Optical Characterization of ALD-Coated Nanoporous Alumina Structures: Effect of Sample Geometry or Coated Layer Material
Abstract
1. Introduction
2. Materials and Methods
2.1. Materials
2.2. Surface Analysis
2.3. Optical Characterizations
3. Results and Discussion
3.1. SEM Characterization
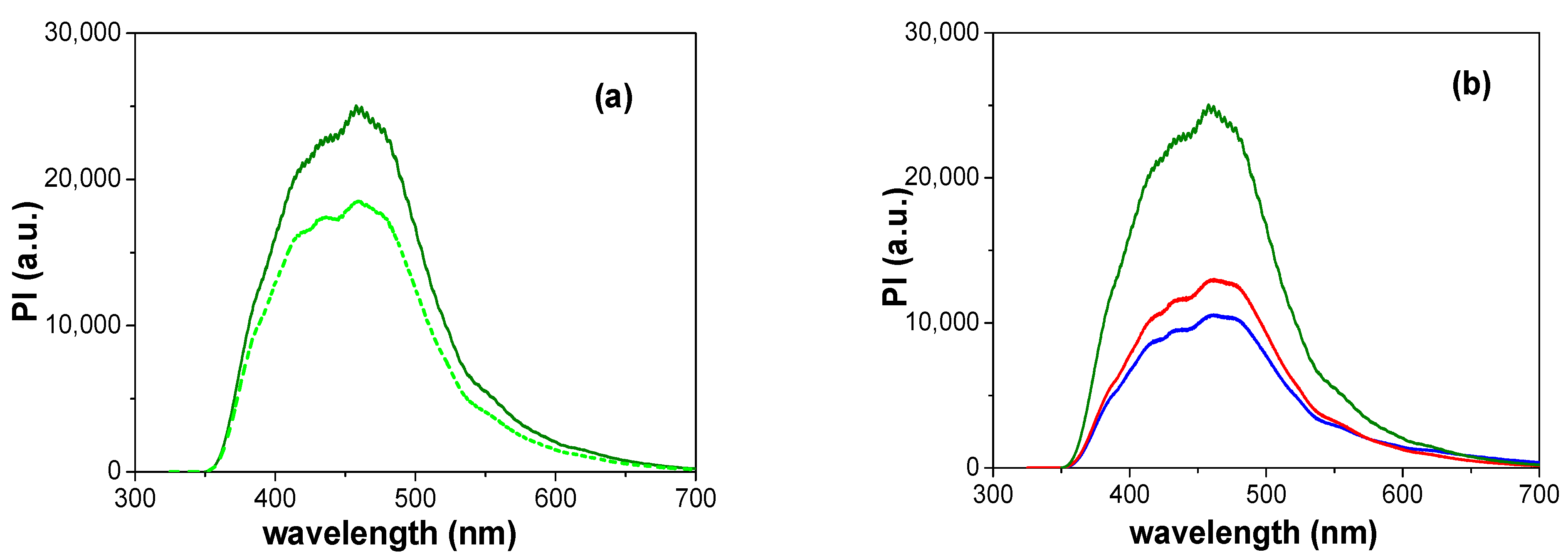
3.2. Optical Characterization
4. Conclusions
Supplementary Materials
Author Contributions
Funding
Data Availability Statement
Acknowledgments
Conflicts of Interest
References
- Testoni, G.E.; Chiappim, W.; Pessoa, R.S.; Fraga, M.A.; Miyakawa, W.; Sakane, K.K.; Galvão, N.K.A.M.; Vieira, L.; Maciel, H.S. Influence of the Al2O3 partial-monolayer number on the crystallization mechanism of TiO2 in ALD TiO2/Al2O3 nanolaminates and its impact on the material properties. J. Phys. D Appl. Phys. 2016, 49, 375301. [Google Scholar] [CrossRef]
- Chiappim, W.; Testoni, G.; Miranda, F.; Fraga, M.; Furlan, H.; Saravia, D.A.; Sobrinho, A.d.S.; Petraconi, G.; Maciel, H.; Pessoa, R. Effect of Plasma-Enhanced Atomic Layer Deposition on Oxygen Overabundance and Its Influence on the Morphological, Optical, Structural, and Mechanical Properties of Al-Doped TiO2 Coating. Micromachines 2021, 12, 588. [Google Scholar] [CrossRef]
- Rahman, M.M.; Kim, J.-G.; Kim, D.-H.; Kim, T.-W. Characterization of Al Incorporation into HfO2 Dielectric by Atomic Layer Deposition. Micromachines 2019, 10, 361. [Google Scholar] [CrossRef] [PubMed]
- Mackus, A.J.M.; Schneider, J.R.; MacIsaac, C.; Baker, J.G.; Bent, S.F. Synthesis of Doped, Ternary, and Quaternary Materials by Atomic Layer Deposition: A Review. Chem. Mater. 2019, 31, 1142–1183. [Google Scholar] [CrossRef]
- Oviroh, P.O.; Akbarzadeh, R.; Pan, D.; Coetzee, R.A.M.; Jen, T.C. New development of atomic layer deposition: Processes, methods and applications. Sci. Technol. Adv. Mater. 2019, 20, 465–496. [Google Scholar] [CrossRef] [PubMed]
- Geng, G.; Zhang, Z.; Li, C.; Pan, R.; Li, Y.; Yang, H.; Li, J. Atomic Layer Assembly Based on Sacrificial Templates for 3D Nanofabrication. Micromachines 2022, 13, 856. [Google Scholar] [CrossRef] [PubMed]
- Shkondin, E.; Takayama, O.; Panah, M.E.A.; Liu, P.; Larsen, P.V.; Mar, M.D.; Jensen, F.; Lavrinenko, A.V. Large-scale high aspect ratio Al-doped ZnO nanopillars arrays as anisotropic metamaterials. Opt. Mater. Express 2017, 7, 1606–1627. [Google Scholar] [CrossRef]
- Shkondin, E.; Takayama, O.; Lindhard, J.M.; Larsen, P.V.; Mar, M.D.; Jensen, F.; Lavrinenko, A.V. Fabrication of high aspect ratio TiO2 and Al2O3 nanogratings by atomic layer deposition. J. Vac. Sci. Technol. A Vac. Surf. Film. 2016, 34, 031605. [Google Scholar] [CrossRef]
- O’Neill, B.J.; Jackson, D.H.K.; Lee, J.; Canlas, C.; Stair, P.C.; Marshall, C.L.; Elam, J.W.; Kuech, T.F.; Dumesic, J.A.; Huber, J.W. Catalyst Design with Atomic Layer Deposition. ACS Catal. 2015, 5, 1804–1825. [Google Scholar] [CrossRef]
