A Compact Circular Rectenna for RF-Energy Harvesting at ISM Band
Abstract
1. Introduction
2. Rectenna Design
2.1. Monopole Receiving Antenna Design
2.2. Design of the Rectifier
3. Rectenna Simulation Results and Discussion
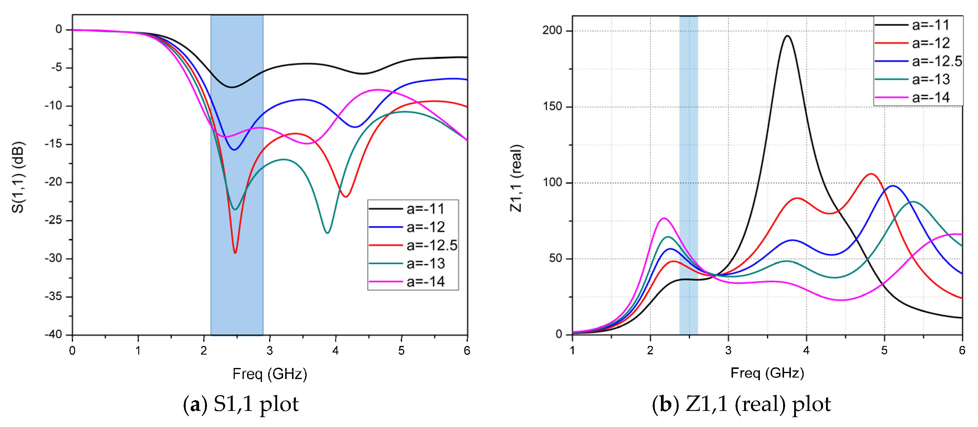
3.1. Monopole Antenna Simulation Results and Discussion
3.2. Rectifier Results and Discussion
4. Rectenna Calibration
5. Conclusions
Author Contributions
Funding
Data Availability Statement
Conflicts of Interest
References
- Shi, Y.; Jing, J.; Fan, Y.; Yang, L.; Wang, M. Design of a Novel Compact and Efficient Rectenna for WiFi Energy Harvesting. Prog. Electromagn. Res. C 2018, 83, 57–70. [Google Scholar] [CrossRef]
- Derbal, M.C.; Nedil, M. A High Gain Dual Band Rectenna for RF Energy Harvesting Applications. Prog. Electromagn. Res. Lett. 2020, 90, 29–36. [Google Scholar] [CrossRef]
- Said, M.A.M.; Zakaria, Z.; Husain, M.N.; Misran, M.H.; Noor, F.S.M. 2.45 GHz rectenna with high gain for RF energy harvesting. TELKOMNIKA 2019, 17, 384–391. [Google Scholar] [CrossRef]
- Noor, F.S.M.; Zakaria, Z.; Lago, H.; Said, M.A.M. Dual-band aperture-coupled rectenna for radio frequency energy harvesting. Int. J. RF Microw. Comput. Aided Eng. 2019, 29, e21651. [Google Scholar] [CrossRef]
- Shi, Y.; Jing, J.; Fan, Y.; Yang, L.; Pang, J.; Wang, M. Efficient RF energy harvest with a novel broadband Vivaldi rectenna. Microw. Opt. Technol. Lett. 2018, 60, 2420–2425. [Google Scholar] [CrossRef]
- Jain, J.; Sharma, A. Dual-Band Rectangular Microstrip Patch Antenna Design for RF Energy Harvesting. Opt. Wirel. Technol. 2018, 472, 599–605. [Google Scholar] [CrossRef]
- Wang, M.; Fan, Y.; Yang, L.; Li, Y.; Feng, J.; Shi, Y. Compact dual-band rectenna for RF energy harvest based on a tree-like antenna. IET Microw. Antennas Propag. 2019, 13, 1350–1357. [Google Scholar] [CrossRef]
- Jie, A.M.; Nasimuddin, N.; Karim, M.F.; Chandrasekaran, K.T. A dual-band efficient circularly polarized rectenna for RF energy harvesting systems. Int. J. RF Microw. Comput. Aided Eng. 2019, 29, e21665. [Google Scholar] [CrossRef]
- Prasad, L.; Mohanta, H.C.; Vinay, K.P. Wide Band Conformal Coplanar Benz Shaped Circular Ring Antenna for C and X Band Applications. In Proceedings of the 2022 International Conference on Computing, Communication and Power Technology (IC3P), Visakhapatnam, India, 7–8 January 2022; pp. 44–47. [Google Scholar] [CrossRef]
- Aysha Safeena, A.M.; Sankar, S.P.; Sreelekshmi, S. Dual band Wearable Antenna for ISM band Application. Int. J. Sci. Dev. Res. 2017, 2, 70–74. [Google Scholar]
- Tampouratzis, M.G.; Vouyioukas, D.; Stratakis, D.; Yioultsis, T. Use Ultra-Wideband Discone Rectenna for Broadband RF Energy Harvesting Applications. Technologies 2020, 8, 21. [Google Scholar] [CrossRef]
