Enhanced Modulation Bandwidth by Delayed Push–Pull Modulated DFB Lasers
Abstract
1. Introduction
2. Parameter Dependence of the Modulation Response
2.1. Simulation Model and Validation
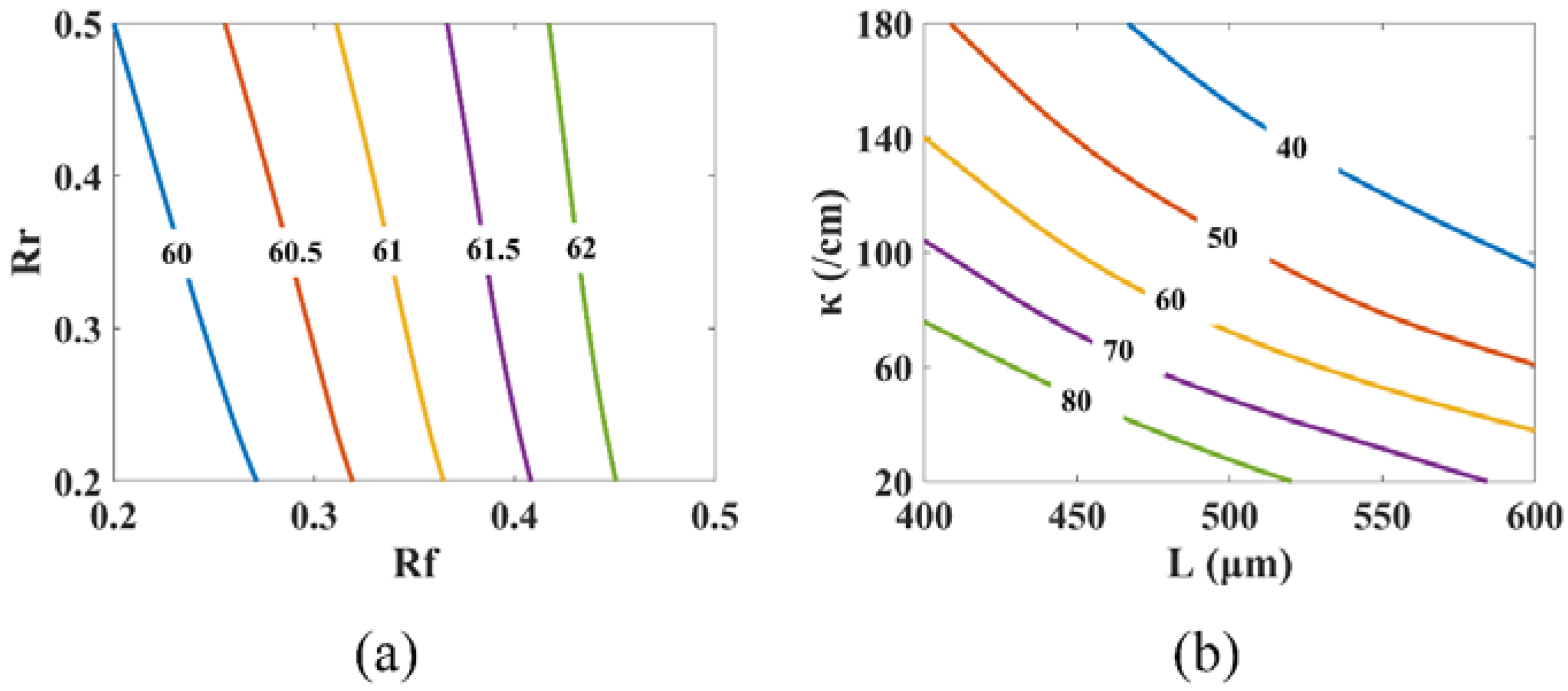
2.2. Parameter Dependence of the PPR Frequency
2.3. Parameter Dependence of the PPR Shape
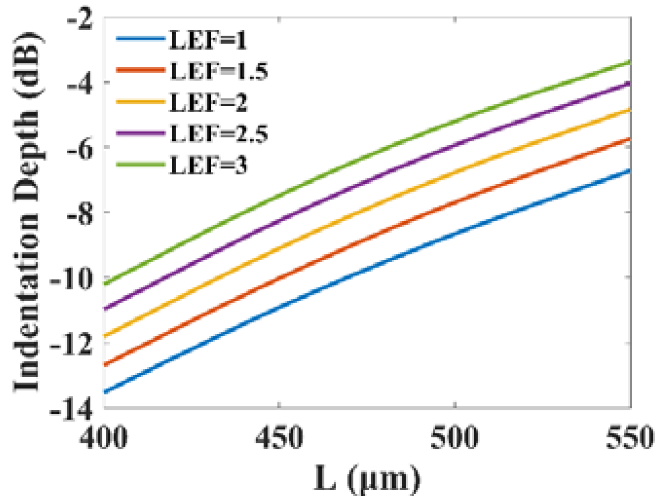
2.4. Parameter Dependence of the Indentation Depth
2.5. The Effect of Time Delay
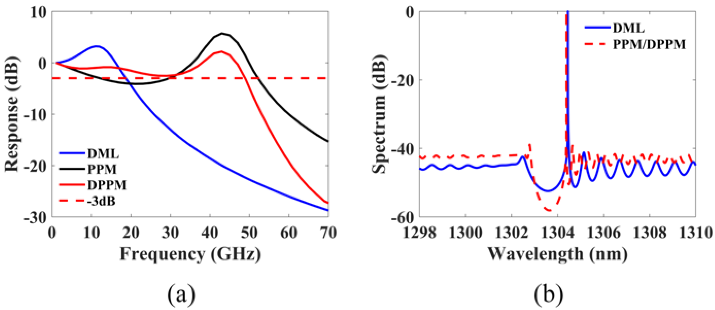
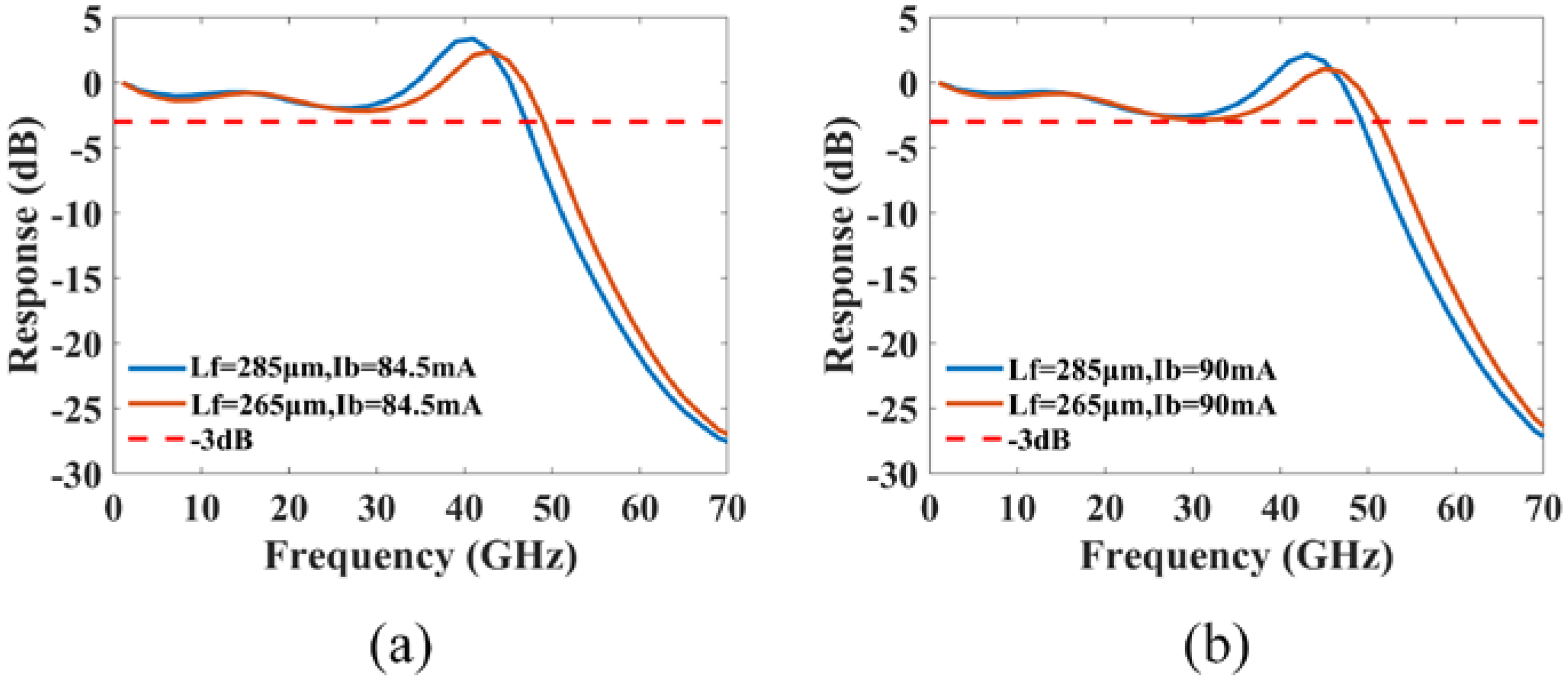
3. Optimized Cavity Structure and Simulated Performance
4. Conclusions
Author Contributions
Funding
Data Availability Statement
Conflicts of Interest
References
- Matsui, Y.; Pham, T.; Sudo, T.; Carey, G.; Young, B. 112-Gb/s WDM link using two directly modulated Al-MQW BH DFB Lasers at 56 Gb/s. In Proceedings of the 2015 Optical Fiber Communications Conference and Exhibition (OFC), Los Angeles, CA, USA, 22–26 March 2015. [Google Scholar] [CrossRef]
- Fice, M.J.; Rouvalis, E.; Van Dijk, F.; Accard, A.; Lelarge, F.; Renaud, C.C.; Carpintero, G.; Seeds, A.J. 146-GHz millimeter-wave radio-over-fiber photonic wireless transmission system. Opt. Express 2012, 20, 1769–1774. [Google Scholar] [CrossRef] [PubMed]
- Nakahara, K.; Wakayama, Y.; Kitatani, T.; Taniguchi, T.; Fukamachi, T.; Sakuma, Y.; Tanaka, S. Direct Modulation at 56 and 50 Gb/s of 1.3-μm InGaAlAs Ridge-Shaped-BH DFB Lasers. IEEE Photonics Technol. Lett. 2015, 27, 534–536. [Google Scholar] [CrossRef]
- Huang, J.J.-S.; Jan, Y.-H.; Yu, D.; Chang, R.; Chang, J.; Shiu, G.; Ren, D.; Wang, K.; Chou, E. Manufacturing excellence and future challenges of wireless laser components for 4G/5G optical mobile fronthaul networks. In Proceedings of the 2018 27th Wireless and Optical Communication Conference (WOCC), Hualien, Taiwan, 30 April–1 May 2018. [Google Scholar] [CrossRef]
- Maeda, J.; Kusama, K.; Fukuchi, Y. Mitigation of signal fading in radio over fiber transmission using fiber nonlinearity. Opt. Express 2009, 17, 4518–4525. [Google Scholar] [CrossRef]
- Klein, H.N.; Chen, H.; Hoffmann, D.; Staroske, S.; Steffan, A.G.; Velthaus, K.O. 1.55 μm Mach-Zehnder modulators on InP for optical 40/80 Gbit/s transmission networks. In Proceedings of the 2006 International Conference on Indium Phosphide and Related Materials Conference Proceedings, Princeton, NJ, USA, 8–11 May 2006. [Google Scholar] [CrossRef]
