Preparation of g-C3N4/TCNQ Composite and Photocatalytic Degradation of Pefloxacin
Abstract
1. Introduction
2. Materials and Methods
2.1. Reagents and Instruments
2.2. Synthesis of g-C3N4
2.3. Preparation of g-C3N4 Copolymerized by TCNQ
2.4. Photocatalytic Degradation of Pefloxacin in g-C3N4/TCNQ Composites
3. Results and Discussion
3.1. XRD Analysis
3.2. FT-IR Analysis
3.3. SEM Analysis
3.4. TEM Analysis
3.5. DRS Analysis
3.6. PL Analysis
3.7. Photocurrent Test
3.8. UV Absorption Spectroscopy
3.9. Influence of Different Drugs on Catalytic Effect
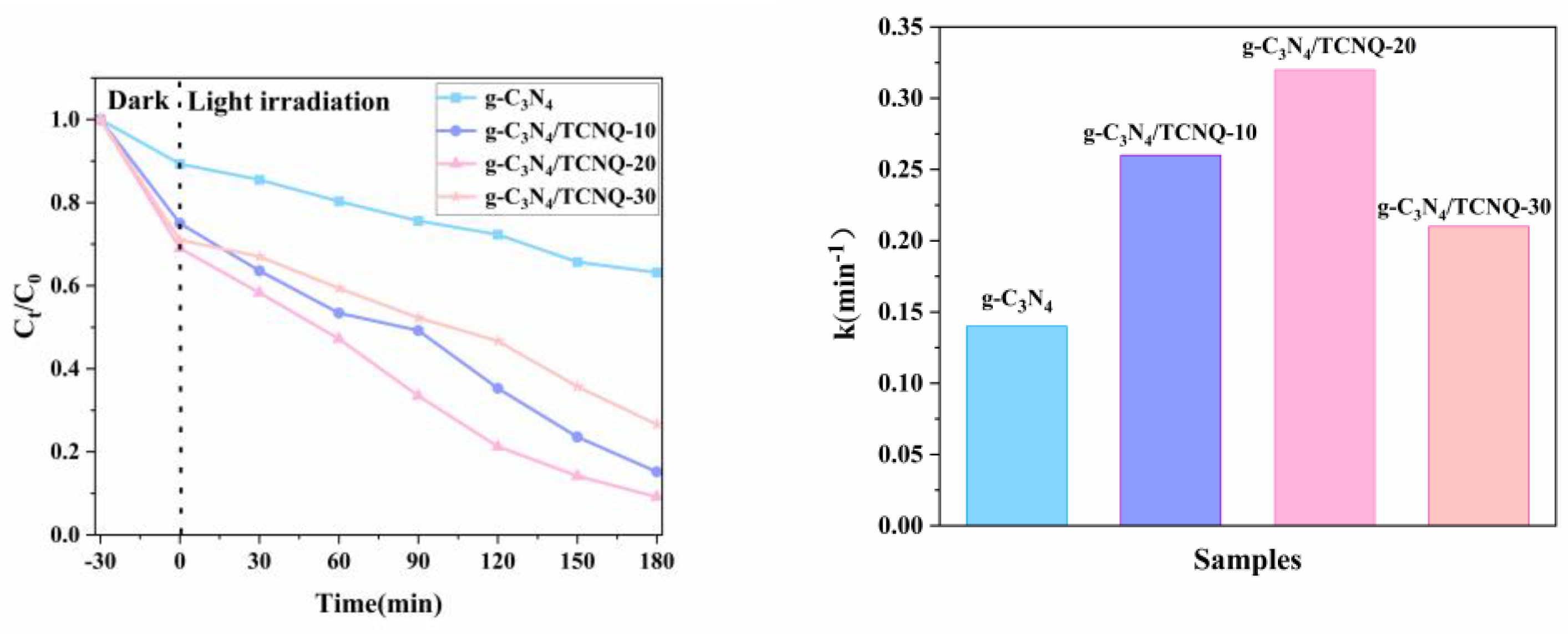
3.10. Influence of Different Copolymer Doping Amounts on the Catalytic Effect of PEF
3.11. Influence of Catalyst Dosage on Catalytic Effect of PEF
3.12. Kinetic Evaluation of the Photocatalytic Process of Catalyst PEF Degradation
3.13. Analysis of Experimental Results for Reuse of PEF Degradation
3.14. Analysis of Free Radical Capture Experimental Results of PEF Degradation by Catalyst
3.15. Photocatalytic Mechanism Analysis
4. Conclusions
Author Contributions
Funding
Institutional Review Board Statement
Informed Consent Statement
Data Availability Statement
Conflicts of Interest
References
- Cheng, X.; Yu, X.; Zhu, H. Research progress on antibiotic pollution and its treatment technology in water bodies. Environ. Sci. Technol. 2017, 40, 125–132. [Google Scholar]
- Scott, G.I.; Porter, D.E.; Norman, R.S.; Scott, C.H.; Uyaguari-Diaz, M.I.; Maruya, K.A.; Weisberg, S.B.; Fulton, M.H.; Wirth, E.F.; Mooore, J.; et al. Antibiotics as CECs: An overview of the hazards posed by antibiotics and antibiotic resistance. Front. Mar. Sci. 2016, 3, 24. [Google Scholar] [CrossRef]
- Huijbers, P.M.; Flach, C.F.; Larsson, D.J. A conceptual framework for the environmental surveillance of antibiotics and antibiotic resistance. Environ. Int. 2019, 130, 104880. [Google Scholar] [CrossRef] [PubMed]
- Surette, M.D.; Wright, G.D. Lessons from the environmental antibiotic Resistome. Annu. Rev. Microbiol. 2017, 71, 309–329. [Google Scholar] [CrossRef]
- Kim, S.C.; Carlson, K. Occurrence of ionophore antibiotics in water and sediments of a mixed-landscape watershed. Water Res. 2006, 40, 2549–2560. [Google Scholar] [CrossRef]
- Zhao, X.; Chu, Z.; Li, Y. Molecular design and photololysis path inference. J. Chem. High. Educ. 2018, 39, 2707–2718. [Google Scholar]
- Pham, T.; Ziora, Z.M.; Blaskovich, M. Quinolone antibiotics. Med. Chem. Commun. 2019, 10, 1719–1739. [Google Scholar] [CrossRef]
