Piezotronic and Piezo-Phototronic Effects-Enhanced Core–Shell Structure-Based Nanowire Field-Effect Transistors
Abstract
1. Introduction
2. Simulation Model and Finite Element Method
3. Results and Discussion
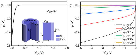
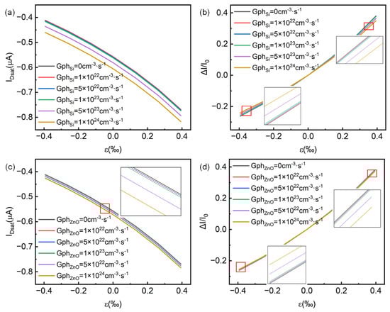
3.1. Basic Characteristics and Piezotronic and Piezo-Phototronic Effects on p-Channel Core–Shell Structure-Based HJFET
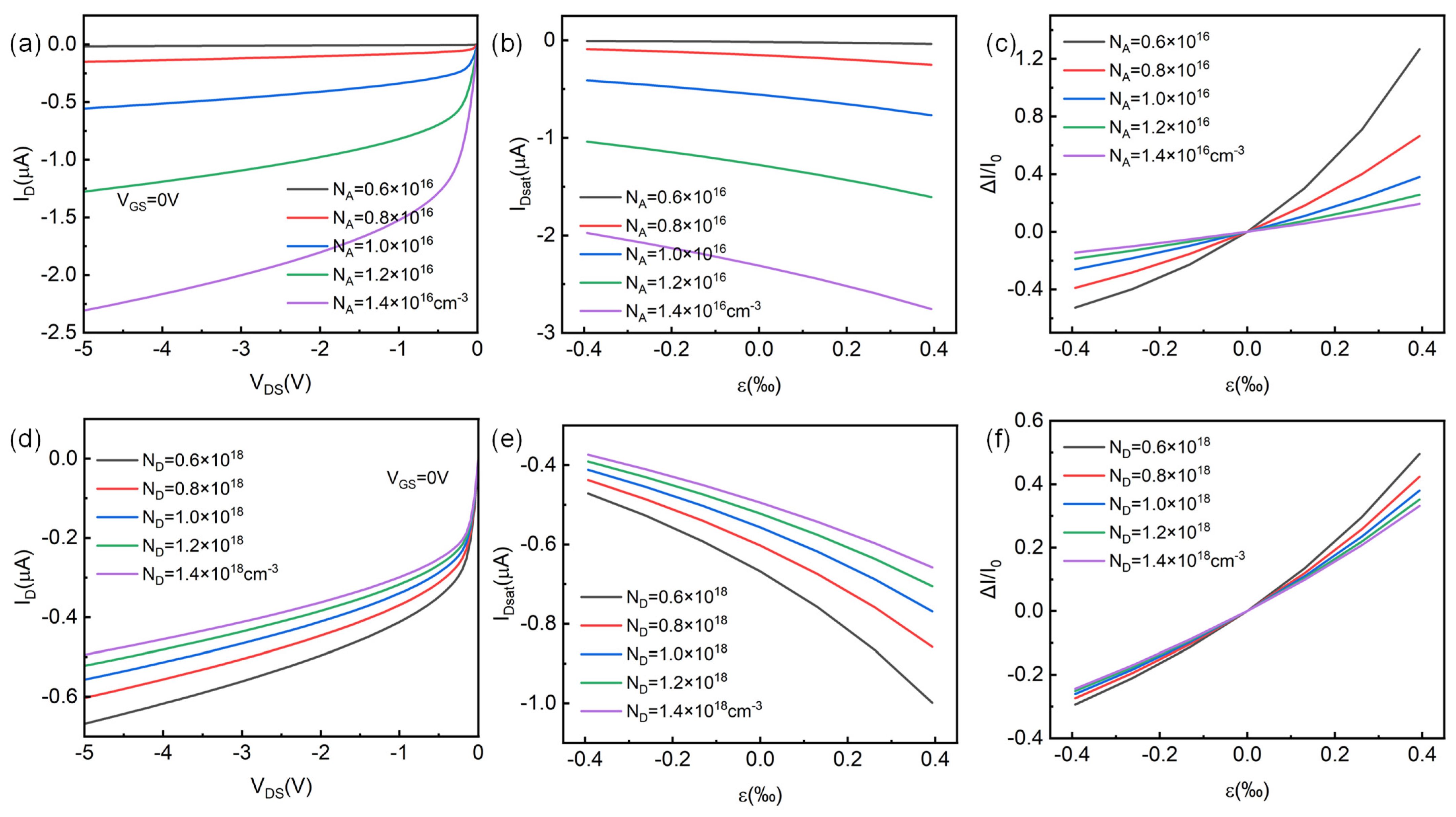
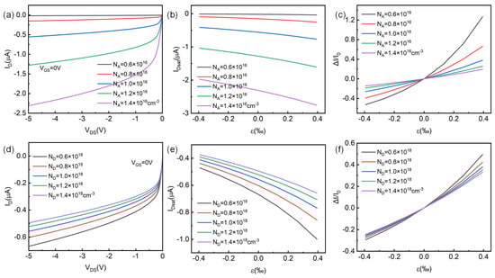
3.2. Effects of Structure Parameters, Doping Concentrations, and Gate Voltages on p-Channel Core–Shell Structure-Based HJFET
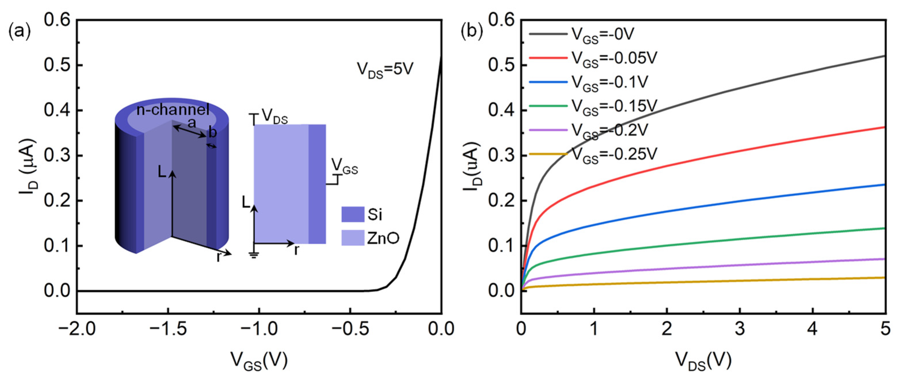
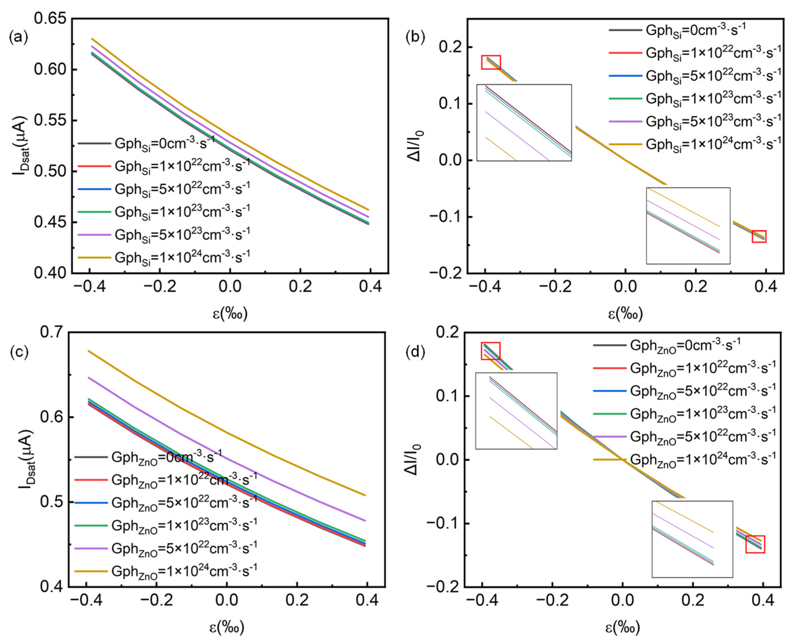
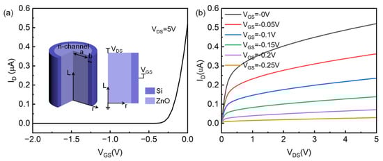
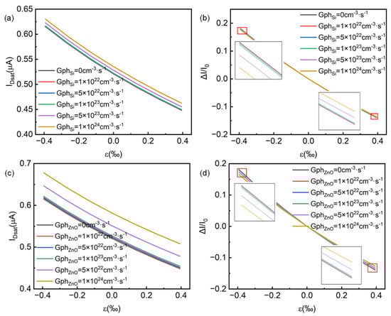
3.3. Piezotronic and Piezo-Phototronic Effects on n-Channel Core–Shell Structure-Based HJFET
4. Conclusions
Author Contributions
Funding
Data Availability Statement
Conflicts of Interest
References
- Boruah, B.D. Zinc oxide ultraviolet photodetectors: Rapid progress from conventional to self-powered photodetectors. Nanoscale Adv. 2019, 1, 2059–2085. [Google Scholar] [CrossRef]
- Li, Z.; Li, Z.; Zuo, C.; Fang, X. Application of Nanostructured TiO2 in UV Photodetectors: A Review. Adv. Mater. 2022, 34, 2109083. [Google Scholar] [CrossRef] [PubMed]
- Qu, L.; Ji, J.; Liu, X.; Shao, Z.; Cui, M.; Zhang, Y.; Fu, Z.; Huang, Y.; Yang, G.; Feng, W. Oxygen-vacancy-dependent high-performance α-Ga2O3 nanorods photoelectrochemical deep UV photodetectors. Nano-Technology 2023, 34, 225203. [Google Scholar] [CrossRef] [PubMed]
- Zhang, M.; Kang, S.; Wang, L.; Zhang, K.; Wu, Y.; Feng, S.; Lu, W. Facile synthesis of β–Ga2O3 nanowires network for solar-blind ultraviolet photodetector. J. Phys. D Appl. Phys. 2021, 54, 175106. [Google Scholar] [CrossRef]
- Gao, J.; Hao, Z.; Niu, L.; Wang, L.; Sun, C.; Xiong, B.; Han, Y.; Wang, J.; Li, H.; Luo, Y.; et al. Surface acoustic wave devices fabricated on epitaxial AlN film. Funct. Mater. Lett. 2016, 9, 1650034. [Google Scholar] [CrossRef]
- Jaafar, M.M.; Wee, M.F.M.R.; Nguyen, H.-T.; Hieu, L.T.; Rai, R.; Sahoo, A.K.; Dee, C.F.; Chang, E.Y.; Majlis, B.Y.; Tee, C.A.T. Surface Acoustic Wave Propagation of GaN/Sapphire Integrated with a Gold Guiding Layer. Sensors 2023, 23, 2464. [Google Scholar] [CrossRef]
