Near-Full Current Dynamic Range THz Quantum Cascade Laser Frequency Comb
Abstract
1. Introduction
2. Design and Simulation
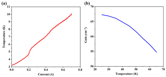
3. Results and Discussion
4. Conclusions
Author Contributions
Funding
Data Availability Statement
Acknowledgments
Conflicts of Interest
References
- Hillbrand, J.; Andrews, A.M.; Detz, H.; Strasser, G.; Schwarz, B. Coherent injection locking of quantum cascade laser frequency combs. Nat. Photonics 2018, 13, 101–104. [Google Scholar] [CrossRef]
- Twayana, K.; Rebolledo-Salgado, I.; Deriushkina, E.; Schröder, J.; Karlsson, M.; Torres-Company, V. Spectral Interferometry with Frequency Combs. Micromachines 2022, 13, 614. [Google Scholar] [CrossRef]
- Sterczewski, L.A.; Westberg, J.; Yang, Y.; Burghoff, D.; Reno, J.; Hu, Q.; Wysocki, G. Terahertz hyperspectral imaging with dual chip-scale combs. Optica 2019, 6, 766–771. [Google Scholar] [CrossRef]
- Garrasi, K.; Mezzapesa, F.P.; Salemi, L.; Li, L.; Consolino, L.; Bartalini, S.; De Natale, P.; Davies, A.G.; Linfield, E.H.; Vitiello, M.S. High Dynamic Range, Heterogeneous, Terahertz Quantum Cascade Lasers Featuring Thermally Tunable Frequency Comb Operation over a Broad Current Range. ACS Photonics 2019, 6, 73–78. [Google Scholar] [CrossRef]
- Wang, F.; Qi, X.; Chen, Z.; Razeghi, M.; Dhillon, S. Ultrafast Pulse Generation from Quantum Cascade Lasers. Micromachines 2022, 13, 2063. [Google Scholar] [CrossRef] [PubMed]
- Fei, T.; Zhai, S.; Zhang, J.; Zhuo, N.; Liu, J.; Wang, L.; Liu, S.; Jia, Z.; Li, K.; Sun, Y.; et al. High power λ~8.5 μm quantum cascade laser grown by MOCVD operating continuous-wave up to 408 K. J. Semicond. 2021, 42, 112301. [Google Scholar] [CrossRef]
- Wang, T.; Liu, J.-Q.; Chen, J.-Y.; Liu, Y.-H.; Liu, F.-Q.; Wang, L.-J.; Wang, Z.-G. Continuous-Wave Operation of Terahertz Quantum Cascade Lasers at 3.2 THz. Chin. Phys. Lett. 2013, 30, 064201. [Google Scholar] [CrossRef]
- Villalobos Meza, A.M.; Shahzad, M.; Hathaway, D.; Shu, H.; Lyakh, A. Correlation of Superlattice Cross-Plane Thermal Conductivity with Emission Wavelength in InAlAs/InGaAs Quantum Cascade Lasers. Micromachines 2022, 13, 1934. [Google Scholar] [CrossRef]
- Hugi, A.; Villares, G.; Blaser, S.; Liu, H.C.; Faist, J. Mid-infrared frequency comb based on a quantum cascade laser. Nature 2012, 492, 229–233. [Google Scholar] [CrossRef]
- Tzenov, P.; Burghoff, D.; Hu, Q.; Jirauschek, C. Analysis of Operating Regimes of Terahertz Quantum Cascade Laser Frequency Combs. IEEE Trans. Terahertz Sci. Technol. 2017, 7, 351–359. [Google Scholar] [CrossRef]
- Mezzapesa, F.P.; Pistore, V.; Garrasi, K.; Li, L.; Davies, A.G.; Linfield, E.H.; Dhillon, S.; Vitiello, M.S. Tunable and compact dispersion compensation of broadband THz quantum cascade laser frequency combs. Opt. Express 2019, 27, 20231–20240. [Google Scholar] [CrossRef]
- Forrer, A.; Bosco, L.; Beck, M.; Faist, J.; Scalari, G. RF Injection of THz QCL Combs at 80 K Emitting over 700 GHz Spectral Bandwidth. Photonics 2020, 7, 9. [Google Scholar] [CrossRef]
- Li, Z.; Wan, W.; Zhou, K.; Liao, X.; Yang, S.; Fu, Z.; Cao, J.; Li, H. On-Chip Dual-Comb Source Based on Terahertz Quantum Cascade Lasers Under Microwave Double Injection. Phys. Rev. Appl. 2019, 12, 044068. [Google Scholar] [CrossRef]
- Burghoff, D.; Kao, T.-Y.; Han, N.; Chan, C.W.I.; Cai, X.; Yang, Y.; Hayton, D.J.; Gao, J.-R.; Reno, J.L.; Hu, Q. Terahertz laser frequency combs. Nat. Photonics 2014, 8, 462–467. [Google Scholar] [CrossRef]
- Wang, F.; Nong, H.; Fobbe, T.; Pistore, V.; Houver, S.; Markmann, S.; Jukam, N.; Amanti, M.; Sirtori, C.; Moumdji, S.; et al. Short Terahertz Pulse Generation from a Dispersion Compensated Modelocked Semiconductor Laser. Laser Photonics Rev. 2017, 11, 1700013. [Google Scholar] [CrossRef]
- Bachmann, D.; Rösch, M.; Deutsch, C.; Krall, M.; Scalari, G.; Beck, M.; Faist, J.; Unterrainer, K.; Darmo, J. Spectral gain profile of a multi-stack terahertz quantum cascade laser. Appl. Phys. Lett. 2014, 105, 181118. [Google Scholar] [CrossRef]