- Tang, K.; Zhao, H. Quinolone antibiotics: Resistance and therapy. Infect. Drug Resist. 2023, 16, 811–820. [Google Scholar] [CrossRef]
- Bai, H.; Zhang, Q.; Zhou, X.; Chen, J.; Chen, Z.; Liu, Z.; Yan, J.; Wang, J. Removal of fluoroquinolone antibiotics by adsorption of dopamine-modified bio-char aerogel. Korean J. Chem. Eng. 2023, 40, 811–820. [Google Scholar] [CrossRef]
- Zhang, Y.; Yan, X.J.; Sun, Y. Current situation of antibiotic abuse in China and its residues distribution in the environment. Contemp. Chem. Ind. 2019, 48, 2660–2662. [Google Scholar]
- Ahmad, F.; Zhu, D.; Sun, J. Environmental fate of tetracycline antibiotics: Degradation pathway mechanisms, challenges, and perspectives. Environ. Sci. Eur. 2021, 33, 64. [Google Scholar] [CrossRef]
- Mathur, P.; Sanyal, D.; Dey, P. The optimization of enzymatic oxidation of levofloxacin, a fluoroquinolone antibiotic for waste water treatment. Biodegradation 2021, 32, 467–485. [Google Scholar] [CrossRef] [PubMed]
- Yang, W.; Ding, K.; Chen, G.; Wang, H.; Deng, X. Synergistic multisystem photocatalytic degradation of anionic and cationic dyes using graphitic phase carbon nitride. Molecules 2023, 28, 2796. [Google Scholar] [CrossRef] [PubMed]
- Luo, J.; Du, X.; Ye, Q.; Fu, D. Review: Graphite phase carbon nitride photo-fenton catalyst and its photocatalytic degradation performance for organic wastewater. Catal. Surv. Asia 2022, 26, 294–310. [Google Scholar] [CrossRef]
- Li, K.; Cui, J.; Yang, Q.; Wang, S.; Luo, R.; Argenis, R.G.; Wei, P.; Liu, L. A new sensor for the rapid electrochemical detection of ractopamine in meats with high sensitivity. Food Chem. 2022, 405, 134791. [Google Scholar] [CrossRef]
- Zhan, Y.; Liu, Z.; Liu, Q.; Huang, D.; Wei, Y.; Hu, Y.; Lian, X.; Hu, C. A facile and one-pot synthesis of fluorescent graphitic carbon nitride quantum dots for bio-imaging applications. New J. Chem. 2017, 41, 3930–3938. [Google Scholar] [CrossRef]
- Dong, J.; Zhao, Y.; Chen, H.; Liu, L.; Zhang, W.; Sun, B.; Yang, M.; Wang, Y.; Dong, L. Fabrication of PEGylated graphitic carbon nitride quantum dots as traceable, pH-sensitive drug delivery systems. New J. Chem. 2018, 42, 14263–14270. [Google Scholar] [CrossRef]
- Wang, M.; Ma, F.; Wang, Z. Graphitic carbon nitride, a saturable absorber material for the visible waveband. Photonics Res. 2018, 6, 307–313. [Google Scholar] [CrossRef]
- Ong, W.J.; Tan, L.L.; Ng, W.H. Graphitic carbon nitride (g-C3N4)-based photocatalysts for artificial photosynthesis and environmental remediation: Are we a step closer to achieving sustainability? Chem. Rev. 2016, 116, 7159–7329. [Google Scholar] [CrossRef]