- Chen, W.; Zhu, Y.; Xiu, J.; Chen, G.; Liang, H.; Liu, S.; Xue, H.; Birgersson, E.; Ho, J.W.; Qin, X.; et al. Monolithic perovskite/organic tandem solar cells with 23.6% efficiency enabled by reduced voltage losses and optimized interconnecting layer. Nat. Energy 2022, 7, 229–237. [Google Scholar] [CrossRef]
- Witte, W.; Hempel, W.; Paetel, S.; Menner, R.; Hariskos, D. Influence of sputtered gallium oxide as buffer or high-resistive layer on performance of Cu(In,Ga)Se2-based solar cells. J. Mater. Res. 2022, 37, 1825–1834. [Google Scholar] [CrossRef]
- Zheng, J.; Wang, G.; Duan, W.; Mahmud, A.; Yi, H.; Xu, C.; Lambertz, A.; Bremner, S.; Ding, K.; Huang, S.; et al. Monolithic Perovskite–Perovskite–Silicon Triple-Junction Tandem Solar Cell with an Efficiency of over 20%. ACS Energy Lett. 2022, 7, 3003–3005. [Google Scholar] [CrossRef]
- Wang, Z.L. Nanopiezotronics. Adv. Mater. 2007, 19, 889–892. [Google Scholar] [CrossRef]
- Hu, Y.; Chang, Y.; Fei, P.; Snyder, R.L.; Wang, Z.L. Designing the Electric Transport Characteristics of ZnO Micro/Nanowire Devices by Coupling Piezoelectric and Photoexcitation Effects. ACS Nano 2010, 4, 1234–1240. [Google Scholar] [CrossRef] [PubMed]
- An, C.; Qi, H.; Wang, L.; Fu, X.; Wang, A.; Wang, Z.L.; Liu, J. Piezotronic and piezo-phototronic effects of atomically-thin ZnO nanosheets. Nano Energy 2021, 82, 105653. [Google Scholar] [CrossRef]
- Pan, C.; Zhai, J.; Wang, Z.L. Piezotronics and Piezo-Phototronics of Third Generation Semiconductor Nanowires. Chem. Rev. 2019, 119, 9303–9359. [Google Scholar] [CrossRef] [PubMed]
- Wang, Z.L. Piezopotential gated nanowire devices: Piezotronics and piezo-phototronics. Nano Today 2010, 5, 540–552. [Google Scholar] [CrossRef]
- Wang, Z.L. Progress in Piezotronics and Piezo-Phototronics. Adv. Mater. 2012, 24, 4632–4646. [Google Scholar] [CrossRef]
- Dai, B.; Biesold, G.M.; Zhang, M.; Zou, H.; Ding, Y.; Wang, Z.L.; Lin, Z. Piezo-phototronic effect on photocatalysis, solar cells, photodetectors and light-emitting diodes. Chem. Soc. Rev. 2021, 50, 13646–13691. [Google Scholar] [CrossRef]