- Ozolins, O.; Olmedo, M.I.; Pang, X.; Gaiarin, S.; Kakkar, A.; Udalcovs, A.; Engenhardt, K.M.; Asyngier, T.; Schatz, R.; Li, J.; et al. 100 GHz EML for high speed optical interconnect applications. In Proceedings of the ECOC 2016 42th European Conference on Optical Communication, Dusseldorf, Germany, 18–22 September 2016. [Google Scholar]
- Kanazawa, S.; Yamazaki, H.; Nakanishi, Y.; Fujisawa, T.; Takahata, K.; Ueda, Y.; Kobayashi, W.; Muramoto, Y.; Ishii, H.; Sanjoh, H. Transmission of 214-Gbit/s 4-PAM signal using an ultra-broadband lumped-electrode EADFB laser module. In Proceedings of the 2016 Optical Fiber Communications Conference and Exhibition (OFC), Anaheim, CA, USA, 20–24 March 2016. [Google Scholar]
- Mardoyan, H.; Jorge, F.; Ozolins, O.; Estaran, J.M.; Udalcovs, A.; Konczykowska, A.; Riet, M.; Duval, B.; Nodjiadjim, V.; Dupuy, J.-Y.; et al. 204-GBaud On-Off Keying Transmitter for Inter-Data Center Communications. In Proceedings of the 2018 Optical Fiber Communications Conference and Exposition (OFC), San Diego, CA, USA, 11–15 March 2018. [Google Scholar]
- Verbist, J.; Verplaetse, M.; Srivinasan, S.A.; De Heyn, P.; De Keulenaer, T.; Pierco, R.; Vaernewyck, R.; Vyncke, A.; Absil, P.; Torfs, G.; et al. First real-time 100-Gb/s NRZ-OOK transmission over 2 km with a silicon photonic electro-absorption modulator. In Proceedings of the 2017 Optical Fiber Communications Conference and Exhibition (OFC), Los Angeles, CA, USA, 19–23 March 2017. [Google Scholar]
- Troppenz, U.; Kreissl, J.; Mhrle, M.; Bornholdt, C.; Rehbein, W.; Sartorius, B.; Woods, I.; Schell, M. 40 Gbit/s directly modulated lasers: Physics and application. In Proceedings of the Novel In-Plane Semiconductor Lasers X, San Francisco, CA, USA, 16 February 2011. [Google Scholar] [CrossRef]
- Mieda, S.; Yokota, N.; Isshiki, R.; Kobayashi, W.; Yasaka, H. Frequency response control of semiconductor laser by using hybrid modulation scheme. Opt. Express 2016, 24, 25824–25831. [Google Scholar] [CrossRef] [PubMed]
- Huiszoon, B.; Jonker, R.J.W.; van Bennekom, P.K.; Khoe, G.D.; de Waardt, H. Cost-effective up to 40 Gb/s transmission performance of 1310 nm directly Modulated lasers for short- to medium-range distances. J. Light. Technol. 2005, 23, 1116–1125. [Google Scholar] [CrossRef]