- Chen, L.C.; Song, J.B. Tailored graphitic carbon nitride nanostructures: Synthesis, modification, and sensing applications. Adv. Funct. Mater. 2017, 27, 1702695. [Google Scholar] [CrossRef]
- Mamba, G.; Mishra, A.K. Graphitic carbon nitride (g-C3N4) nanocomposites: A new and exciting generation of visible light driven photocatalysts for environmental pollution remediation. Appl. Catal. B Environ. 2016, 198, 347–377. [Google Scholar] [CrossRef]
- Cao, S.; Low, J.; Yu, J. Polymeric photocatalysts based on graphitic carbon nitride. Adv. Mater. 2015, 27, 2150–2176. [Google Scholar] [CrossRef] [PubMed]
- Wu, Y.; Wang, F.; Jin, X.; Zheng, X.; Wang, Y.; Wei, D.; Zhang, Q.; Feng, Y.; Xie, Z.; Chen, P. Highly active metal-free carbon dots/g-C3N4 hollow porous nanospheres for solar-light-driven PPCPs remediation: Mechanism insights, kinetics and effects of natural water matrices. Water Res. 2020, 172, 115492. [Google Scholar] [CrossRef] [PubMed]
- Xiao, X.; Gao, Y.; Zhang, L.; Zhang, J.; Zhang, Q.; Li, Q.; Bao, H.; Zhou, J.; Miao, S.; Chen, N. A promoted charge separation/transfer system from Cu single atoms and C3N4 layers for efficient photocatalysis. Adv. Mater. 2020, 32, 2003082. [Google Scholar] [CrossRef] [PubMed]
- Ding, J.; Long, G.; Luo, Y.; Sun, R.; Chen, M.; Li, Y.; Zhou, Y.; Xu, X.; Zhao, W. Photocatalytic reductive dechlorination of 2-chlorodibenzo-p-dioxin by Pd modified g-C3N4 photocatalysts under UV-vis irradiation: Efficacy, kinetics and mechanism. J. Hazard. Mater. 2018, 355, 74–81. [Google Scholar] [CrossRef]
- Üngör, Ö.; Phan, H.; Choi, E.S.; Roth, J.K.; Shatruk, M. Magnetism and electrical conductivity of molecular semiconductor, [Fe II (DMF) 4 (TCNQ) 2](TCNQ) 2, with fraction-ally charged TCNQ units. J. Magn. Magn. Mater. 2020, 497, 165984. [Google Scholar] [CrossRef]
- Nafady, A.; Sabri, Y.M.; Kandjani, A.E.; Alsalme, A.M.; Bond, A.M.; Bhargava, S. Preferential synthesis of highly conducting Tl(TCNQ) phase II nanorod networks via electrochemically driven TCNQ/Tl(TCNQ) solid-solid phase transformation. J. Solid State Electrochem. 2016, 20, 3303–3314. [Google Scholar] [CrossRef]
- Tamaya, H.; Torii, Y.; Ishikawa, T.; Nakano, H.; Iimori, T. Photophysics and inverted solvatochromism of 7,7,8,8-tetracyanoquinodimethane (TCNQ). Chemphyschem A Eur. J. Chem. Phys. Phys. Chem. 2019, 20, 2531–2538. [Google Scholar] [CrossRef]