- Li, L.; Garrasi, K.; Kundu, I.; Han, Y.; Salih, M.; Vitiello, M.; Davies, A.; Linfield, E. Broadband heterogeneous terahertz frequency quantum cascade laser. Electron. Lett. 2018, 54, 1229–1231. [Google Scholar] [CrossRef]
- Bachmann, D.; Rösch, M.; Süess, M.J.; Beck, M.; Unterrainer, K.; Darmo, J.; Faist, J.; Scalari, G. Short pulse generation and mode control of broadband terahertz quantum cascade lasers. Optica 2016, 3, 1087–1094. [Google Scholar] [CrossRef]
- Zhu, Y.; Li, H.; Wan, W.; Zhou, T.; Cao, J. Far-field analysis of third-order distributed feedback terahertz quantum cascade lasers. Acta Phys. Sin. 2017, 66, 099501. [Google Scholar] [CrossRef]
- Li, Y.-Y.; Liu, J.-Q.; Wang, T.; Liu, F.-Q.; Zhai, S.-Q.; Zhang, J.-C.; Zhuo, N.; Wang, L.-J.; Liu, S.-M.; Wang, Z.-G. High-Power and High-Efficiency Operation of Terahertz Quantum Cascade Lasers at 3.3 THz. Chin. Phys. Lett. 2015, 32, 104203. [Google Scholar] [CrossRef]
- Amanti, M.I.; Scalari, G.; Terazzi, R.; Fischer, M.; Beck, M.; Faist, J.; Rudra, A.; Gallo, P.; Kapon, E. Bound-to-continuum terahertz quantum cascade laser with a single-quantum-well phonon extraction/injection stage. New J. Phys. 2009, 11, 125022. [Google Scholar] [CrossRef]
- Ohtani, K.; Turčinková, D.; Bonzon, C.; Benea-Chelmus, I.-C.; Beck, M.; Faist, J.; Justen, M.; Graf, U.U.; Mertens, M.; Stutzki, J. High performance 4.7 THz GaAs quantum cascade lasers based on four quantum wells. New J. Phys. 2016, 18, 123004. [Google Scholar] [CrossRef]
- Lu, Q.; Wu, D.; Sengupta, S.; Slivken, S.; Razeghi, M. Room temperature continuous wave, monolithic tunable THz sources based on highly efficient mid-infrared quantum cascade lasers. Sci. Rep. 2016, 6, 23595. [Google Scholar] [CrossRef] [PubMed]
- Mosely, T.S.; Belyanin, A.; Gmachl, C.; Sivco, D.L.; Peabody, M.L.; Cho, A.Y. Third harmonic generation in a Quantum Cascade laser with monolithically integrated resonant optical nonlinearity. Opt. Express 2004, 12, 2972–2976. [Google Scholar] [CrossRef]
- Forrer, A.; Franckié, M.; Stark, D.; Olariu, T.; Beck, M.; Faist, J.; Scalari, G. Photon-Driven Broadband Emission and Frequency Comb RF Injection Locking in THz Quantum Cascade Lasers. ACS Photonics 2020, 7, 784–791. [Google Scholar] [CrossRef]








Disclaimer/Publisher’s Note: The statements, opinions and data contained in all publications are solely those of the individual author(s) and contributor(s) and not of MDPI and/or the editor(s). MDPI and/or the editor(s) disclaim responsibility for any injury to people or property resulting from any ideas, methods, instructions or products referred to in the content. |
© 2023 by the authors. Licensee MDPI, Basel, Switzerland. This article is an open access article distributed under the terms and conditions of the Creative Commons Attribution (CC BY) license (https://creativecommons.org/licenses/by/4.0/).
Share and Cite
Ma, Y.; Li, W.; Li, Y.; Liu, J.; Zhuo, N.; Yang, K.; Zhang, J.; Zhai, S.; Liu, S.; Wang, L.; et al. Near-Full Current Dynamic Range THz Quantum Cascade Laser Frequency Comb. Micromachines 2023, 14, 473. https://doi.org/10.3390/mi14020473
Ma Y, Li W, Li Y, Liu J, Zhuo N, Yang K, Zhang J, Zhai S, Liu S, Wang L, et al. Near-Full Current Dynamic Range THz Quantum Cascade Laser Frequency Comb. Micromachines. 2023; 14(2):473. https://doi.org/10.3390/mi14020473
Chicago/Turabian StyleMa, Yu, Weijiang Li, Yuanyuan Li, Junqi Liu, Ning Zhuo, Ke Yang, Jinchuan Zhang, Shenqiang Zhai, Shuman Liu, Lijun Wang, and et al. 2023. "Near-Full Current Dynamic Range THz Quantum Cascade Laser Frequency Comb" Micromachines 14, no. 2: 473. https://doi.org/10.3390/mi14020473
APA StyleMa, Y., Li, W., Li, Y., Liu, J., Zhuo, N., Yang, K., Zhang, J., Zhai, S., Liu, S., Wang, L., & Liu, F. (2023). Near-Full Current Dynamic Range THz Quantum Cascade Laser Frequency Comb. Micromachines, 14(2), 473. https://doi.org/10.3390/mi14020473