- Nadeem Akram, M.; Silfvenius, C.; Berggren, J.; Kjebon, O.; Schatz, R. Design optimization of InGaAsP-InGaAlAs 1.55 μm strain-compensated MQW lasers for direct modulation applications. In Proceedings of the 16th IPRM. 2004 International Conference on Indium Phosphide and Related Materials, Kagoshima, Japan, 31 May–4 June 2004. [Google Scholar] [CrossRef]
- Nakahara, K.; Tsuchiya, T.; Kitatani, T.; Shinoda, K.; Taniguchi, T.; Kikawa, T.; Aoki, M.; Mukaikubo, M. High extinction ratio operation at 40-Gb/s direct modulation in 1.3-/spl mu/m InGaAlAs-MQW RWG DFB lasers. In Proceedings of the 2006 Optical Fiber Communication Conference and the National Fiber Optic Engineers Conference, Anaheim, CA, USA, 5–10 March 2006. [Google Scholar] [CrossRef]
- Nakahara, K.; Tsuchiya, T.; Kitatani, T.; Shinoda, K.; Taniguchi, T.; Kikawa, T.; Aoki, M.; Mukaikubo, M. 40-Gb/s direct modulation with high extinction ratio operation of 1.3-μm InGaAlAs multiquantum well ridge waveguide distributed feedback lasers. IEEE Photonics Technol. Lett. 2007, 19, 1436–1438. [Google Scholar] [CrossRef]
- Matsui, Y.; Schatz, R.; Pham, T.; Ling, W.A.; Carey, G.; Daghighian, H.M.; Adams, D.; Sudo, T.; Roxlo, C. 55 GHz Bandwidth Distributed Reflector Laser. J. Light. Technol. 2017, 35, 397–403. [Google Scholar] [CrossRef]
- Matsui, Y.; Pham, T.; Ling, W.A.; Schatz, R.; Carey, G.; Daghighian, H.; Sudo, T.; Roxlo, C. 55-GHz bandwidth short-cavity distributed reflector laser and its application to 112-Gb/s PAM-4. In Proceedings of the 2016 Optical Fiber Communications Conference and Exhibition (OFC), Anaheim, CA, USA, 20–24 March 2016. [Google Scholar]
- Nakahara, K.; Suga, K.; Okamoto, K.; Hayakawa, S.; Arasawa, M.; Nishida, T.; Washino, R.; Kitatani, T.; Mitaki, M.; Sakamoto, H.; et al. 112-Gb/s PAM-4 Uncooled (25 °C to 85 °C) Directly Modulation of 1.3-μm InGaAlAs-MQW DFB BH Lasers with Record High Bandwidth. In Proceedings of the 45th European Conference on Optical Communication (ECOC 2019), Dublin, Ireland, 22–26 September 2019. [Google Scholar] [CrossRef]
- Reithmaier, J.P.; Kaiser, W.; Bach, L.; Forchel, A.; Feies, V.; Gioannini, M.; Montrosset, I.; Berg, T.W.; Tromborg, B. Modulation speed enhancement by coupling to higher order resonances: A road towards 40 GHz bandwidth lasers on InP. In Proceedings of the International Conference on Indium Phosphide and Related Materials, Glasgow, UK, 8–12 May 2005. [Google Scholar] [CrossRef]
