Multiband Microstrip Rectenna Using ZnO-Based Planar Schottky Diode for RF Energy Harvesting Applications
Abstract
1. Introduction
2. Antenna Design
2.1. Proposed UWB Antenna Design Approach
2.2. Design Procedure of the UWB Antenna
2.3. The Current Distribution of UWB Antenna
2.4. Measured Results of Proposed Antenna
2.5. Far-Field Properties
3. Shunt Half-Wave Rectifier (SHWR)
3.1. Ag/ZnO PSD Fabrication and Characterization
3.2. Rectifier Design and Implementation
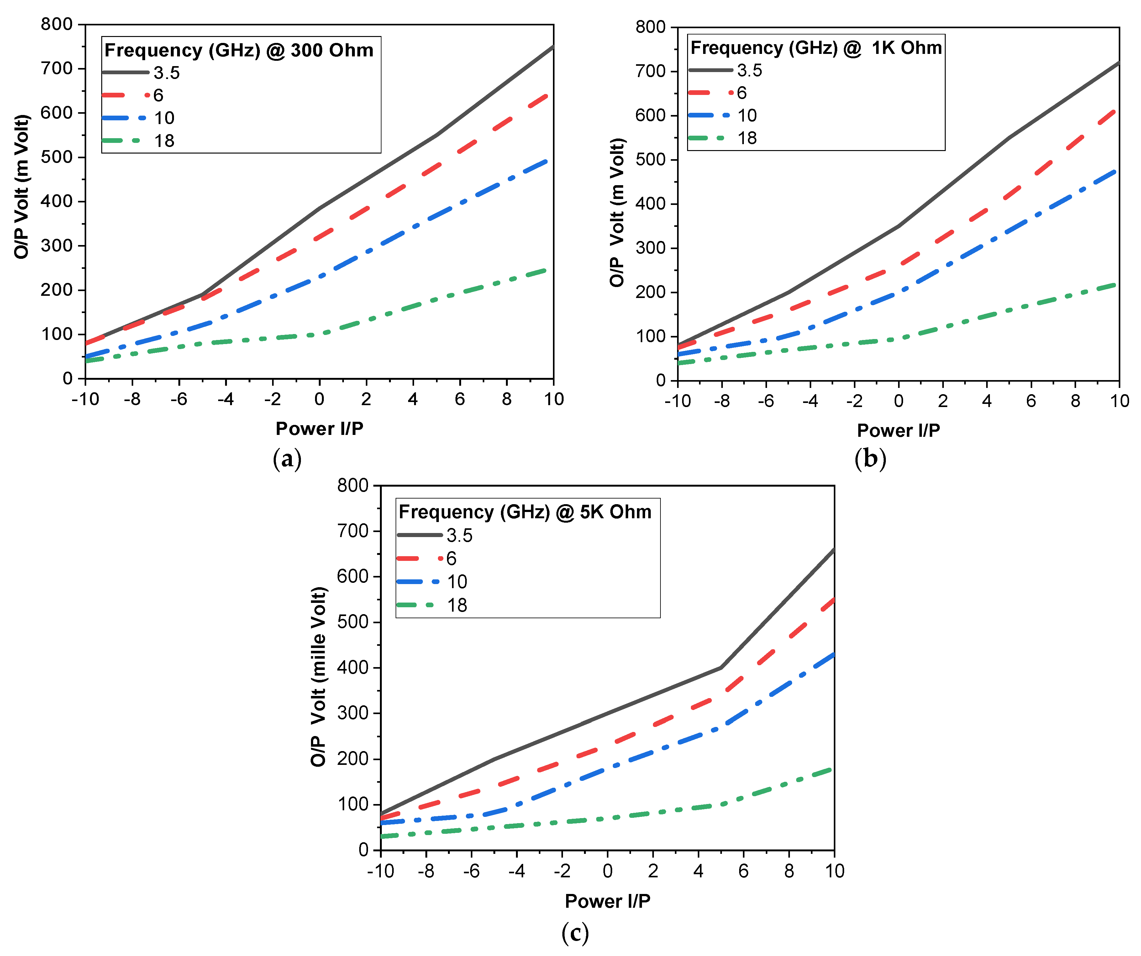
3.3. Rectenna Measurements
4. Conclusions
Author Contributions
Funding
Data Availability Statement
Conflicts of Interest
References
- Federal Communications Commission. Ultra-Wideband Operations FCC Report and Order; Federal Communications Commission: Washington, DC, USA, 2002; Volume 47, The FCC’s. 5G FAST, Plan, Spectrum. 2021. Available online: https://www.fcc.gov/5G (accessed on 4 March 2022).
