An Investigation of SILC Degradation under Constant Voltage Stress in PDSOI Devices
Abstract
:1. Introduction
2. Materials and Methods
3. Results
3.1. The I–V Characteristic Degradation of the PDSOI Device under CVS
3.1.1. The Degradation of Transfer Characteristics under CVS
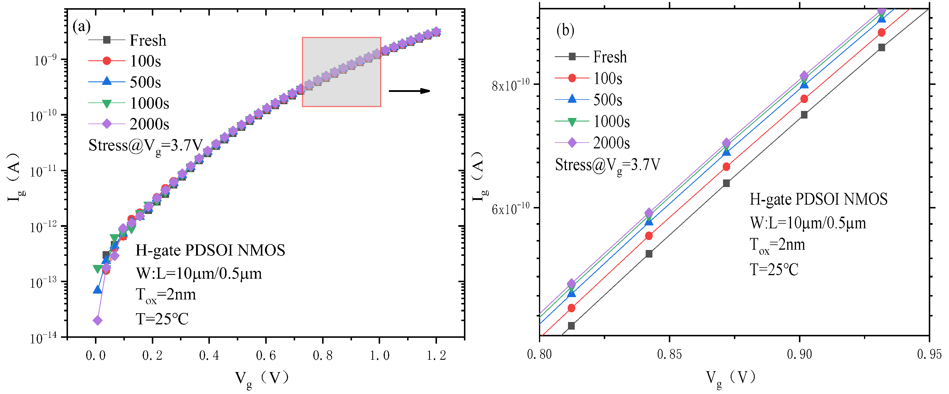
3.1.2. The Degradation of the Gate Current under CVS
3.2. Threshold Voltage Degradation and SILC Degradation in Relation to the Stress Time
3.3. Soft Breakdown of PDSOI Devices under CVS
3.4. PDSOI Device SILC Degradation under Different Conditions
3.4.1. Effects of Positive and Negative Gate Voltages on the SILC Degradation of PDSOI Devices
3.4.2. Effect of Channel Length on the SILC Degradation of PDSOI Devices
3.4.3. The Floating Effect on the SILC Degradation of PDSOI Devices
4. Conclusions
Author Contributions
Funding
Conflicts of Interest
References
- Samanta, P.; Man, T.Y.; Zhang, Q.; Zhu, C.; Chan, M. Direct tunneling stress-induced leakage current in ultrathin HfO2/SiO2 gate dielectric stacks. J. Appl. Phys. 2006, 100, 094507. [Google Scholar] [CrossRef]
- Huang, Y.; Liu, J.; Lü, K.; Chen, J. Investigation of temperature-dependent small-signal performances of TB SOI MOSFETs. J. Semicond. 2017, 38, 44006. [Google Scholar] [CrossRef]
- Marc, G.; Martial, M.; Philippe, P.; Francois, A.; Sylvain, G.; Melanie, R.; Claude, M.; Olivier, D.; Nicolas, R.; Olivier, F. Impact of SOI Substrate on the Radiation Response of UltraThin Transistors Down to the 20 nm Node. IEEE Trans. Nucl. Sci. 2013, 60, 2583–2589. [Google Scholar]
- Petit, C.; Meinertzhagen, A.; Zander, D. Low voltage SILC and P- and N-MOSFET gate oxide reliability. Microelectron. Reliab. 2005, 45, 479–485. [Google Scholar] [CrossRef]
- Vianello, E.; Driussi, F.; Esseni, D.; Selmi, L.; Widdershoven, F.; van Duuren, M.J. Explanation of SILC Probability Density Distributions with Nonuniform Generation of Traps in the Tunnel Oxide of Flash Memory Arrays. IEEE Trans. Electron Devices 2007, 54, 1953–1962. [Google Scholar] [CrossRef]
- Hu, S. The mechanism of SILC effect and its influence on Flash Memory. Sci. Technol. Innov. Rev. 2011, 105–107. [Google Scholar] [CrossRef]
- Liu, H.; Zheng, X.; Hao, Y. Mechanism of stress-induced leakage current in flash memory. Acta Phys. Sin. 2005, 54, 357–361. [Google Scholar]
- Rumyantsev, S.V.; Novoselov, A.S.; Masalsky, N.V. Self-Heating Effect in Submicronic SOI-CMOS Transistors. Russ. Microelectron. 2021, 50, 278–285. [Google Scholar] [CrossRef]
- Dutta, P.; Behera, S.; Rout, S.P. Controlling of Floating-Body and Thermal Conductivity in Short Channel SOI MOSFET at 30 nm Channel Node. Silicon 2021, 14, 2803–2811. [Google Scholar] [CrossRef]
- Ielmini, D.; Spinelli, A.S.; Rigamonti, M.A.; Lacaita, A.L. Modeling of SILC based on electron and hole tunneling. I. Transient effects. IEEE Trans. Electron Devices 2000, 47, 1258–1265. [Google Scholar] [CrossRef]
- Wang, Y.G.; Xu, M.Z.; Tan, C.H.; Zhang, J.F.; Duan, X.R. The conduction mechanism of stress induced leakage current through ultra-thin gate oxide under constant voltage stresses. Chin. Phys. 2005, 14, 1886–1891. [Google Scholar]
- Mannequin, C.; Gonon, P.; VallÃe, C.; Latu-Romain, L.; Bsiesy, A.; Grampeix, H.; Salan, A.; Jousseaume, V. Stress-induced leakage current and trap generation in HfO2 thin films. J. Appl. Phys. 2012, 112, 074103. [Google Scholar] [CrossRef]
- B1500A Semiconductor Device Analyzer-Date Sheet; Keysight Technol: Santa Rosa, CA, USA, 2019.