- Feiste, U. Optimization of modulation bandwidth in DBR lasers with detuned Bragg reflectors. IEEE J. Quantum Electron. 1998, 34, 2371–2379. [Google Scholar] [CrossRef]
- Fukamachi, T.; Adachi, K.; Shinoda, K.; Kitatani, T.; Tanaka, S.; Aoki, M.; Tsuji, S. Wide Temperature Range Operation of 25-Gb/s 1.3-μm InGaAlAs Directly Modulated Lasers. IEEE J. Sel. Top. Quantum Electron. 2011, 17, 1138–1145. [Google Scholar] [CrossRef]
- Tager, A.A.; Elenkrig, B.B. Stability regimes and high-frequency modulation of laser diodes with short external cavity. IEEE J. Quantum Electron. 1993, 29, 2886–2890. [Google Scholar] [CrossRef]
- Yamaoka, S.; Diamantopoulos, N.P.; Nishi, H.; Nakao, R.; Fuju¨, T.; Takeda, K.; Hiraki, T.; Kanazawa, S.; Tanobe, H.; Kakitsuka, T.; et al. 239.3-Gbit/s net rate PAM-4 transmission using directly modulated membrane lasers on high-thermal-conductivity SiC. In Proceedings of the 45th European Conference on Optical Communication (ECOC 2019), Dublin, Ireland, 22–26 September 2019. [Google Scholar] [CrossRef]
- Radziunas, M.; Glitzky, A.; Bandelow, U.; Wolfrum, M.; Troppenz, U.; Kreissl, J.; Rehbein, W. Improving the Modulation Bandwidth in Semiconductor Lasers by Passive Feedback. IEEE J. Sel. Top. Quantum Electron. 2007, 13, 136–142. [Google Scholar] [CrossRef]
- Matsui, Y.; Schatz, R.; Che, D.; Khan, F.; Kwakernaak, M.; Sudo, T. Low-chirp isolator-free 65-GHz-bandwidth directly modulated lasers. Nat. Photonics 2021, 15, 59–63. [Google Scholar] [CrossRef]
- Kreissl, J.; Vercesi, V.; Troppenz, U.; Gaertner, T.; Wenisch, W.; Schell, M. Up to 40 Gb/s Directly Modulated Laser Operating at Low Driving Current: Buried-Heterostructure Passive Feedback Laser (BH-PFL). IEEE Photonics Technol. Lett. 2012, 24, 362–364. [Google Scholar] [CrossRef]
- Vahala, K.; Yariv, A. Detuned loading in coupled cavity semiconductor lasers—Effect on quantum noise and dynamics. Appl. Phys. Lett. 1984, 45, 501–503. [Google Scholar] [CrossRef]
- Kjebon, O.; Schatz, R.; Lourdudoss, S.; Nilsson, S.; Stålnacke, B.; Bäckbom, L. 30 GHz direct modulation bandwidth in detuned loaded InGaAsP DBR lasers at 1.55 μm wavelength. Electron. Lett. 1997, 33, 488–489. [Google Scholar] [CrossRef]