- Oppermann, I.; Hämäläinen, M.; Iinatti, J. (Eds.) UWB: Theory and Applications; John Wiley & Sons: Hoboken, NJ, USA, 2004. [Google Scholar]
- Kumar, P.; Pai, M.M.; Ali, T. Ultrawideband antenna in wireless communication: A review and current state of the art. Telecommun. Radio Eng. 2020, 79, 929–942. [Google Scholar] [CrossRef]
- Bahrami, S.; Moloudian, G.; Song, H.J.; Buckley, J.L. Reconfigurable UWB Circularly Polarized Slot Antenna with Three Modes of Operation and Continuous Tuning Range. IEEE Trans. Antennas Propag. 2022, 70, 8542–8547. [Google Scholar] [CrossRef]
- Al-Gburi, A.J.A.; Ibrahim, I.B.M.; Zeain, M.Y.; Zakaria, Z. Compact size and high gain of CPW-fed UWB strawberry artistic shaped printed monopole antennas using FSS single layer reflector. IEEE Access 2020, 8, 92697–92707. [Google Scholar] [CrossRef]
- Faouri, Y.S.; Ahmad, S.; Naser, P.; Chan, H.; Abd-Alhameed, R. A Novel Meander Bowtie-Shaped Antenna with Multi-Resonant and Rejection Bands for Modern 5G Communications. Electronics 2022, 11, 821. [Google Scholar] [CrossRef]
- Abbas, A.; Hussain, N.; AbuSufian, M.; Jung, J.; Park, S.; Kim, N. Isolation and Gain Improvement of a Rectangular Notch UWB-MIMO Antenna. Sensors 2022, 22, 1460. [Google Scholar] [CrossRef] [PubMed]
- Kumar, P.; Pai, M.M.M.; Ali, T. Design and Analysis of Multiple Antenna Structures for Ultrawide Bandwidth. Telecommun. Radio Eng. 2021, 80, 41–53. [Google Scholar] [CrossRef]
- Czyz, M.; Olencki, J.; Bekasiewicz, A. A compact spline-enhanced monopole antenna for broadband/multi-band and beyond UWB applications. AEU-Int. J. Electron. Commun. 2022, 146, 154111. [Google Scholar] [CrossRef]
- Kumar, G.; Kumar, R. A survey on planar ultra-wideband antennas with band notch characteristics: Principle, design, and applications. AEU-Int. J. Electron. Commun. 2019, 109, 76–98. [Google Scholar] [CrossRef]
- Kaur, K.; Kumar, A.; Sharma, N. Sprocket gear wheel shaped printed monopole ultra-wideband antenna with band notch characteristics: Design and measurement. Int. J. RF Microw. Comput. Aided Eng. 2022, 32, e22989. [Google Scholar] [CrossRef]
- Eltresy, N.; Mohammed, A.E.; Elsheakh, D.M.; Abdallah, E.A.; Elhenawy, H. Silver sandwiched ITO based transparent antenna array for RF energy harvesting in 5G Mid-Range Frequencies. IEEE Access 2021, 9, 49476–49486. [Google Scholar] [CrossRef]
- Eltresy, N.A.; Dardeer, O.M.; Al-Habal, A.; Elhariri, E.; Hassan, A.H.; Khattab, A.; Elsheakh, D.N.; Taie, S.A.; Mostafa, H.; Elsadek, H.A.; et al. RF energy harvesting IoT system for museum ambience control with deep learning. Sensors 2019, 15, 4465. [Google Scholar] [CrossRef] [PubMed]
- Raiva, A.P.; Sanchez, J.F. A rectangular cavity for cell phone antenna efficiency measurement. In Proceedings of the IEEE International Symposium on Antenna and Propagation, Washington, DC, USA, 3–8 July 2005. [Google Scholar]
- Pozar, D.M.; Kaufman, B. Comparison of three methods for the measurement of printed antenna efficiency. IEEE Trans Antennas Propag 1988, 36, 136–139. [Google Scholar] [CrossRef]