- Zhang, B.; Qin, Y. Interface Tailoring of Heterogeneous Catalysts by Atomic Layer Deposition. ACS Catal. 2018, 8, 10064–10081. [Google Scholar] [CrossRef]
- Ivanova, T.V.; Homola, T.; Bryukvin, A.; Cameron, D.C. Catalytic Performance of Ag2O and Ag Doped CeO2 Prepared by Atomic Layer Deposition for Diesel Soot Oxidation. Coatings 2018, 8, 237. [Google Scholar] [CrossRef]
- Chen, X.; Baumgart, H. Advances in Atomic Layer Deposition (ALD) Nanolaminate Synthesis of Thermoelectric Films in Porous Templates for Improved Seebeck Coefficient. Materials 2020, 13, 1283. [Google Scholar] [CrossRef] [PubMed]
- Koshtyal, Y.; Nazarov, D.; Ezhov, I.; Mitrofanov, I.; Kim, A.; Rymyantsev, A.; Lyutakov, O.; Popovich, A.; Maximov, M. Atomic Layer Deposition of NiO to Produce Active Material for Thin-Film Lithium-Ion Batteries. Coatings 2019, 9, 301. [Google Scholar] [CrossRef]
- Wen, L.; Zhou, M.; Wang, C.; Mi, Y.; Lei, Y. Nanoengineering Energy Conversion and Storage Devices via Atomic Layer Deposition. Adv. Energy Mater. 2016, 6, 1600468. [Google Scholar] [CrossRef]
- Mäntymäki, M.; Ritala, M.; Leskelä, M. Metal Fluorides as Lithium-Ion Battery Materials: An Atomic Layer Deposition Perspective. Coatings 2018, 8, 277. [Google Scholar] [CrossRef]
- Seppänen, H.; Kim, I.; Etula, J.; Ubyivovk, E.; Bouravleuv, A.; Lipsanen, H. Aluminum Nitride Transition Layer for Power Electronics Applications Grown by Plasma-Enhanced Atomic Layer Deposition. Materials 2019, 12, 406. [Google Scholar] [CrossRef] [PubMed]
- Kim, W.; Yasmeen, S.; Nguyen, C.T.; Lee, H.-B.-R.; Choi, D. Toward Enhanced Humidity Stability of Triboelectric Mechanical Sensors via Atomic Layer Deposition. Nanomaterials 2021, 11, 1795. [Google Scholar] [CrossRef]
- Wilson, R.L.; Simion, C.E.; Blackman, C.S.; Carmalt, C.J.; Stanoiu, A.; Di Maggio, F.; Covington, J.A. The Effect of Film Thickness on the Gas Sensing Properties of Ultra-Thin TiO2 Films Deposited by Atomic Layer Deposition. Sensors 2018, 18, 735. [Google Scholar] [CrossRef]
- Xu, H.; Akbari, M.K.; Kumar, S.; Verpoort, F.; Zhuiykov, S. Atomic layer deposition—State-of-the-art approach to nanoscale hetero-interfacial engineering of chemical sensors electrodes: A review. Sens. Actuators B Chem. 2021, 331, 129403. [Google Scholar] [CrossRef]
- Huang, J.; Wang, X.; Wang, Z.L. Controlled Replication of Butterfly Wings for Achieving Tunable Photonic Properties. Nano Lett. 2006, 6, 2325–2331. [Google Scholar] [CrossRef]
- Masuda, H.; Fukuda, K. Ordered Metal Nanohole Arrays Made by a Two-Step Replication of Honeycomb Structures of Anodic Alumina. Science 1995, 268, 1466–1468. [Google Scholar] [CrossRef] [PubMed]
- Nielsch, K.; Choi, J.; Schwirn, K.; Wehrspohn, R.B.; Gösele, U. Self-ordering regimes of porous alumina: The 10% porosity rule. Nano Lett. 2002, 2, 677–680. [Google Scholar] [CrossRef]
- Kennard, R.; DeSisto, W.J.; Mason, M.D. Molecular diffusivity measurement through an alumina membrane using time-resolved fluorescence imaging. Appl. Physics Let. 2010, 97, 213701. [Google Scholar] [CrossRef]