- Iwano, Y.; Kittaka, T.; Tabuchi, H. Study of amorphous carbon nitride films aiming at white light emitting devices. Jpn. J. Appl. Phys. 2008, 47, 7842–7844. [Google Scholar] [CrossRef]
- Zhu, C.Z.; Du, D.; Lin, Y.H. Graphene-like 2D nanomaterial-based biointerfaces for biosensing applications. Biosens. Bioelectron. 2017, 89, 43–55. [Google Scholar] [CrossRef]
- Xie, W.; Liu, L.; Cui, W.; An, W. Enhancement of photocatalytic activity under visible light irradiation via the AgI@TCNQ core-shell structure. Materials 2019, 12, 1679. [Google Scholar] [CrossRef] [PubMed]
- Ye, C.; Li, J.X.; Li, Z.J. Enhanced driving force and charge separation efficiency of protonated g-C3N4 for photocatalytic O2 Evolution. ACS Catal. 2015, 5, 6973–6979. [Google Scholar] [CrossRef]
- Zhang, J.; Zhu, Z.; Tang, Y.; Mullen, K.; Feng, X. Titania nanosheet-mediated construction of a two-dimensional titania/cadmium sufifide heterostructure for high hydrogen evolution activity. Adv. Mater. 2014, 26, 734–738. [Google Scholar] [CrossRef] [PubMed]
- She, X.; Liu, L.; Ji, H.; Mo, Z.; Li, Y.; Huang, L.; Du, D.; Xu, H.; Li, H. Template-freesynthesis of 2D porous ultrathin nonmetal-doped g-C3N4 nanosheets with highly efficient photocatalytic H2 evolution from water under visible light. Appl. Catal. B 2016, 187, 144–153. [Google Scholar] [CrossRef]
- Wang, F.; Chen, P.; Feng, Y.; Xie, Z.; Liu, Y.; Su, Y.; Zhang, Q.; Wang, Y.; Yao, K.; Lv, W.; et al. Facile synthesis of N-doped carbon dots/g-C3N4 photocatalyst with enhanced visible-light photo-catalytic activity for the degradation of indomethacin. Appl. Catal. B 2017, 207, 103–113. [Google Scholar] [CrossRef]
- Li, Y.; Shi, J. Hollow-structured mesoporous materials: Chemical synthesis, functionalization and applications. Adv. Mater. 2014, 26, 3176–3205. [Google Scholar] [CrossRef]
- Wang, X.; Maeda, K.; Thomas, A. A metal-free polymeric photocatalyst for hydrogen pro-duction from water under visible light. Nat. Mater 2009, 8, 76–80. [Google Scholar] [CrossRef]
- Niu, P.; Yin, L.-C.; Yang, Y.-Q. Increasing the visible light absorption of graphitic carbon nitride (melon) photocatalysts by homogeneous self-modification with nitrogen vacancies. Adv. Mater. 2014, 26, 8046–8052. [Google Scholar] [CrossRef]
- Zhang, X.; Peng, B.; Zhang, S.; Peng, T. Robust wide visible-light-responsive photoactivity for H2 production over a polymer/polymer heterojunction photocatalyst: The significance of sacrificial reagent. ACS Sustain. Chem. Eng. 2015, 3, 1501–1509. [Google Scholar] [CrossRef]
