2022, 12, 3380. [Google Scholar] [CrossRef]
- Lu, J.; Li, W.; Liu, J.; Liu, Z.; Wang, Y.; Jiang, C.; Du, J.; Lu, S.; Lei, N.; Peng, S.; et al. Voltage-gated spin-orbit torque switching in IrMn-based perpendicular magnetic tunnel junctions. Appl. Phys. Lett. 2023, 122, 012402. [Google Scholar] [CrossRef]
- Razavi, S.A.; Wu, D.; Yu, G.; Lau, Y.C.; Wong, K.L.; Zhu, W.; He, C.; Zhang, Z.; Coey, J.; Stamenov, P.; et al. Joule Heating Effect on Field-Free Magnetization Switching by Spin-Orbit Torque in Exchange-Biased Systems. Phys. Rev. Appl. 2017, 7, 024023. [Google Scholar] [CrossRef]
- Rahaman, S.Z.; Wang, I.J.; Chen, T.Y.; Pai, C.F.; Wang, D.Y.; Wei, J.H.; Lee, H.H.; Hsin, Y.C.; Chang, Y.J.; Yang, S.Y.; et al. Pulse-Width and Temperature Effect on the Switching Behavior of an Etch-Stop-on-MgO-Barrier Spin-Orbit Torque MRAM Cell. IEEE Electron Device Lett. 2018, 39, 1306–1309. [Google Scholar] [CrossRef]
- Pham, T.H.; Je, S.G.; Vallobra, P.; Fache, T.; Lacour, D.; Malinowski, G.; Cyrille, M.; Gaudin, G.; Boulle, O.; Hehn, M.; et al. Thermal Contribution to the Spin-Orbit Torque in Metallic-Ferrimagnetic Systems. Phys. Rev. Appl. 2018, 9, 064032. [Google Scholar] [CrossRef]
- Arpaci, S.; Lopez-Dominguez, V.; Shi, J.; Sánchez-Tejerina, L.; Garesci, F.; Wang, C.; Yan, X.; Sangwan, V.K.; Grayson, M.A.; Hersam, M.C.; et al. Observation of current-induced switching in non-collinear antiferromagnetic IrMn3 by differential voltage measurements. Nat. Commun. 2021, 12, 3828. [Google Scholar] [CrossRef]
- Fredkin, D.R.; Koehler, T.R. Hybrid method for computing demagnetizing fields. IEEE Trans. Magn. 1990, 26, 415–417. [Google Scholar] [CrossRef]
- Abert, C.; Ruggeri, M.; Bruckner, F.; Vogler, C.; Hrkac, G.; Praetorius, D.; Suess, D. A three-dimensional spin-diffusion model for micromagnetics. Sci. Rep. 2015, 5, 14855. [Google Scholar] [CrossRef]
- Lepadatu, S. Unified treatment of spin torques using a coupled magnetisation dynamics and three-dimensional spin current solver. Sci. Rep. 2017, 7, 12937. [Google Scholar] [CrossRef]
- Amin, V.P.; Stiles, M.D. Spin transport at interfaces with spin-orbit coupling: Phenomenology. Phys. Rev. B 2016, 94, 104420. [Google Scholar] [CrossRef]
- Slonczewski, J.C. Currents, torques, and polarization factors in magnetic tunnel junctions. Phys. Rev. B 2005, 71, 024411. [Google Scholar] [CrossRef]
- Zhu, J.G.; Park, C. Magnetic tunnel junctions. Mater. Today 2006, 9, 36–45. [Google Scholar] [CrossRef]
- Alzate, J.G.; Khalili Amiri, P.; Yu, G.; Upadhyaya, P.; Katine, J.A.; Langer, J.; Ocker, B.; Krivorotov, I.N.; Wang, K.L. Temperature dependence of the voltage-controlled perpendicular anisotropy in nanoscale MgO|CoFeB|Ta magnetic tunnel junctions. Appl. Phys. Lett. 2014, 104, 112410. [Google Scholar] [CrossRef]
- Christian Doppler Laboratory for Nonvolatile Memory and Logic, ViennaSpinMag. 2023. Available online: https://www.iue.tuwien.ac.at/viennaspinmag/ (accessed on 14 June 2023).