- Du, X.; Tian, W.; Pan, J.; Hui, B.; Sun, J.; Zhang, K.; Xia, Y. Piezo-phototronic effect promoted carrier separation in coaxial p-n junctions for self-powered photodetector. Nano Energy 2022, 92, 106694. [Google Scholar] [CrossRef]
- Ouyang, W.; Chen, J.; Shi, Z.; Fang, X. Self-powered UV photodetectors based on ZnO nanomaterials. Appl. Phys. Rev. 2021, 8, 31315. [Google Scholar] [CrossRef]
- Pan, L.; Sun, S.; Chen, Y.; Wang, P.; Wang, J.; Zhang, X.; Zou, J.; Wang, Z.L. Advances in Piezo-Phototronic Effect Enhanced Photocatalysis and Photoelectrocatalysis. Adv. Energy Mater. 2020, 10, 2000214. [Google Scholar] [CrossRef]
- Wang, Y.; Xie, W.; Peng, W.; Li, F.; He, Y. Fundamentals and Applications of ZnO-Nanowire-Based Piezotronics and Piezo-Phototronics. Micromachines 2023, 14, 47. [Google Scholar] [CrossRef]
- Peng, Y.; Lu, J.; Wang, X.; Ma, W.; Que, M.; Chen, Q.; Li, F.; Liu, X.; Gao, W.; Pan, C. Self-powered high-performance flexible GaN/ZnO heterostructure UV photodetectors with piezo-phototronic effect enhanced photoresponse. Nano Energy 2022, 94, 106945. [Google Scholar] [CrossRef]
- Cho, J.; Hwang, S.; Ko, D.-H.; Chung, S. Transparent ZnO Thin-Film Deposition by Spray Pyrolysis for High-Performance Metal-Oxide Field-Effect Transistors. Materials 2019, 12, 3423. [Google Scholar] [CrossRef] [PubMed]
- Ditshego, N.M. ZnO Nanowire Field Effect Transistor for Biosensing: A Review. J. Nano Res. 2019, 60, 94–112. [Google Scholar] [CrossRef]
- Hwang, J.D.; Chu, C.M. Post oxidation in improving the Schottky-gate MgZnO/ZnO heterojunction field-effect transistors fabricated by RF sputtering. Mater. Sci. Eng. B 2021, 266, 115063. [Google Scholar] [CrossRef]
- Kato, K.; Matsui, H.; Tabata, H.; Takenaka, M.; Takagi, S. ZnO/Si and ZnO/Ge bilayer tunneling field effect transistors: Experimental characterization of electrical properties. J. Appl. Phys. 2019, 125, 195701. [Google Scholar] [CrossRef]
- Kim, Y.; Chang, M.; Cho, S.; Kim, M.; Kim, H.; Choi, E.; Ko, H.; Hwang, J.; Park, B. Formation of a functional homo-junction interface through ZnO atomic layer passivation: Enhancement of carrier mobility and threshold voltage in a ZnO nanocrystal field effect transistor. J. Alloys Compd. 2019, 804, 213–219. [Google Scholar] [CrossRef]