- Nie, M.-J.; Yang, X.-X.; Tan, G.-N.; Han, B. A Compact 2.45-GHz Broadband Rectenna Using Grounded Coplanar Waveguide. IEEE Antennas Wirel. Propag. Lett. 2015, 14, 986–989. [Google Scholar] [CrossRef]
- Koohestani, M.; Tissier, J.; Latrach, M. A miniaturized printed rectenna for wireless RF energy harvesting around 2.45 GHz. AEU—Int. J. Electron. Commun. 2020, 127, 153478. [Google Scholar] [CrossRef]
- Awais, Q.; Jin, Y.; Chattha, H.T.; Jamil, M.; Qiang, H.; Khawaja, B.A. A Compact Rectenna System with High Conversion Efficiency for Wireless Energy Harvesting. IEEE Access 2018, 6, 35857–35866. [Google Scholar] [CrossRef]
- Shi, Y.; Jing, J.; Fan, Y.; Yang, L.; Li, Y.; Wang, M. A novel compact broadband rectenna for ambient RF energy harvesting. Int. J. Electron. Commun. (AEÜ) 2018, 95, 264–270. [Google Scholar] [CrossRef]
- Kuhn, V.; Seguin, F.; Lahuec, C.; Person, C. Enhancing RF-to-DC conversion efficiency of wideband RF energy harvesters using multi-tone optimization technique. Int. J. Microw. Wirel. Technol. 2016, 8, 143–153. [Google Scholar] [CrossRef]
- Fan, Y.; Liu, X.; Xu, C. A Broad Dual-Band Implantable Antenna for RF Energy Harvesting and Data Transmitting. Micromachines 2022, 13, 563. [Google Scholar] [CrossRef]
- Dey, A.B.; Semwal, N.; Arif, W. Design of a compact and efficient 2.4 GHz rectenna system for energy harvesting. J. Electromagn. Waves Appl. 2022, 36, 1850–1868. [Google Scholar] [CrossRef]
- Sun, H.; Guo, Y.-X.; He, M.; Zhong, Z. Design of a High-Efficiency 2.45-GHz Rectenna for Low-Input-Power Energy Harvesting. IEEE Antennas Wirel. Propag. Lett. 2012, 11, 929–932. [Google Scholar] [CrossRef]
- Kang, Z.; Lin, X.; Tang, C.; Mei, P.; Liu, W.; Fan, Y. 2.45-GHz wideband harmonic rejection rectenna for wireless power transfer. Int. J. Microw. Wirel. Technol. 2017, 9, 977–983. [Google Scholar] [CrossRef]
- Nguyen, H.Q.; Le, M.T. Multiband Ambient RF Energy Harvester with High Gain Wideband Circularly Polarized Antenna toward Self-Powered Wireless Sensors. Sensors 2021, 21, 7411. [Google Scholar] [CrossRef]
- Roy, S.; Tiang, R.J.-J.; Bin Roslee, M.; Ahmed, T.; Mahmud, M.A.P. Quad-Band Multiport Rectenna for RF Energy Harvesting in Ambient Environment. IEEE Access 2021, 9, 77464–77481. [Google Scholar] [CrossRef]
- Da Silva, R.L.R.; Gonçalves, S.T.M.; Vollaire, C.; Bréard, A.; Ramos, G.L.; Rego, C.G.D. Analysis and Optimization of Ultra-Low-Power Rectifier with High Efficiency for Applications in Wireless Power Transmission and Energy Harvesting. J. Microw. Optoelectron. Electromagn. Appl. 2020, 19, 60–85. [Google Scholar] [CrossRef]