- Ullah, S.; Ruan, C.; Sadiq, M.S.; Haq, T.U.; He, W. High ef_cient and ultra-wide band monopole antenna for microwave imaging and communication applications. Sensors 2019, 20, 115. [Google Scholar] [CrossRef] [PubMed]
- Yuan, Y.; Xi, X.; Zhao, Y. Compact UWB FSS reflector for antenna gain enhancement. IET Microw. Antennas Propag. 2019, 13, 1749–1755. [Google Scholar]
- Luo, S.; Chen, Y.; Wang, D.; Yejun, L. A monopole UWB antenna with sextuple band-notched based on SRRs and U-shaped parasitic strips. AEU Int. J. Electron. Commun. 2020, 99, 59–69. [Google Scholar] [CrossRef]
- Mukherjee, S.; Roy, A.; Bhunia, S. Design of compact UWB slotted hexagonal monopole antenna with 3.5/5.5 GHz dual band rejection. J. Nano-Electron. Phys. 2021, 13, 03026-1–03026-4. [Google Scholar] [CrossRef]
- Al-Gburi, A.A.; Ibrahim, I.B.M.; Zakaria, Z.; Ahmad, B.H.; Shairi, N.B.; Zeain, M.Y. High gain of UWB planar antenna utilising FSS reflector for UWB applications. Comput. Mater. Contin. 2022, 70, 1419–1436. [Google Scholar]
- Chu, Y.; Qian, C.; Chahal, P.; Cao, C. Printed Diodes: Materials Processing, Fabrication, and Applications. Adv. Sci. 2019, 6, 1801653. [Google Scholar] [CrossRef]
- Almorabeti, S.; Rifi, M.; Terchoune, H. Rectifier Circuit Designs for RF Energy Harvesting Applications; HAL Openscience: Casablanca, Morocco, 2019. [Google Scholar]
- Zhou, Y.; Froppier, B.; Razban, T. Schottky Diode Rectifier for Power Harvesting Application. In Proceedings of the IEEE International Conference on RFID-Technologies and Applications (RFID-TA), Cagliari, Italy, 12–14 September 2012. [Google Scholar]
- Partal, H.; Belen, M.; Partal, S. Design and realization of an ultra-low power sensing RF energy harvesting module with its RF and DC sub-components. Int. J. RF Microw. Comput.-Aided Eng. 2019, 29, e21622. [Google Scholar] [CrossRef]
- Zhang, X.; Grajal, J.; Vazquez-Roy, J.; Radhakrishna, U.; Wang, W.; Chern, L.; Zhou, Y.; Lin, P.; Shen, X.; Ji, X.; et al. Two-dimensional MoS2-enabled flexible rectenna for Wi-Fi-band wireless energy harvesting. Nature 2019, 566, 368–372. [Google Scholar] [CrossRef]
- Georgiadou, D.; Semple, J.; Sagade, A.; Forstén, H.; Rantakari, P.; Lin, Y.; Alkhalil, F.; Seitkhan, A.; Loganathan, K.; Faber, H.; et al. 100 GHz zinc oxide Schottky diodes processed from solution on a wafer scale. Nat. Electron. 2020, 3, 718–725. [Google Scholar] [CrossRef]
- Rajan, L.; Periasamy, C.; Sahula, V. Electrical characterization of Au/ZnO thin film Schottky diode on silicon substrate. Perspect. Sci. 2016, 8, 66–68. [Google Scholar] [CrossRef]
- Sadek, D.; Zekry, A.; Shawkey, H.; Kayed, S. 10 GHz Compact Shunt-Diode Rectifier Circuit Using Thin Film Ag/AZO Schottky Barrier Diode for Energy Harvesting Applications. In Proceedings of the International Conference on Human-Computer Interaction HCII, Virtual, 26 June–1 July 2022; pp. 436–445. [Google Scholar]
- Elsharabasy, A.; Alshehri, A.; Bakr, M.; Jamal Deen, M.; Musselman, K.; Yavuz, M. Near zero-bias MIIM diode based on TiO2/ZnO for energy harvesting applications. AIP Adv. 2019, 9, 115207. [Google Scholar] [CrossRef]