- Chou, A.I.; Lai, K.; Kumar, K. Modeling of stress-induced leakage current in ultrathin oxides with the trap-assisted tunneling mechanism. Appl. Phys. Lett. 1997, 70, 3407–3409. [Google Scholar] [CrossRef]
- Driussi, F.; Iob, R.; Esseni, D.; Selmi, L.; van Schaijk, R.; Widdershoven, F. Investigation of the Energy Distribution of Stress-Induced Oxide Traps by Numerical Analysis of the TAT of HEs. IEEE Trans. Electron Devices 2004, 51, 1570–1576. [Google Scholar] [CrossRef]
- Lanza, M.; Porti, M.; Nafría, M.; Aymerich, X.; Ghidini, G.; Sebastiani, A. Trapped charge and stress induced leakage current (SILC) in tunnel SiO2 layers of de-processed MOS non-volatile memory devices observed at the nanoscale. Microelectron. Reliab. 2009, 49, 1188–1191. [Google Scholar] [CrossRef]
- Islamov, D.R.; Gritsenko, V.A.; Perevalov, T.V.; Orlov, O.M.; Krasnikov, G.J. Charge Transport Mechanism of Stress Induced Leakage Current in Thermal Silicon Oxide. ECS Trans. 2016, 75, 57–62. [Google Scholar] [CrossRef]
- Liu, K.-J.; Chang, T.-C.; Yang, R.-Y.; Chen, C.-E.; Ho, S.-H.; Tsai, J.-Y.; Hsieh, T.-Y.; Cheng, O.; Huang, C.-T. Abnormal temperature-dependent floating-body effect on Hot-Carrier Degradation in PDSOI n-MOSFETs. Thin Solid Film. 2014, 572, 39–43. [Google Scholar] [CrossRef]















| Device | Body Contact | Width–Length Ratio (W/L) | Constant Voltage Stress (Vg) |
|---|---|---|---|
| PDSOI NMOS | H-gate | 10 μm/0.4 μm | +3.7 V |
| 10 μm/0.5 μm | |||
| 10 μm/10 μm | |||
| 10 μm/0.5 μm | −3.7 V | ||
| Floating body | 10 μm/0.5 μm | +3.7 V |
| Stress Time (s) | Vth (mV) | ΔVth (%) | Idin (μA) | ΔIdin (%) |
|---|---|---|---|---|
| 0 | 356.829 | 0 | 451.90 | 0 |
| 500 | 365.813 | 2.518 | 421.08 | 7.23 |
| 1000 | 368.156 | 3.174 | 390.41 | 13.61 |
| 2000 | 375.460 | 4.38 | 364.37 | 19.37 |
| Stress Time (s) | Ig (nA) | ΔIg (%) |
|---|---|---|
| 0 | 2.96 | 0 |
| 100 | 3.04 | 2.71 |
| 500 | 3.10 | 4.73 |
| 1000 | 3.14 | 6.08 |
| 2000 | 3.16 | 6.75 |
Disclaimer/Publisher’s Note: The statements, opinions and data contained in all publications are solely those of the individual author(s) and contributor(s) and not of MDPI and/or the editor(s). MDPI and/or the editor(s) disclaim responsibility for any injury to people or property resulting from any ideas, methods, instructions or products referred to in the content. |
© 2023 by the authors. Licensee MDPI, Basel, Switzerland. This article is an open access article distributed under the terms and conditions of the Creative Commons Attribution (CC BY) license (https://creativecommons.org/licenses/by/4.0/).
Share and Cite
Lu, Y.; Liu, H. An Investigation of SILC Degradation under Constant Voltage Stress in PDSOI Devices. Micromachines 2023, 14, 1084. https://doi.org/10.3390/mi14051084
Lu Y, Liu H. An Investigation of SILC Degradation under Constant Voltage Stress in PDSOI Devices. Micromachines. 2023; 14(5):1084. https://doi.org/10.3390/mi14051084
Chicago/Turabian StyleLu, Yong, and Hongxia Liu. 2023. "An Investigation of SILC Degradation under Constant Voltage Stress in PDSOI Devices" Micromachines 14, no. 5: 1084. https://doi.org/10.3390/mi14051084
APA StyleLu, Y., & Liu, H. (2023). An Investigation of SILC Degradation under Constant Voltage Stress in PDSOI Devices. Micromachines, 14(5), 1084. https://doi.org/10.3390/mi14051084