- Che, D.; Matsui, Y.; Schatz, R.; Rodes, R.; Khan, F.; Kwakernaak, M.; Sudo, T.; Chandrasekhar, S.; Cho, J.; Chen, X.; et al. Direct Modulation of a 54-GHz Distributed Bragg Reflector Laser with 100-GBaud PAM-4 and 80-GBaud PAM-8. In Proceedings of the 2020 Optical Fiber Communications Conference and Exhibition (OFC), San Diego, CA, USA, 8–12 March 2020. [Google Scholar]
- Matsui, Y.; Pham, T.; Sudo, T.; Carey, G.; Young, B.; Xu, J.; Cole, C.; Roxlo, C. 28-Gbaud PAM4 and 56-Gb/s NRZ Performance Comparison Using 1310-nm Al-BH DFB Laser. J. Light. Technol. 2016, 34, 2677–2683. [Google Scholar] [CrossRef]
- Liu, Z.; Matsui, Y.; Schatz, R.; Khan, F.; Kwakernaak, M.; Sudo, T. 50-GHz Repetition Gain Switching Using a Cavity-Enhanced DFB Laser Assisted by Optical Injection Locking. J. Light. Technol. 2020, 38, 1844–1850. [Google Scholar] [CrossRef]
- Nowell, M.C.; Carroll, J.E. Push-pull modulated DFB lasers with low chirp and enhanced cut-off frequency for high speed systems. In Proceedings of the IEE Colloquium on High Capacity Optical Communications, London, UK, 16 May 1994. [Google Scholar]
- Fianigan, B.J.; Carroll, J.E.; Nowell, M.C.; Plumb, R.G.S. Improved resonance and chirp mechanisms for multigigabit/s push-pull modulated DFB lasers. IEE Proc. Optoelectron. 1996, 143, 49–56. [Google Scholar] [CrossRef]
- Nowell, M.C.; Carroll, J.E.; Plumb, R.G.S.; Marcenac, D.D.; Robertson, M.J.; Wickes, H.; Zhang, L.M. Low-chirp and enhanced-resonant frequency by direct push-pull modulation of DFB lasers. IEEE J. Sel. Top. Quantum Electron. 1995, 1, 433–441. [Google Scholar] [CrossRef]
- Qi, J.; Xi, Y.; Li, X. Enhanced modulation bandwidth by exploiting photon resonance in push-pull modulated DFB lasers. In Proceedings of the 2015 International Conference on Numerical Simulation of Optoelectronic Devices (NUSOD), Taipei, Taiwan, 7–11 September 2015. [Google Scholar] [CrossRef]
- Nowell, M.C.; Carroll, J.E.; Zhang, L.M. Push-pull multi-gigabit/s modulated DFB lasers with low chirp and high cut-off frequency. In Proceedings of the Conference on Lasers and Electro-Optics, Anaheim, CA, USA, 8–13 May 1994. [Google Scholar]
- Marcenac, D.D.; Nowell, M.C.; Carroll, J.E. Theory of enhanced amplitude modulation bandwidth in push-pull modulated DFB lasers. IEEE Photonics Technol. Lett. 1994, 6, 1309–1311. [Google Scholar] [CrossRef]
- Zhang, L.M.; Yu, S.F.; Nowell, M.C.; Marcenac, D.D.; Carroll, J.E.; Plumb, R.G.S. Dynamic analysis of radiation and side-mode suppression in a second-order DFB laser using time-domain large-signal traveling wave model. IEEE J. Quantum Electron. 1994, 30, 1389–1395. [Google Scholar] [CrossRef]