- Wu, J.; Li, B.-H.; Zhong, H.-R.; Qiu, S.-W.; Liang, Y.-W.; Zhuang, X.-Y.; Singh, A.; Kumar, A. Fluorescence sensing and photocatalytic properties of a 2D stable and bio-compatible Zn(II)-based polymer. J. Mol. Struct. 2018, 1158, 264–270. [Google Scholar] [CrossRef]
- Li, Y.; Wu, S.; Huang, L.; Wang, J.; Xu, H.; Li, H. Synthesis of car-bon-doped g-C3N4 composites with enhanced visible-light photocatalytic activity. Mater. Lett. 2014, 137, 281–284. [Google Scholar] [CrossRef]
- Yan, Y.; Chang, T.; Wei, P.; Kang, S.Z.; Mu, J. Photocatalytic activity of nano-composites of ZnO and multi-walled carbon nanotubes for dye degradation. J. Dispers. Sci. Technol. 2009, 30, 198–203. [Google Scholar] [CrossRef]
















| Sample Name | Regression Equation | k | R2 |
|---|---|---|---|
| g-C3N4 | y = 0.0021x + 0.0885 | 0.0021 | 0.9888 |
| g-C3N4/TCNQ-10 | y = 0.0083x + 0.1862 | 0.0083 | 0.9523 |
| g-C3N4/TCNQ-20 | y = 0.0111x + 0.2471 | 0.0111 | 0.9800 |
| g-C3N4/TCNQ-30 | y = 0.0055x + 0.2143 | 0.0055 | 0.9578 |
Disclaimer/Publisher’s Note: The statements, opinions and data contained in all publications are solely those of the individual author(s) and contributor(s) and not of MDPI and/or the editor(s). MDPI and/or the editor(s) disclaim responsibility for any injury to people or property resulting from any ideas, methods, instructions or products referred to in the content. |
© 2023 by the authors. Licensee MDPI, Basel, Switzerland. This article is an open access article distributed under the terms and conditions of the Creative Commons Attribution (CC BY) license (https://creativecommons.org/licenses/by/4.0/).
Share and Cite
Li, Q.; Wen, N.; Zhang, W.; Yu, L.; Shen, J.; Li, S.; Lv, Y. Preparation of g-C3N4/TCNQ Composite and Photocatalytic Degradation of Pefloxacin. Micromachines 2023, 14, 941. https://doi.org/10.3390/mi14050941
Li Q, Wen N, Zhang W, Yu L, Shen J, Li S, Lv Y. Preparation of g-C3N4/TCNQ Composite and Photocatalytic Degradation of Pefloxacin. Micromachines. 2023; 14(5):941. https://doi.org/10.3390/mi14050941
Chicago/Turabian StyleLi, Qiuping, Nuan Wen, Wu Zhang, Liansheng Yu, Jinghui Shen, Shuxian Li, and Yuguang Lv. 2023. "Preparation of g-C3N4/TCNQ Composite and Photocatalytic Degradation of Pefloxacin" Micromachines 14, no. 5: 941. https://doi.org/10.3390/mi14050941
APA StyleLi, Q., Wen, N., Zhang, W., Yu, L., Shen, J., Li, S., & Lv, Y. (2023). Preparation of g-C3N4/TCNQ Composite and Photocatalytic Degradation of Pefloxacin. Micromachines, 14(5), 941. https://doi.org/10.3390/mi14050941
