Flexible and Small Textile Antenna for UWB Wireless Body Area Network
Abstract
1. Introduction
2. Material and Antenna Design
2.1. Measurement of Dielectric Characteristics of Denim Textile Substrates
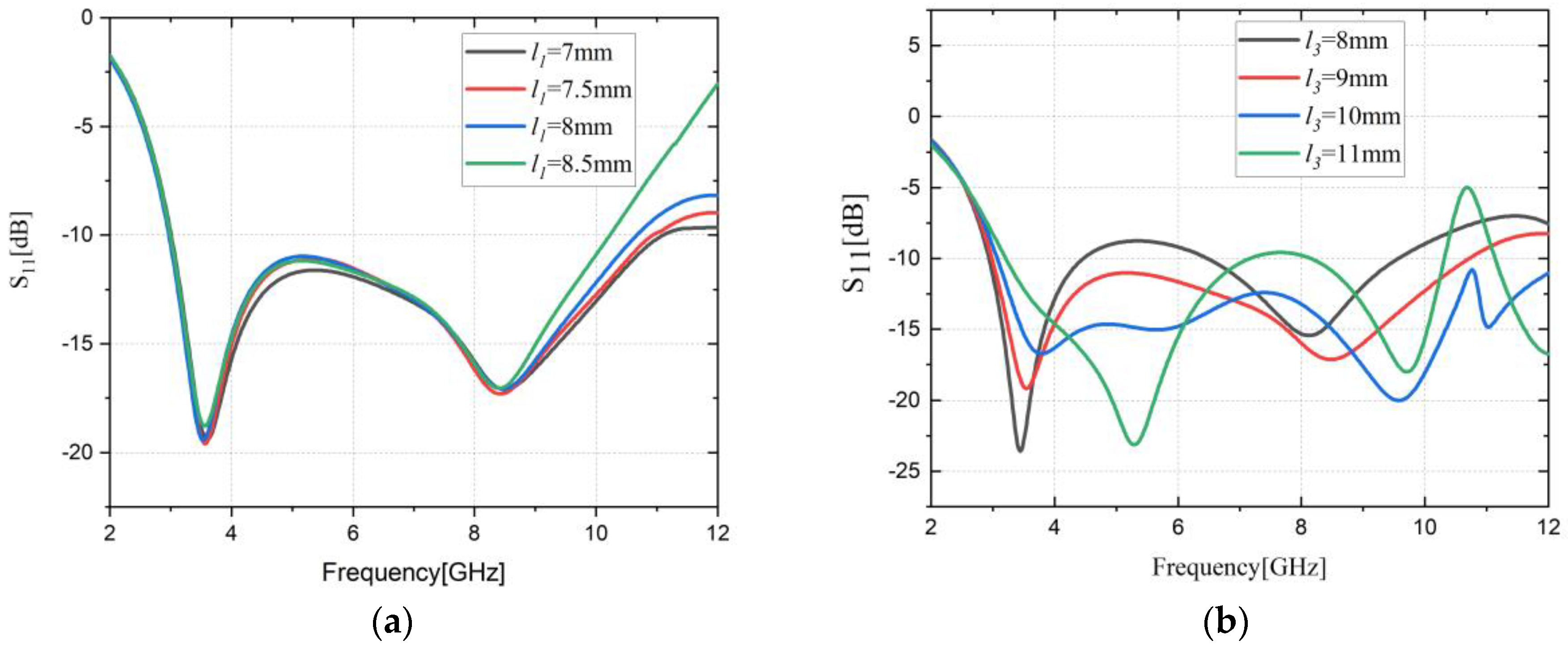
2.2. Antenna Design
3. Results and Discussion
3.1. Measurement and Simulation Results
3.2. Structural Deformation
3.3. Analysis of Specific Absorption Rate
4. Conclusions
Author Contributions
Funding
Informed Consent Statement
Data Availability Statement
Conflicts of Interest
References
- Yang, H.L.; Wang, Y.; Yi, Y. A Dual-Band Low-Profile Metasurface-Enabled Wearable Antenna for WLAN Devices. Prog. Electromagn. Res. C. 2016, 61, 115–125. [Google Scholar]
- Cho, G.; Lee, S.; Cho, J. Review and Reappraisal of Smart Clothing. Int. J. Hum. Comput. Interact. 2009, 25, 582–617. [Google Scholar]
- Osman, M.A.R.; Rahim, M.K.A.; Samsuri, N.A. Textile UWB antenna bending and wet performances. Int. J. Antennas Propag. 2012, 2012, 251682. [Google Scholar]
- Axisa, F.; Schmitt, P.M.; Gehin, C.; Delhomme, G.; McAdams, E.; Dittmar, A. Flexible technologies and smart clothing for citizen medicine, home healthcare, and disease prevention. IEEE Trans. Inf. Technol. Biomed. 2005, 9, 325–336. [Google Scholar]
- Kaivanto, E.K.; Berg, M.; Salonen, E.; Maagt, P. Wearable circularly polarized antenna for personal satellite communication and navigation. IEEE Trans. Antennas Propag. 2011, 59, 4490–4496. [Google Scholar]
- Lilja, J.; Pynttari, V.; Kaija, T.; Makinen, R. Body-worn antennas making a splash: Lifejacket-integrated antennas for global search and rescue satellite system. IEEE Antennas Propag. 2013, 55, 324–341. [Google Scholar]
- Zhang, H.S.; Chai, S.L.; Xiao, K.; Ye, L.F. Numerical and experimental analysis of wideband e-shaped patch textile antenna. Prog. Electromagn. Res. C 2013, 45, 163–178. [Google Scholar] [CrossRef]
- Ouyang, Y.; Chappell, W.J. High-frequency properties of electro-textiles for wearable antenna applications. IEEE Trans. Antennas Propag. 2008, 56, 381–389. [Google Scholar]
- Osman, M.; Rahim, A.; Kamal, M. Design, Implementation and Performance of Ultra-wideband Textile Antenna. Prog. Electromagn. Res. B 2011, 27, 307–325. [Google Scholar]
- Li, R.Q.; Wu, C.; Sun, X.F.; Zhao, Y.; Luo, W. An EBG-Based Triple-Band Wearable Antenna for WBAN Applications. Micromachines 2022, 13, 1938. [Google Scholar]
- Ansari, J.A.; Verma, S.; Verma, M.K.; Agrawal, N. A novel wide band microstrip-line-fed antenna with defected ground for CP operation. Prog. Electromagn. Res. C 2015, 58, 169–181. [Google Scholar] [CrossRef]
- Wang, Y.; Chen, X.; Liu, X.; Yi, L.; Chen, J.; Zhang, A.; Kishk, A.A. Improvement of diversity and capacity of MIMO system using scatterer array. IEEE Trans. Antennas Propag. 2022, 70, 789–794. [Google Scholar] [CrossRef]