- Adam, I.; Malek, M.F.A.; Yasin, M.N.M.; Rahim, H.A. Double band microwave rectifier for energy harvesting. Microw. Opt. Technol. Lett. 2016, 58, 922–927. [Google Scholar] [CrossRef]
- Mansour, M.M.; Kanaya, H. Compact and Broadband RF Rectifier With 1.5 Octave Bandwidth Based on a Simple Pair of L-Section Matching Network. IEEE Microw. Wirel. Compon. Lett. 2018, 28, 335–337. [Google Scholar] [CrossRef]














| Parameters | Values (mm) |
|---|---|
| r | 17.5 |
| WS | 50 |
| LS | 50 |
| WF | 1.5 |
| LF | 12 |
| WG | 50 |
| LG | 12.5 |
| Reference | Antenna Size (mm3) | Frequency (GHz) | Rectifier Type | Input Power (dBm) | PCE (%) | Load Resistance (Ω) | Output DC Voltage (V) |
|---|---|---|---|---|---|---|---|
| [12] | 135 × 93 × 1.5 | 2.45 | Shunt and series | 13 | 72.5 | 900 | NA * |
| [13] | 24.9 × 8.6 × 1.6 | 2.45 | Voltage doubler | −20 | 20 | 4.7 K | 97 m |
| [14] | 18 × 30 × 1.6 | 2.45 | Cockcroft–Walton | 5 | 68 | 5 K | 3.24 |
| [15] | 28 × 37.6 × 1.6 | 2.42 | Voltage doubler | 0 | 62 | 3.8 K | 1.5 |
| [17] | 7.9 × 7.7 × 1.27 | 0.915 | Voltage doubler | 5 | 45 | 4.3 K | 168.3 m |
| [19] | 110 × 90 × 0.635 | 2.45 | Series diode | −3.2 | 83 | 1.4 K | 1.0 |
| This work | 50 × 50 × 1.6 | 2.45 | Voltage doubler | 0 | 52 | 10 K | 2.17 |
Disclaimer/Publisher’s Note: The statements, opinions and data contained in all publications are solely those of the individual author(s) and contributor(s) and not of MDPI and/or the editor(s). MDPI and/or the editor(s) disclaim responsibility for any injury to people or property resulting from any ideas, methods, instructions or products referred to in the content. |
© 2023 by the authors. Licensee MDPI, Basel, Switzerland. This article is an open access article distributed under the terms and conditions of the Creative Commons Attribution (CC BY) license (https://creativecommons.org/licenses/by/4.0/).
Share and Cite
Prashad, L.; Mohanta, H.C.; Mohamed, H.G. A Compact Circular Rectenna for RF-Energy Harvesting at ISM Band. Micromachines 2023, 14, 825. https://doi.org/10.3390/mi14040825
Prashad L, Mohanta HC, Mohamed HG. A Compact Circular Rectenna for RF-Energy Harvesting at ISM Band. Micromachines. 2023; 14(4):825. https://doi.org/10.3390/mi14040825
Chicago/Turabian StylePrashad, Lalbabu, Harish Chandra Mohanta, and Heba G. Mohamed. 2023. "A Compact Circular Rectenna for RF-Energy Harvesting at ISM Band" Micromachines 14, no. 4: 825. https://doi.org/10.3390/mi14040825
APA StylePrashad, L., Mohanta, H. C., & Mohamed, H. G. (2023). A Compact Circular Rectenna for RF-Energy Harvesting at ISM Band. Micromachines, 14(4), 825. https://doi.org/10.3390/mi14040825