- Vázquez, M.I.; Romero, V.; Vega, V.; García, J.; Prida, V.M.; Hernado, B.; Benavente, J. Morphological, Chemical Surface, and Diffusive Transport Characterizations of a Nanoporous Alumina Membrane. Nanomaterials 2015, 5, 2192–2202. [Google Scholar] [CrossRef]
- Martín, R.; Manzano, C.V.; Martín-González, M. In-depth study of self-ordered porous alumina in the 140–400 nm pore diameter range. Micropor. Mesopor. Mat. 2012, 151, 311–316. [Google Scholar] [CrossRef]
- Ruíz-Clavijo, A.; Caballero-Calero, O.; Martín-González, M. Revisiting anodic alumina templates: From fabrication to applications. Nanoscale 2021, 13, 2227–2265. [Google Scholar] [CrossRef]
- Prida, V.M.; Sanz, R.; Vega, V.; Navas, D.; Pirota, K.R.; Asenjo, A.; Hernández-Vélez, M.; Hernando, B.; Vázquez, M. Title. Encycl. Nanosci. Nanotechnol. 2011, 22, 509–532. [Google Scholar]
- Proenca, M.P.; Sousa, C.T.; Ventura, J.; Araújo, J.P. Cylindrical Magnetic Nanotubes: Synthesis, Magnetism and Applications in Magnetic Nano-and Microwires: Design, Synthesis, Properties and Applications, 2nd ed.; Vázquez, M., Ed.; Woodhead Publishing Series in Electronic and Optical Materials; Elsevier: Amsterdam, The Netherlands, 2020; ISBN 978-0-08-102832-2. [Google Scholar]
- Bluhm, E.A.; Schroeder, N.C.; Bauer, E.; Fife, J.N.; Chamberlin, R.M.K.; Abney, D.; Young, J.S.; Jarvinen, G.D. Surface Effects on Metal Ion Transport across Porous Alumina Membranes. 2. Trivalent Cations: Am, Tb, Eu, and Fe. Langmuir 2000, 16, 7056–7060. [Google Scholar] [CrossRef]
- Aw, M.S.; Bariana, M.; Losic, D. Nanoporous Anodic Alumina for Drug Delivery and Biomedical Applications. In Nanoporous Alumina; Losic, D., Santos, A., Eds.; Materials Science Series; Springer: Cham, Switzerland, 2015; Volume 219. [Google Scholar] [CrossRef]
- Davoodi, E.; Zhianmanesh, M.; Montazerian, H.; Milani, A.S.; Hoorfar, M. Nano-porous anodic alumina: Fundamentals and applications in tissue engineering. J. Mater. Sci. Mater. Med. 2021, 31, 60. [Google Scholar] [CrossRef]
- Kumeria, T.; Santos, A.; Losic, D. Nanoporous Anodic Alumina Platforms: Engineered Surface Chemistry and Structure for Optical Sensing Applications. Sensors 2014, 14, 11878–11918. [Google Scholar] [CrossRef]
- Law, C.S.; Lim, S.Y.; Abell, A.D.; Voelcker, N.H.; Santos, A. Nanoporous Anodic Alumina Photonic Crystals for Optical Chemo- and Biosensing: Fundamentals, Advances, and Perspectives. Nanomaterials 2018, 8, 788. [Google Scholar] [CrossRef] [PubMed]
- Cuevas, A.L.; González, A.S.; Vega, V.; Prida, V.M.; Benavente, J. Optical and Electrochemical Characterization of Nanoporous Alumina Structures: Pore Size, Porosity, and Structure Effect. Appl. Sci. 2020, 10, 4864. [Google Scholar] [CrossRef]
- Yamamoto, Y.; Baba, N.; Tajima, S. Coloured materials and photoluminescence centres in anodic film of aluminium. Nature 1981, 289, 572–574. [Google Scholar] [CrossRef]