- Krishnan, S.; La Rosa, H.; Stefanakos, E.; Bhansali, S.; Buckle, K. Design and development of batch fabricatable metal–insulator–metal diode and microstrip slot antenna as rectenna elements. Sens. Actuators A 2008, 142, 40–47. [Google Scholar] [CrossRef]
- Aldrigo, M.; Dragoman, M.; Modreanu, M.; Povey, I.; Iordanescu, S.; Vasilache, D.; Dinescu, A.; Shanawani, M.; Masotti, D. Harvesting Electromagnetic Energy in the V-Band Using a Rectenna Formed by a Bow Tie Integrated With a 6-nm-Thick Au/HfO2/Pt Metal–Insulator–Metal Diode. IEEE Trans. Electron Devices 2018, 65, 2973–2980. [Google Scholar] [CrossRef]
- Yasir, M.; Aldrigo, M.; Dragoman, M.; Dinescu, A.; Bozzi, M.; Iordanescu, S.; Vasilache, D. Integration of Antenna Array and Self-Switching Graphene Diode for Detection at 28 GHz. IEEE Electron Device Lett. 2019, 40, 628–631. [Google Scholar] [CrossRef]
- Zhang, X.; Grajal, J.; Wang, X.; Radhakrishna, U.; Zhang, Y.; Kong, J.; Dresselhaus, M.; Palacios, T. MoS2 Phase-Junction-Based Schottky Diodes for RF Electronics. In Proceedings of the IEEE/MTT-S International Microwave Symposium—IMS, Philadelphia, PA, USA, 10–15 June 2018. [Google Scholar]
- Eid, A.; Hester, J.; Nauroze, A.; Lin, T.; Costantine, J.; Tawk, Y.; Ramadan, A.; Tentzeris, M. A Flexible Compact Rectenna for 2.4GHz ISM Energy Harvesting Applications. In Proceedings of the IEEE International Symposium on Antennas and Propagation & USNC/URSI National Radio Science Meeting, Boston, MA, USA, 8–13 July 2018; pp. 1887–1888. [Google Scholar]
- Wagih, M.; Hilton, G.; Weddell, A.; Beeby, S. Broadband Millimeter-Wave Textile-Based Flexible Rectenna for Wearable Energy Harvesting. IEEE Trans. Microw. Theory Tech. 2020, 68, 4960–4972. [Google Scholar] [CrossRef]
- Chandravanshi, S.; Katare, K.; Akhtar, M. A Flexible Dual-Band Rectenna with Full Azimuth Coverage. IEEE Access 2021, 9, 27476–27484. [Google Scholar] [CrossRef]
- Eltresy, N.A.; Dardeer, O.M.; Al-Habal, A.; Elhariri, E.; Abotaleb, A.M.; Elsheakh, D.N.; Khattab, A.; Taie, S.A.; Mostafa, H.; Elsadek, H.A.; et al. Smart Home IoT System by Using RF Energy Harvesting. J. Sens. 2020, 2020, 8828479. [Google Scholar] [CrossRef]












| W | L | Wo | Lo | h | W1 | Wd | L1 | L2 | L3 | L4 | X | r | D1 | D2 | tan σ |
|---|---|---|---|---|---|---|---|---|---|---|---|---|---|---|---|
| 31 | 32 | 3 | 19.5 | 1.575 | 4.3 | 2.35 | 18.7 | 18.7 | 23.3 | 24.6 | 1.4 | 11 | 11 | 7.4 | 0.0026 |
![]() | ![]() | ![]() |
| 3.5 GHz | 12.5 GHz | 14.5 GHz |
![]() | ![]() | ![]() |
| 15.5 GHz | 18.5 GHz | 22 GHz |
| F (GHz) | Phi = 0 | 3D Radiation | Phi = 90 | 3D Radiation |
|---|---|---|---|---|
| 3.5 | ![]() | ![]() | ![]() | ![]() |
| 12.5 | ![]() | ![]() | ![]() | ![]() |
| 14.5 | ![]() | ![]() | ![]() | ![]() |
| 17.5 | ![]() | ![]() | ![]() | ![]() |
| Ref. | Size (mm3) | Size (λg)2 | Substrate | Res. Fre./BW | No. of Bands | |S11|(dB) | Application |
|---|---|---|---|---|---|---|---|
| [16] | 45 × 57 × 1.5 | 2 × 1.24 | FR4 = 4.4 | 1–13 GHz | 1 | −17 | UWB |
| [17] | 40 × 40 × 1.6 | 1.4 × 0.94 | RT = 2.2 | 1.22–47.5 GHz | 1 | −14 | UWB and 5G |
