Expanding the Set of Three-Input Logic Functions in Inverted T-Shaped TFETs
Abstract
:1. Introduction
2. Device Structure and Simulation Configuration
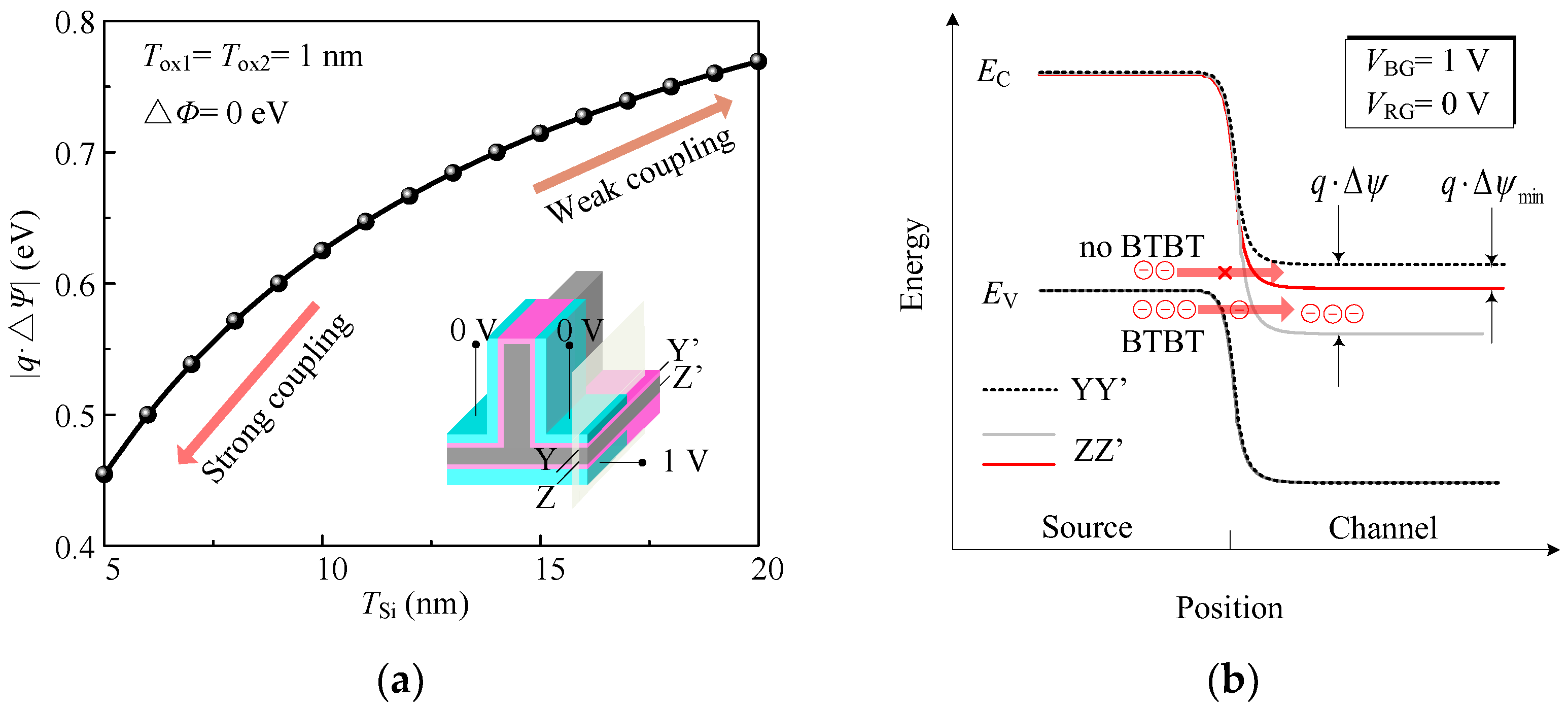