- Du, Y.; Cai, W.L.; Mo, C.M.; Chen, J. Preparation and photoluminescence of alumina membranes with ordered pore arrays. Appl. Phys. Lett. 1999, 74, 2951–2953. [Google Scholar] [CrossRef]
- Peng, H.J.; Ho, Y.L.; Yu, X.J.; Kwok, H.S. Enhanced coupling of light from organic light emitting diodes using nanoporous films. J. Appl. Phys. 2004, 96, 1649. [Google Scholar] [CrossRef]
- Moghadam, H.; Samini, A.; Behzadmer, A. Effect of nanoporous anodic aluminium oxide (AAO) characteristics on solar absorptivity. Trans. Phenom. Nano Micro Scales 2013, 1, 110–116. [Google Scholar]
- Romero, V.; Vega, V.; García, J.; Zierold, R.; Nielsch, K.; Prida, V.M.; Hernando, B.; Benavente, J. Changes in morphology and ionic transport induced by ALD SiO2 coating of nanoporous alumina membranes. ACS Appl. Mater. Interfaces 2013, 5, 3556–3564. [Google Scholar] [CrossRef]
- Cuevas, A.L.; Martínez de Yuso, M.V.; Vega, V.; González, A.S.; Prida, V.M.; Benavente, J. Influence of ALD Coating Layers on the Optical Properties of Nanoporous Alumina-Based Structures. Coatings 2019, 9, 43. [Google Scholar] [CrossRef]
- Cuevas, A.L.; Martínez de Yuso, M.V.; Gelde, L.; González, A.S.; Vega, V.; Cuevas, A.L.; Prida, V.M.; Benavente, J. Chemical, optical and transport characterization of ALD modified nanoporous alumina based structures. J. Ind. Eng. Chem. 2020, 91, 139–148. [Google Scholar] [CrossRef]
- Richey, N.E.; de Paula, C.; Bent, F.S. Understanding chemical and physical mechanisms in atomic layer deposition. J. Chem. Phys. 2020, 152, 040902. [Google Scholar] [CrossRef]
- Santos, A.; Alba, M.; Rahman, M.M.; Formentín, P.; Ferré-Borrull, J.; Pallarés, J. Structural tuning of photoluminescence in nanoporous anodic alumina by hard anodization in oxalic and malonic acids. Nanoscale Res. Let. 2012, 7, 22. [Google Scholar] [CrossRef]
- Villalobos-Mendoza, B.; Granados-Agustín, F.S.; Aguirre-Aguirre, D.; Cornejo-Rodríguez, A. Phase shifting interferometry using a spatial light modulator to measure optical thin films. Appl. Opt. 2015, 54, 7997–8003. [Google Scholar] [CrossRef] [PubMed]
- Ghim, Y.S.; Rhee, H.G. Instantaneous thickness measurement of multilayer films by single-shot angle-resolved spectral reflectometry. Opt. Lett. 2019, 44, 5418–5421. [Google Scholar] [CrossRef] [PubMed]
- Algarra, M.; Cuevas, A.L.; Martínez de Yuso, M.V.; Benavente, J. Insights into the formation of an emissive CdTe-quantum- dots/cellulose hybrid film. J. Colloid Interface Sci. 2020, 579, 722–774. [Google Scholar] [CrossRef] [PubMed]
- Papadimitriou, D.N. Engineering of optical and electrical properties of electrodeposited highly doped Al:ZnO and In:ZnO for cost-effective photovoltaic devices technology. Micromachines 2022, 13, 1966. [Google Scholar] [CrossRef] [PubMed]
- Hilfiker, J.N.; Pietz, B.; Dodge, B.; Sun, J.; Hong, N.; Schoeche, S. Spectroscopic ellypsometry characterization of coatings on biaxially anisotropic polymeric substrates. Appl. Surf. Sci. 2017, 421, 500–507. [Google Scholar] [CrossRef]