- Seul, H.J.; Kim, M.J.; Yang, H.J.; Cho, M.H.; Cho, M.H.; Song, W.-B.; Jeong, J.K. Atomic Layer Deposition Process-Enabled Carrier Mobility Boosting in Field-Effect Transistors through a Nanoscale ZnO/IGO Heterojunction. ACS Appl. Mater. Interfaces 2020, 12, 33887–33898. [Google Scholar] [CrossRef]
- Schein, F.-L.; von Wenckstern, H.; Frenzel, H.; Grundmann, M. ZnO-Based n-Channel Junction Field-Effect Transistor with Room-Temperature-Fabricated Amorphous p-Type ZnCo2O4 Gate. IEEE Electron Device Lett. 2012, 33, 676–678. [Google Scholar] [CrossRef]
- Guo, N.; Xiao, L.; Gong, F.; Luo, M.; Wang, F.; Jia, Y.; Chang, H.; Liu, J.; Li, Q.; Wu, Y.; et al. Light-Driven WSe2-ZnO Junction Field-Effect Transistors for High-Performance Photodetection. Adv. Sci. 2020, 7, 1901637. [Google Scholar] [CrossRef]
- Ionescu, A.M.; Riel, H. Tunnel field-effect transistors as energy-efficient electronic switches. Nature 2011, 479, 329–337. [Google Scholar] [CrossRef]
- Afzalian, A.; Doornbos, G.; Shen, T.-M.; Passlack, M.; Wu, J. A High-Performance InAs/GaSb Core-Shell Nanowire Line-Tunneling TFET: An Atomistic Mode-Space NEGF Study. IEEE J. Electron Devices Soc. 2019, 7, 88–99. [Google Scholar] [CrossRef]
- Kumar, N.; Mushtaq, U.; Amin, S.I.; Anand, S. Design and performance analysis of Dual-Gate All around Core-Shell Nanotube TFET. Superlattices Microstruct. 2019, 125, 356–364. [Google Scholar] [CrossRef]
- Kumar Singh, N.; Kar, R.; Mandal, D. Design of Si0.45Ge0.55-based core–shell-type dual-material dual-gate nanotube TFET with source pocket technique. Appl. Phys. A 2021, 127, 233. [Google Scholar] [CrossRef]
- Li, F.; Peng, W.; He, Y. Bilateral piezoelectric charge modulation as a perspective of piezo-phototronic effect in tri-/multi-layer structured optoelectronics. Nano Energy 2023, 113, 108537. [Google Scholar] [CrossRef]
- Peng, W.; Wang, C.; Li, F.; He, Y. Piezo- and photo-voltage field-effect transistor. Nano Energy 2023, 105, 108025. [Google Scholar] [CrossRef]










| Material Parameters | Si | ZnO |
|---|---|---|
| Relative dielectric constant | 11.7 | (8.5446, 8.5446, 10.204) |
| Electron lifetime (μs) | 10 | 10 |
| Hole lifetime (μs) | 10 | 10 |
| Band gap (eV) | 1.12 | 3.37 |
| Electron affinity (eV) | 4.05 | 4.5 |