- Li, Y.S.; Li, W.X.; Ye, Q.B. A reconfigurable triple notch band antenna integrated with defected microstrip structure band-stop filter for ultra-wideband cognitive radio applications. Int. J. Antennas Propag. 2013, 2013, 472645. [Google Scholar] [CrossRef]
- Jiang, T.; Jiao, T.; Li, Y.; Yu, W. A low mutual coupling MIMO antenna using periodic multi-layered electromagnetic band gap structures. Appl. Comput. Electromagn. Soc. J. 2018, 33, 305–311. [Google Scholar]
- Salvado, R.; Loss, C.; Gonçalves, R.; Pinho, P. Textile Materials for the Design of Wearable Antennas A Survey. Sensors 2012, 12, 15841–15857. [Google Scholar] [CrossRef] [PubMed]
- Chaihongsa, W.; Phongcharoenpanich, C. Performance of Textile Antenna Using Two Layers of Strip Line and Round-off Circular Patch. In Proceedings of the 2015 IEEE Conference on Antenna Measurements & Applications (CAMA), Chiang Mai, Thailand, 30 November–2 December 2015. [Google Scholar]
- Mersani, A.; Osman, L. Design of Dual-band Textile Antenna for 2.45/5.8-GHz Wireless Applications. In Proceedings of the IEEE International Conference on Multimedia Computing and Systems (ICMCS), Marrakech, Morocco, 29 September–1 October 2016; pp. 397–399. [Google Scholar]
- Yadav, A.; Singh, V.K.; Yadav, P. Design of Circularly Polarized Triple-Band Wearable Textile Antenna with Safe Low SAR for Human Health. Electronics 2020, 9, 1366. [Google Scholar] [CrossRef]
- Kanagasabai, M.; Sambandam, P.; Alsath, M. Miniaturized Circularly Polarized UWB Antenna for Body Centric Communication. IEEE Trans. Antennas Propag. 2021, 99, 189–196. [Google Scholar] [CrossRef]
- Chen, P.; Wang, D.; Liu, L.; Wang, L.H.; Lin, Y.M. Design of UWB Wearable Conformal Antenna Based on Jean Material. Int. J. Antennas Propag. 2022, 2022, 4886844. [Google Scholar] [CrossRef]
- Samal, P.B.; Soh, P.J.; Vandenbosch, G. UWB All-Textile Antenna with Full Ground Plane for Off-Body WBAN Communications. IEEE Trans. Antennas Propag. 2014, 62, 102–108. [Google Scholar] [CrossRef]
- Simorangkir, R.B.; Kiourti, A.; Esselle, K.P. UWB Wearable Antenna with a Full Ground Plane Based on PDMS-Embedded Conductive Fabric. IEEE Antennas Wirel. Propag. Lett. 2018, 17, 493–496. [Google Scholar] [CrossRef]
- Mai, O.; Rahim, M.; Samsuri, N.A. Embroidered Fully Textile Wearable Antenna for Medical Monitoring Applications. Prog. Electromagn. Res. 2011, 117, 321–337. [Google Scholar]
- Singh, V.K.; Dhupkariya, S.; Bangari, N. Wearable Ultra-wide Dual Band Flexible Textile Antenna for WiMax/WLAN Application. Wirel. Pers. Commun. 2017, 95, 1075–1086. [Google Scholar] [CrossRef]
- Mahmood, S.N.; Ishak, A.J.; Saeidi, T. Full Ground Ultra-Wideband Wearable Textile Antenna for Breast Cancer and Wireless Body Area Network Applications. Micromachines 2021, 12, 322. [Google Scholar] [CrossRef]
- Nicolson, A.M.; Ross, G.F. Measurement of the intrinsic properties of materials by time-domain techniques. IEEE Trans. Instrum. Meas. 1970, IM-19, 377–382. [Google Scholar] [CrossRef]