- Kamble, S.; Patil, S.; Kulkarni, M.; Murthy, A.V.R. Spectroscopic Ellipsometry of fluid and gel phase lipid bilayers in hydrated conditions. Coll. Surf. B Biointerf. 2019, 179, 55–61. [Google Scholar] [CrossRef]
- Pizarda, M.; Altinas, Z. Recent progress in optical sensors for biomedical diagnosis. Micromachines 2020, 11, 356. [Google Scholar] [CrossRef]
- Losurdo, M.; Begmair, M.; Bruno, G.; Cattelan, D.; Cobet, C.; De Martina, A.; Fleischer, K.; Dohcevic-Mitrovic, Z.; Esser, N.; Galliet, M.; et al. Spectroscopic ellipsometry and polarimetry for materials and systems analysis at the nanoscale: State-of-art, potential, and perspectives. J. Nanopart. Res. 2009, 11, 1521–1554. [Google Scholar] [CrossRef]
- Li, L.; Lei, J.; Wu, L.; Pan, F. Spectroscopic Ellipsometry in Handbook of Modern Coating Technologies: Advanced Characterization Methods; Elsevier: Amsterdam, The Netherlands, 2021; pp. 45–83. [Google Scholar]
- Bachmann, J.; Zierold, R.; Chong, Y.T.; Hauert, R.; Sturm, C.; Schmidt-Grund, R.; Rheinländer, B.; Grundmann, M.; Gösele, U.; Nielsch, K. A Practical, Self-Catalytic, Atomic Layer Deposition of Silicon Dioxide. Angew. Chem. Int. Ed. 2008, 47, 6177–6179. [Google Scholar] [CrossRef]
- Gautam, L.K.; Junda, M.M.; Haneef, H.F.; Collins, R.W.; Nikolas, J.; Podraza, N.J. Spectroscopic Ellipsometry Studies of n-i-p Hydrogenated Amorphous Silicon Based Photovoltaic Devices. Materials 2016, 9, 128. [Google Scholar] [CrossRef] [PubMed]
- González, A.S.; Vega, V.; Cuevas, A.L.; Martínez de Yuso, M.V.; Prida, V.M.; Benavente, J. Surface Modification of Nanoporous Anodic Alumina during Self-Catalytic Atomic Layer Deposition of Silicon Dioxide from (3-Aminopropyl)Triethoxysilane. Materials 2021, 14, 5052. [Google Scholar] [CrossRef]
- Lee, W.; Park, S.-J. Porous Anodic Aluminum Oxide: Anodization and Templated Synthesis of Functional Nanostructures. Chem. Rev. 2014, 114, 7487–7556. [Google Scholar] [CrossRef] [PubMed]
- Weber, M.; Julbe, A.; Ayral, A.; Miele, P.; Bechelany, M. Atomic Layer Deposition for Membranes: Basics, Challenges, and Opportunities. Chem. Mater. 2018, 30, 7368–7390. [Google Scholar] [CrossRef]
- Schneider, C.A.; Rasband, W.S.; Eliceiri, K.W. NIH Image to ImageJ: 25 years of image analysis. Nat. Methods. 2012, 9, 671–675. [Google Scholar] [CrossRef]
- Gâlcä, A.C.; Kooij, E.S.; Wormeester, H.; Salm, C.; Leca, V.; Rector, J.H.; Poelsema, B. Structural and optical characterizations of porous anodic aluminium oxide. J. Appl. Phys. 2003, 94, 4296–4305. [Google Scholar] [CrossRef]
- Logothetidis, S.; Gioti, M.; Gravalidis, C. Optical and electronic characterization on polymeric membranes. Synth. Met. 2003, 138, 369–374. [Google Scholar] [CrossRef]
- Tompkins, G.; Hilfiker, J.N. Spectroscopic Ellipsometry: Practical Application to Thin Film Characterization, 1st ed.; Momentum Press: New York, NY, USA, 2016; pp. 57–70. [Google Scholar]