| Valence band effective density of states (cm−3) | 1.04 × 1019 | 3.5 × 1018 |
| Conduction band effective density of states (cm−3) | 2.8 × 1019 | 1 × 1020 |
| Electron mobility (cm2·V−1·s−1) | 1450 | 200 |
| Hole mobility (cm2·V−1·s−1) | 500 | 10 |
| Parameters | Value |
|---|---|
| Radius of core Si nanowire (a) | 0.35 μm |
| Thickness of shell ZnO (b) | 0.1 μm |
| Channel length (L) | 1 μm |
| Acceptor doping concentration in Si (NA) | 1 × 1016 cm−3 |
| Donor doping concentration in ZnO (ND) | 1 × 1018 cm−3 |
Disclaimer/Publisher’s Note: The statements, opinions and data contained in all publications are solely those of the individual author(s) and contributor(s) and not of MDPI and/or the editor(s). MDPI and/or the editor(s) disclaim responsibility for any injury to people or property resulting from any ideas, methods, instructions or products referred to in the content. |
© 2023 by the authors. Licensee MDPI, Basel, Switzerland. This article is an open access article distributed under the terms and conditions of the Creative Commons Attribution (CC BY) license (https://creativecommons.org/licenses/by/4.0/).
Share and Cite
Liu, X.; Li, F.; Peng, W.; Zhu, Q.; Li, Y.; Zheng, G.; Tian, H.; He, Y. Piezotronic and Piezo-Phototronic Effects-Enhanced Core–Shell Structure-Based Nanowire Field-Effect Transistors. Micromachines 2023, 14, 1335. https://doi.org/10.3390/mi14071335
Liu X, Li F, Peng W, Zhu Q, Li Y, Zheng G, Tian H, He Y. Piezotronic and Piezo-Phototronic Effects-Enhanced Core–Shell Structure-Based Nanowire Field-Effect Transistors. Micromachines. 2023; 14(7):1335. https://doi.org/10.3390/mi14071335
Chicago/Turabian StyleLiu, Xiang, Fangpei Li, Wenbo Peng, Quanzhe Zhu, Yangshan Li, Guodong Zheng, Hongyang Tian, and Yongning He. 2023. "Piezotronic and Piezo-Phototronic Effects-Enhanced Core–Shell Structure-Based Nanowire Field-Effect Transistors" Micromachines 14, no. 7: 1335. https://doi.org/10.3390/mi14071335
APA StyleLiu, X., Li, F., Peng, W., Zhu, Q., Li, Y., Zheng, G., Tian, H., & He, Y. (2023). Piezotronic and Piezo-Phototronic Effects-Enhanced Core–Shell Structure-Based Nanowire Field-Effect Transistors. Micromachines, 14(7), 1335. https://doi.org/10.3390/mi14071335