- Fiorentini, S.; Jørstad, N.P.; Ender, J.; de Orio, R.L.; Selberherr, S.; Bendra, M.; Goes, W.; Sverdlov, V. Finite element approach for the simulation of modern MRAM devices. Micromachines 2023, 14, 898. [Google Scholar] [CrossRef]
- Honjo, H.; Nguyen, T.V.A.; Watanabe, T.; Nasuno, T.; Zhang, C.; Tanigawa, T.; Miura, S.; Inoue, H.; Niwa, M.; Yoshiduka, T.; et al. First demonstration of field-free SOT-MRAM with 0.35 ns write speed and 70 thermal stability under 400 °C thermal tolerance by canted SOT structure and its advanced patterning/SOT channel technology. In Proceedings of the IEEE International Electron Devices Meeting (IEDM), San Francisco, CA, USA, 7–11 December 2019; pp. 28.5.1–28.5.4. [Google Scholar] [CrossRef]
- Litzius, K.; Leliaert, J.; Bassirian, P.; Rodrigues, D.; Kromin, S.; Lemesh, I.; Zazvorka, J.; Lee, K.J.; Mulkers, J.; Kerber, N.; et al. The role of temperature and drive current in skyrmion dynamics. Nat. Electron. 2020, 3, 30–36. [Google Scholar] [CrossRef]
- Devolder, T.; Kim, J.V.; Nistor, L.; Sousa, R.; Rodmacq, B.; Diény, B. Exchange stiffness in ultrathin perpendicularly magnetized CoFeB layers determined using the spectroscopy of electrically excited spin waves. J. Appl. Phys. 2016, 120, 183902. [Google Scholar] [CrossRef]
- Lee, K.M.; Choi, J.W.; Sok, J.; Min, B.C. Temperature dependence of the interfacial magnetic anisotropy in W/CoFeB/MgO. AIP Adv. 2017, 7, 065107. [Google Scholar] [CrossRef]
- Hadámek, T.; Fiorentini, S.; Bendra, M.; Ender, J.; de Orio, R.; Goes, W.; Selberherr, S.; Sverdlov, V. Temperature increase in STT-MRAM at writing: A fully three-dimensional finite element approach. Solid-State Electron. 2022, 193, 108269. [Google Scholar] [CrossRef]
- Lee, K.S.; Lee, S.W.; Min, B.C.; Lee, K.J. Threshold current for switching of a perpendicular magnetic layer induced by spin Hall effect. Appl. Phys. Lett. 2013, 102, 112410. [Google Scholar] [CrossRef]
- Lepadatu, S. Boris Computational Spintronics. 2023. Available online: https://www.boris-spintronics.uk/ (accessed on 14 June 2023).
- Zhang, J.; Bachman, M.; Czerner, M.; Heiliger, C. Thermal transport and nonequilibrium temperature drop across a magnetic tunnel junction. Phys. Rev. Lett. 2015, 115, 037203. [Google Scholar] [CrossRef]










| Structure | (ns) | (ns) | (ns) |
|---|---|---|---|
| Structure I, 2.4 | 0.073 | 0.746 | 5.013 |
| Structure I, 2.6 | 0.072 | 0.733 | 4.896 |
| Structure I, [8] | 0.152 | 1.216 | 5.796 |
| Structure II | 0.035 | 0.439 | 2.539 |
Disclaimer/Publisher’s Note: The statements, opinions and data contained in all publications are solely those of the individual author(s) and contributor(s) and not of MDPI and/or the editor(s). MDPI and/or the editor(s) disclaim responsibility for any injury to people or property resulting from any ideas, methods, instructions or products referred to in the content. |
© 2023 by the authors. Licensee MDPI, Basel, Switzerland. This article is an open access article distributed under the terms and conditions of the Creative Commons Attribution (CC BY) license (https://creativecommons.org/licenses/by/4.0/).
Share and Cite
Hadámek, T.; Jørstad, N.P.; de Orio, R.L.; Goes, W.; Selberherr, S.; Sverdlov, V. A Comprehensive Study of Temperature and Its Effects in SOT-MRAM Devices. Micromachines 2023, 14, 1581. https://doi.org/10.3390/mi14081581
Hadámek T, Jørstad NP, de Orio RL, Goes W, Selberherr S, Sverdlov V. A Comprehensive Study of Temperature and Its Effects in SOT-MRAM Devices. Micromachines. 2023; 14(8):1581. https://doi.org/10.3390/mi14081581
Chicago/Turabian StyleHadámek, Tomáš, Nils Petter Jørstad, Roberto Lacerda de Orio, Wolfgang Goes, Siegfried Selberherr, and Viktor Sverdlov. 2023. "A Comprehensive Study of Temperature and Its Effects in SOT-MRAM Devices" Micromachines 14, no. 8: 1581. https://doi.org/10.3390/mi14081581
APA StyleHadámek, T., Jørstad, N. P., de Orio, R. L., Goes, W., Selberherr, S., & Sverdlov, V. (2023). A Comprehensive Study of Temperature and Its Effects in SOT-MRAM Devices. Micromachines, 14(8), 1581. https://doi.org/10.3390/mi14081581