- Algarra, M.; Ana, L.; Cuevas, A.L.; Martínez de Yuso, M.V.; Romero, R.; Alonso, B.; Casado, C.M.; Benavente, J. Optical and Physicochemical Characterizations of a Cellulosic/CdSe-QDs@S-DAB5 Film. Nanomaterials 2022, 12, 484. [Google Scholar] [CrossRef]
- Zheng, H.; Zhang, R.-J.; Li, D.-H.; Chen, X.; Wang, S.-Y.; Zheng, Y.-X.; Li, M.-J.; Hu, Z.-G.; Dai, N.; Chen, L.-Y. Optical properties of Al-doped ZnO films in the infrared region and their adsorption applications. Nanoscale Res. Lett. 2018, 13, 149. [Google Scholar] [CrossRef]
- Bao, Y.; Xu, S. Variable-period oscillations in optical spectra in sub-bandgap long wavelength region: Signatures of new dispersion of refractive index? J. Phys. D Appl. Phys. 2021, 54, 155102. [Google Scholar] [CrossRef]
- Yamaguchi, S.; Sugimoto, Y.; Fujiwara, H. Characterization of textured SnO2:F layers by ellipsometry using glass-side illumination. Thin Solid Films 2013, 534, 149–154. [Google Scholar] [CrossRef]
- Vaxa Software. Available online: www.vaxasoftware.com (accessed on 1 March 2023).
- Chung, C.K.; Chu, B.Y.; Tsai, C.H.; Hsu, C.R. Photoluminescence enhancement of nanoporous alumina using one-step anodization of high- and low-purity aluminium at room temperature. Mater. Let. 2017, 190, 157–160. [Google Scholar] [CrossRef]
- Reddy, P.R.; Ajith, K.; Udayashankar, N. Morphology and photoluminescence of nano-porous anodic alumina membranes obtained in oxalic acid at different anodization potentials. Nano Express 2020, 1, 010047. [Google Scholar] [CrossRef]
- Vrublevsky, I.A.; Chernyakova, K.V.; EMuratova, E.N.; Spivak, Y.M.; Moshnikov, V.A. Photoluminescence and its damping kinetics of nanoporous alumina membranes formed in solutions of various carboxylic acids. Mater. Sci. Semicond. Process. 2020, 106, 104755. [Google Scholar] [CrossRef]
- Acosta, L.K.; Law, C.S.; Santos, A.; Ferré-Borrull, J.; Marsal, L.F. Tuning intrinsic photoluminescence from light-emitting multispectral nanoporous anodic alumina photonic crystals. APL Photonics 2022, 7, 026108. [Google Scholar] [CrossRef]
- Choudhari, K.S.; Kulkarni, S.D.; Unnikrishnan, V.K.; Sinha, R.K.; Santhosh, C.; George, S.D. Optical characterizations of nanoporous anodic alumina for thickness measurements using interference oscillations. Nano Struct. Nano Objects 2019, 19, 100354. [Google Scholar] [CrossRef]
- Pirouz, A.; Ebrahimi, A.; Karbassion, F.; Mahajerzadeh, S. Photoluminescence from SiO2 nanostructures prepared by a sequential RIE process. In Proceedings of the IEEE Nanotechnology Materials & Devices Conference, Jeju, Republic of Korea, 18–21 October 2011; pp. 372–375. [Google Scholar] [CrossRef]
- Kumar, K.; Poulose, V.; Laz, Y.T.; Chandra, F.; Abubakar, S.; Abdelhamid, A.S.; Alzamly, A.; Saleh, N. Temperature Control of Yellow Photoluminescence from SiO2-Coated ZnO Nanocrystals. Nanomaterials 2022, 12, 3368. [Google Scholar] [CrossRef]