- Glinski, J.; Makino, T. Mode selectivity in dfb lasers with a second-order grating. Electron. Lett. 1986, 22, 679–680. [Google Scholar] [CrossRef]
- Kazarinov, R.; Henry, C. Second-order distributed feedback lasers with mode selection provided by first-order radiation losses. IEEE J. Quantum Electron. 1985, 21, 144–150. [Google Scholar] [CrossRef]
- Ke, C.; Li, X.; Xi, Y. A Horn Ridge Waveguide DFB Laser for High Single Longitudinal Mode Yield. J. Light. Technol. 2015, 33, 5032–5037. [Google Scholar] [CrossRef]
- Park, J.; Li, X.; Huang, W.-P. Performance simulation and design optimization of gain-clamped semiconductor optical amplifiers based on distributed Bragg reflectors. IEEE J. Quantum Electron. 2003, 39, 1415–1423. [Google Scholar] [CrossRef]
- Jones, D.J.; Zhang, L.M.; Carroll, J.E.; Marcenac, D.D. Dynamics of monolithic passively mode-locked semiconductor lasers. IEEE J. Quantum Electron. 1995, 31, 1051–1058. [Google Scholar] [CrossRef]
- Zhao, J.; Shi, K.; Yu, Y.; Barry, L.P. Theoretical Analysis of Tunable Three-Section Slotted Fabry-Perot Lasers Based on Time-Domain Traveling-Wave Model. IEEE J. Sel. Top. Quantum Electron. 2013, 19, 1503108. [Google Scholar] [CrossRef]
- Chen, J.; Maciejko, R.; Makino, T. Dynamic properties of push-pull DFB semiconductor lasers. IEEE J. Quantum Electron. 1996, 32, 2156–2165. [Google Scholar] [CrossRef]














| Name | Symbol | Value | Unit |
|---|---|---|---|
| Bragg grating period | 193.4 | ||
| Active region width | 1.6 | ||
| Total quantum well thickness | 0.04 | ||
| Cavity length | 126 | ||
| Optical confinement factor | 0.046 | ||
| Grating coupling coefficient | 167 | ||
| Carrier lifetime | 0.33 | ||
| Group index | 3.6 | ||
| Material gain coefficient | 1746.5 | ||
| Transparent carrier density | |||
| Nonlinear gain suppression coefficient | |||
| Optical modal loss | 12 | ||
| Amplitude reflectivity of front facet | 0.1 | ||
| Phase of front facet | 1.72 | ||
| Amplitude reflectivity of back facet | 0.91 | ||
| Phase of back facet | 3.09 | ||
| Effective index without injection | 3.37 | ||
| Linewidth enhancement factor | 2.1 | ||
| IIR filter coefficient | 0.003 | ||
| Current injection efficiency | 0.9 |
| Name | Symbol | Value | Unit |