| [18] | 62 × 64 × 1.6 | 1.26 × 0.86 | FR4 = 4.4 | 1.68–26 GHz | 1 | −19 | UWB |
| [19] | 40 × 40 × 1.6 | 1.1 × 0.83 | RT = 2.2 | 13.67, 15.28 GHz | 2 | −19 | Satellite |
| [20] | 50 × 50 × 1.6 | 0.66 × 0.66 | FR4 = 4.4 | 25 GHz | 1 | −21 | 5G |
| This Work | 32 × 31 × 1.575 | 0.31 × 0.21 | RT4003 = 2.2 | 2.5 to 25 GHz | 2 | −25 | 5G and IoT |
| TL1 | TL2 | TL3 | TL4 | TL5 | TL6 | TL7 | TL8 |
|---|---|---|---|---|---|---|---|
| 5/15 | 0.5/12 | 3/3 | 3/2 | 2/5 | 2/2 | 1/3 | 1/2 |
| Ref. | Diode Structure | Antenna Structure | Max. Effic. | DC Output Volt | Frequency (GHz) |
|---|---|---|---|---|---|
| [25] | MoS2 Schottky barrier | Flexible substrate | 40.1% | 0.9 V/10 GHz, 0.5 V/15 GHz (pin = 0 dBm) | 2.4, 5.9, 10 and 15 |
| [30] | Ni-NiO-Cr metal–insulator–metal (MIM) | microstrip slot | N/A | 56 mV (pin = 0 dBm) | 2.45 |
| [31] | Au/HfO2/Pt (MIM) | Bow Tie | N/A | 0.25 mV (at pin −20 dBm) | 55–65 |
| [32] | Graphene | Patch array | N/A | 95 mV | 28 |
| [33] | MoS2 Schottky barrier | Commercial antenna | N/A | 10 mV/2.4 GHz (pin = 0 dBm) | 0.1–10 |
| [34] | SMS7630 | Meander monopole | 40% | N/A | 2.4 |
| [35] | SMS7630 and MA4E-1319 | Broadband antipodal Vivaldi | 12% | 6.5 V (pin = 20 dBm) | 22.6–40 |
| [36] | SMS7630 | Dual ring-shaped monopole | 40% | 41 mV (pin = 0 dBm) | 1.8–2.6 |
| [37] | HSMS 2860 | Dual linearly polarized antenna array | 40% | 500 mV | 1.8–2.1 |
| This work | ZnO Schottky barrier | Moon-shaped cut | 25% | 250 mV/3.5 GHz (pin = 0 dBm) | 3.5, 6, 8, 10, 18 |
Disclaimer/Publisher’s Note: The statements, opinions and data contained in all publications are solely those of the individual author(s) and contributor(s) and not of MDPI and/or the editor(s). MDPI and/or the editor(s) disclaim responsibility for any injury to people or property resulting from any ideas, methods, instructions or products referred to in the content. |
© 2023 by the authors. Licensee MDPI, Basel, Switzerland. This article is an open access article distributed under the terms and conditions of the Creative Commons Attribution (CC BY) license (https://creativecommons.org/licenses/by/4.0/).
Share and Cite
Kayed, S.I.; Elsheakh, D.N.; Mohamed, H.A.; Shawkey, H.A. Multiband Microstrip Rectenna Using ZnO-Based Planar Schottky Diode for RF Energy Harvesting Applications. Micromachines 2023, 14, 1006. https://doi.org/10.3390/mi14051006
Kayed SI, Elsheakh DN, Mohamed HA, Shawkey HA. Multiband Microstrip Rectenna Using ZnO-Based Planar Schottky Diode for RF Energy Harvesting Applications. Micromachines. 2023; 14(5):1006. https://doi.org/10.3390/mi14051006
Chicago/Turabian StyleKayed, Somaya I., Dalia N. Elsheakh, Hesham A. Mohamed, and Heba A. Shawkey. 2023. "Multiband Microstrip Rectenna Using ZnO-Based Planar Schottky Diode for RF Energy Harvesting Applications" Micromachines 14, no. 5: 1006. https://doi.org/10.3390/mi14051006
APA StyleKayed, S. I., Elsheakh, D. N., Mohamed, H. A., & Shawkey, H. A. (2023). Multiband Microstrip Rectenna Using ZnO-Based Planar Schottky Diode for RF Energy Harvesting Applications. Micromachines, 14(5), 1006. https://doi.org/10.3390/mi14051006