- Shi, Y.; He, L.; Guang, F.; Li, L.; Xin, Z.; Liu, R. A Review: Preparation, Performance, and Applications of Silicon Oxynitride Film. Micromachines 2019, 10, 552. [Google Scholar] [CrossRef]
- Valeev, R.G.; Petukhov, D.I.; Kriventsov, V.V. Structure and optical properties of thin porous anodic alumina films synthesized on a glass surface. Phys. Procedia 2016, 84, 415–420. [Google Scholar] [CrossRef]
- Baraban, A.P.; Samarin, S.N.; Prokofiev, V.A.; Dmitriev, V.A.; Selivanov, A.A.; Petrov, Y. Luminescence of SiO2 layers on silicon at various types of excitation. J. Luminisc. 2019, 205, 102–108. [Google Scholar] [CrossRef]
- Chetibi, L.; Busko, T.; Kulish, N.P.; Hamana, D.; Chaieb, S.; Achour, S. Photoluminescence properties of TiO2 nanofibers. J. Nanopart. Res 2017, 19, 129. [Google Scholar] [CrossRef]









| Material (Substrate Temperature) | Precursors (Precursor Temperature) | t1 (s) | t2 (s) | t3 (s) |
|---|---|---|---|---|
| SiO2 (150 °C) | H2O (60 °C) | 1 | 60 | 120 |
| O3 (25 °C) | 0.1 | 60 | 120 | |
| H2N(CH2)3Si(OC2H5)3 (100 °C) | 2 | 60 | 120 | |
| TiO2 (200 °C) | H2O (60 °C) | 1 | 60 | 120 |
| Ti[OCH(CH3)2]4 (75 °C) | 1 | 60 | 60 | |
| Fe2O3 (230 °C) | O3 (25 °C) | 0.1 | 60 | 120 |
| C10H10Fe (100 °C) | 3 | 60 | 120 |
Disclaimer/Publisher’s Note: The statements, opinions and data contained in all publications are solely those of the individual author(s) and contributor(s) and not of MDPI and/or the editor(s). MDPI and/or the editor(s) disclaim responsibility for any injury to people or property resulting from any ideas, methods, instructions or products referred to in the content. |
© 2023 by the authors. Licensee MDPI, Basel, Switzerland. This article is an open access article distributed under the terms and conditions of the Creative Commons Attribution (CC BY) license (https://creativecommons.org/licenses/by/4.0/).
Share and Cite
Cuevas, A.L.; Vega, V.; Domínguez, A.; González, A.S.; Prida, V.M.; Benavente, J. Optical Characterization of ALD-Coated Nanoporous Alumina Structures: Effect of Sample Geometry or Coated Layer Material. Micromachines 2023, 14, 839. https://doi.org/10.3390/mi14040839
Cuevas AL, Vega V, Domínguez A, González AS, Prida VM, Benavente J. Optical Characterization of ALD-Coated Nanoporous Alumina Structures: Effect of Sample Geometry or Coated Layer Material. Micromachines. 2023; 14(4):839. https://doi.org/10.3390/mi14040839
Chicago/Turabian StyleCuevas, Ana Laura, Víctor Vega, Antonia Domínguez, Ana Silvia González, Víctor M. Prida, and Juana Benavente. 2023. "Optical Characterization of ALD-Coated Nanoporous Alumina Structures: Effect of Sample Geometry or Coated Layer Material" Micromachines 14, no. 4: 839. https://doi.org/10.3390/mi14040839
APA StyleCuevas, A. L., Vega, V., Domínguez, A., González, A. S., Prida, V. M., & Benavente, J. (2023). Optical Characterization of ALD-Coated Nanoporous Alumina Structures: Effect of Sample Geometry or Coated Layer Material. Micromachines, 14(4), 839. https://doi.org/10.3390/mi14040839