| Cavity length | 550 | ||
| Grating coupling coefficient | 100 | ||
| Amplitude reflectivity of front facet | 0.25 | ||
| Amplitude reflectivity of back facet | 0.25 |
| Name | Symbol | Value | Unit |
|---|---|---|---|
| Bragg grating period | 193.4 | ||
| Active region width | 1.6 | ||
| Total quantum well thicknes | 0.04 | ||
| Dual/Single-sectional DFB laser cavity length | 550/275 | ||
| Optical confinement factor | 0.046 | ||
| Grating coupling coefficient | 100 | ||
| Carrier lifetime | 0.33 | ||
| Group index | 3.6 | ||
| Material gain coefficient | 1746.5 | ||
| Transparent carrier density | |||
| Nonlinear gain suppression coefficient | |||
| Optical modal loss | 12 | ||
| Amplitude reflectivity of front facet | 0.25 | ||
| Amplitude reflectivity of back facet | 0.25 | ||
| Effective index without injection | 3.37 | ||
| Linewidth enhancement factor | 2.1 | ||
| IIR filter coefficient | 0.003 | ||
| Current injection efficiency | 0.9 | ||
| Differential delay time | 6 |
Disclaimer/Publisher’s Note: The statements, opinions and data contained in all publications are solely those of the individual author(s) and contributor(s) and not of MDPI and/or the editor(s). MDPI and/or the editor(s) disclaim responsibility for any injury to people or property resulting from any ideas, methods, instructions or products referred to in the content. |
© 2023 by the authors. Licensee MDPI, Basel, Switzerland. This article is an open access article distributed under the terms and conditions of the Creative Commons Attribution (CC BY) license (https://creativecommons.org/licenses/by/4.0/).
Share and Cite
Chi, J.; Li, X.; Niu, C.; Zhao, J. Enhanced Modulation Bandwidth by Delayed Push–Pull Modulated DFB Lasers. Micromachines 2023, 14, 633. https://doi.org/10.3390/mi14030633
Chi J, Li X, Niu C, Zhao J. Enhanced Modulation Bandwidth by Delayed Push–Pull Modulated DFB Lasers. Micromachines. 2023; 14(3):633. https://doi.org/10.3390/mi14030633
Chicago/Turabian StyleChi, Jiewen, Xun Li, Chuanning Niu, and Jia Zhao. 2023. "Enhanced Modulation Bandwidth by Delayed Push–Pull Modulated DFB Lasers" Micromachines 14, no. 3: 633. https://doi.org/10.3390/mi14030633
APA StyleChi, J., Li, X., Niu, C., & Zhao, J. (2023). Enhanced Modulation Bandwidth by Delayed Push–Pull Modulated DFB Lasers. Micromachines, 14(3), 633. https://doi.org/10.3390/mi14030633