- Boughriet, A.H.; Legrand, C.; Chapotin, A. Noniterative stable transmission/reflection method for low-loss matenal complex permittivity determination. IEEE Trans. MTT 1997, 45, 52–57. [Google Scholar] [CrossRef]
- Weir, W.B. Automatic measurement of complex dielectric constant and permeability at crowave frequencies. Proc. IEEE 1974, 62, 33–36. [Google Scholar] [CrossRef]
- Klemm, M. Small Patch Antennas for UWB Wireless Body Area Network. In Ultra-Wideband, Short-Pulse Electromagnetics 7; Springer: New York, NY, USA, 2007; pp. 417–429. [Google Scholar]
- Ding, K.; Gao, C.; Yu, T.B.; Qu, D.X. Broadband C-Shaped circularly polarized monopole antenna. IEEE Trans. Antennas Propag. 2015, 63, 785–790. [Google Scholar] [CrossRef]














| Parameters | Value (mm) | Parameters | Value (mm) | Parameters | Value (mm) |
|---|---|---|---|---|---|
| w | 20 | 2 | 9 | ||
| 0.5 | 30 | 5.5 | |||
| 3.5 | 8 | 10 | |||
| 8.25 | 3.8 | 8.1 |
| S. No | References | Substrate | Size (mm) | BW (GHz) | SAR (W/kg) |
|---|---|---|---|---|---|
| 1 | [21] | Felt | 88 × 97 | 3–10 | - |
| 2 | [22] | PDMS | 67 × 80 | 3.7–10.3 | - |
| 3 | [24] | Jeans | 40 × 40 | 3.01–5.30 8.12–12.35 | - |
| 4 | [25] | Jeans | 50 × 60 | 7–28 | 1.29 W/kg at 7 GHz |
| 5 | [28] | Rogers | 70 × 70 | 3–6 | - |
| 6 | [29] | FR4 | 30 × 30 | 4–8 | - |
| 7 | [30] | FR4 | 44 × 44 | 2.25–4 | - |
| 8 | Proposed | Jeans | 20 × 30 | 2.85–9.81 | 1.3 W/kg at 8 GHz |
Disclaimer/Publisher’s Note: The statements, opinions and data contained in all publications are solely those of the individual author(s) and contributor(s) and not of MDPI and/or the editor(s). MDPI and/or the editor(s) disclaim responsibility for any injury to people or property resulting from any ideas, methods, instructions or products referred to in the content. |
© 2023 by the authors. Licensee MDPI, Basel, Switzerland. This article is an open access article distributed under the terms and conditions of the Creative Commons Attribution (CC BY) license (https://creativecommons.org/licenses/by/4.0/).
Share and Cite
Chen, P.; Wang, D.; Gan, Z. Flexible and Small Textile Antenna for UWB Wireless Body Area Network. Micromachines 2023, 14, 718. https://doi.org/10.3390/mi14040718
Chen P, Wang D, Gan Z. Flexible and Small Textile Antenna for UWB Wireless Body Area Network. Micromachines. 2023; 14(4):718. https://doi.org/10.3390/mi14040718
Chicago/Turabian StyleChen, Peng, Dan Wang, and Zongsheng Gan. 2023. "Flexible and Small Textile Antenna for UWB Wireless Body Area Network" Micromachines 14, no. 4: 718. https://doi.org/10.3390/mi14040718
APA StyleChen, P., Wang, D., & Gan, Z. (2023). Flexible and Small Textile Antenna for UWB Wireless Body Area Network. Micromachines, 14(4), 718. https://doi.org/10.3390/mi14040718