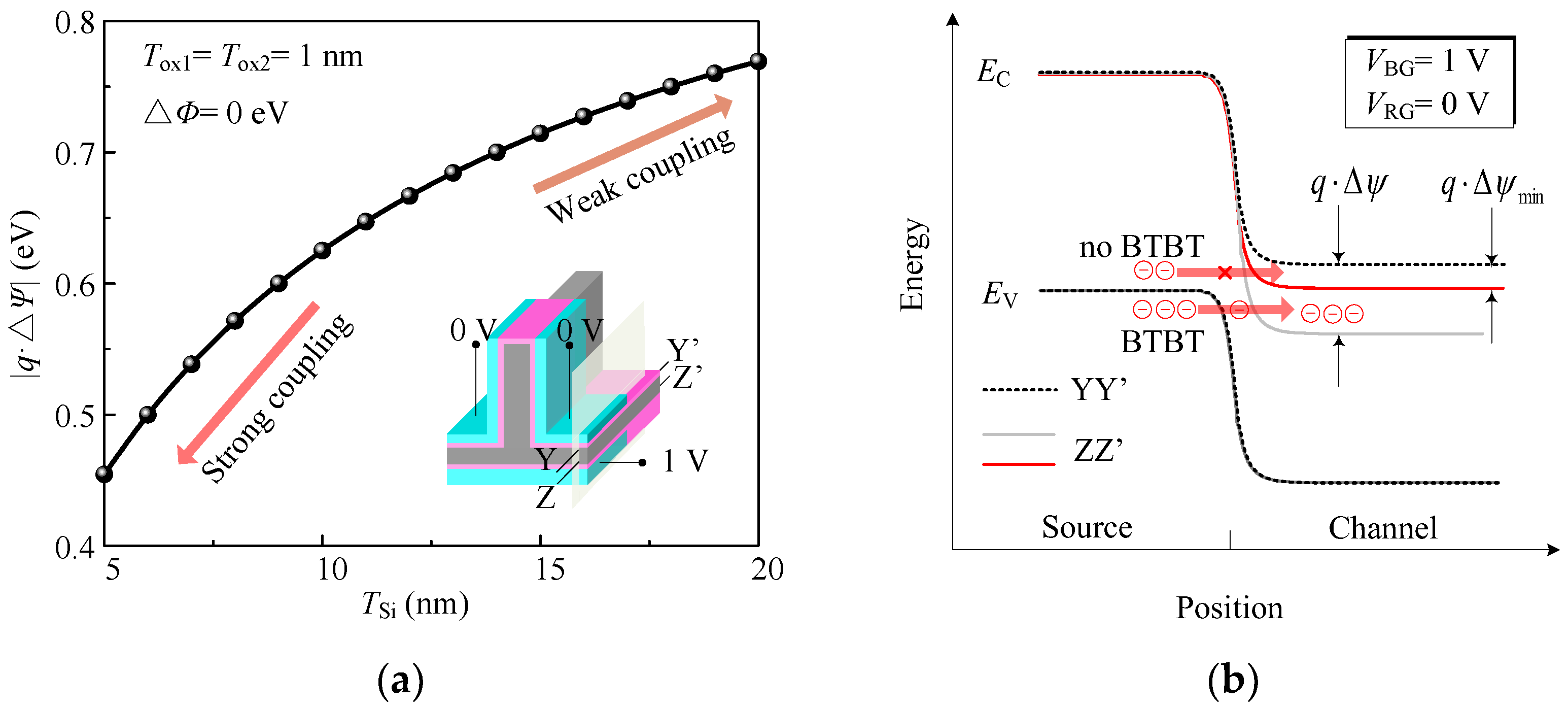
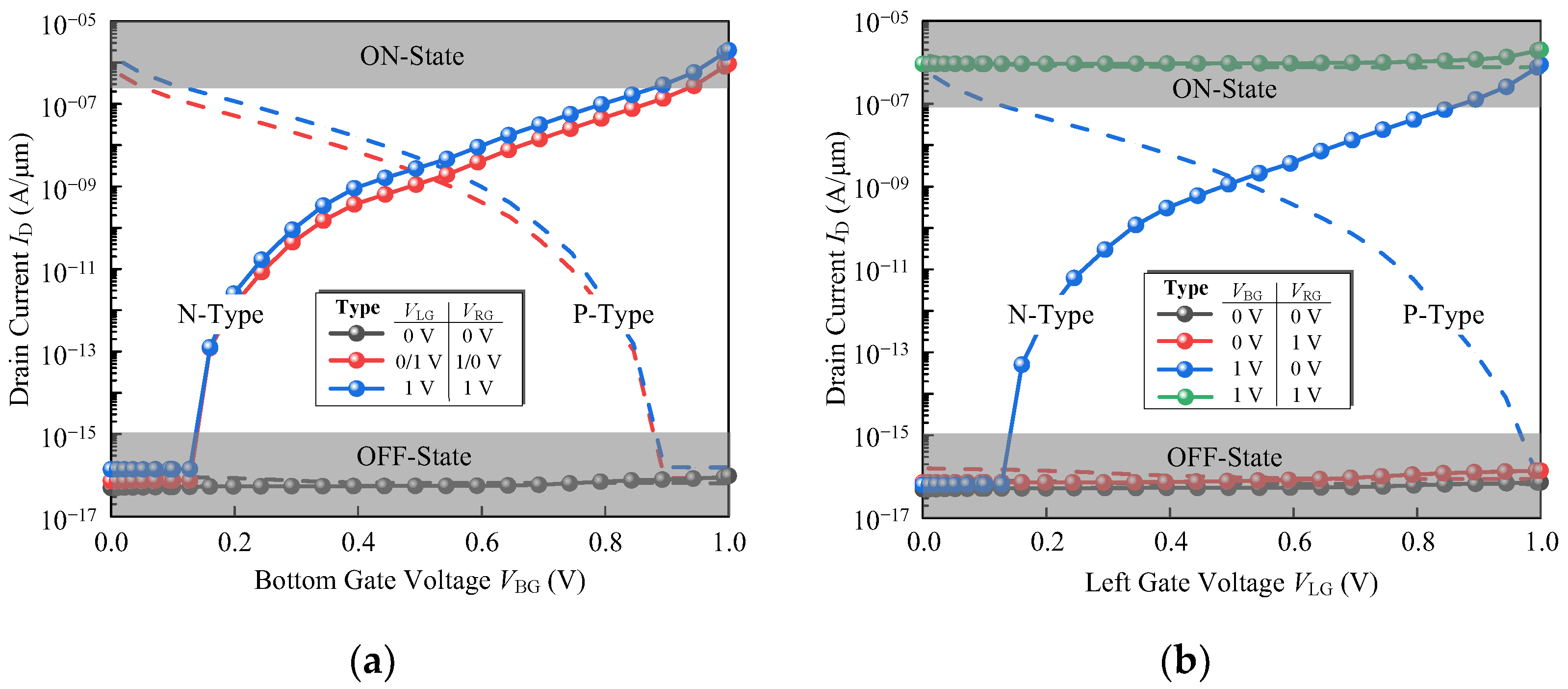
3. Gate Coupling in the Three-Input TFET
4. Extending the Logic Behavior of a Single TFET Device
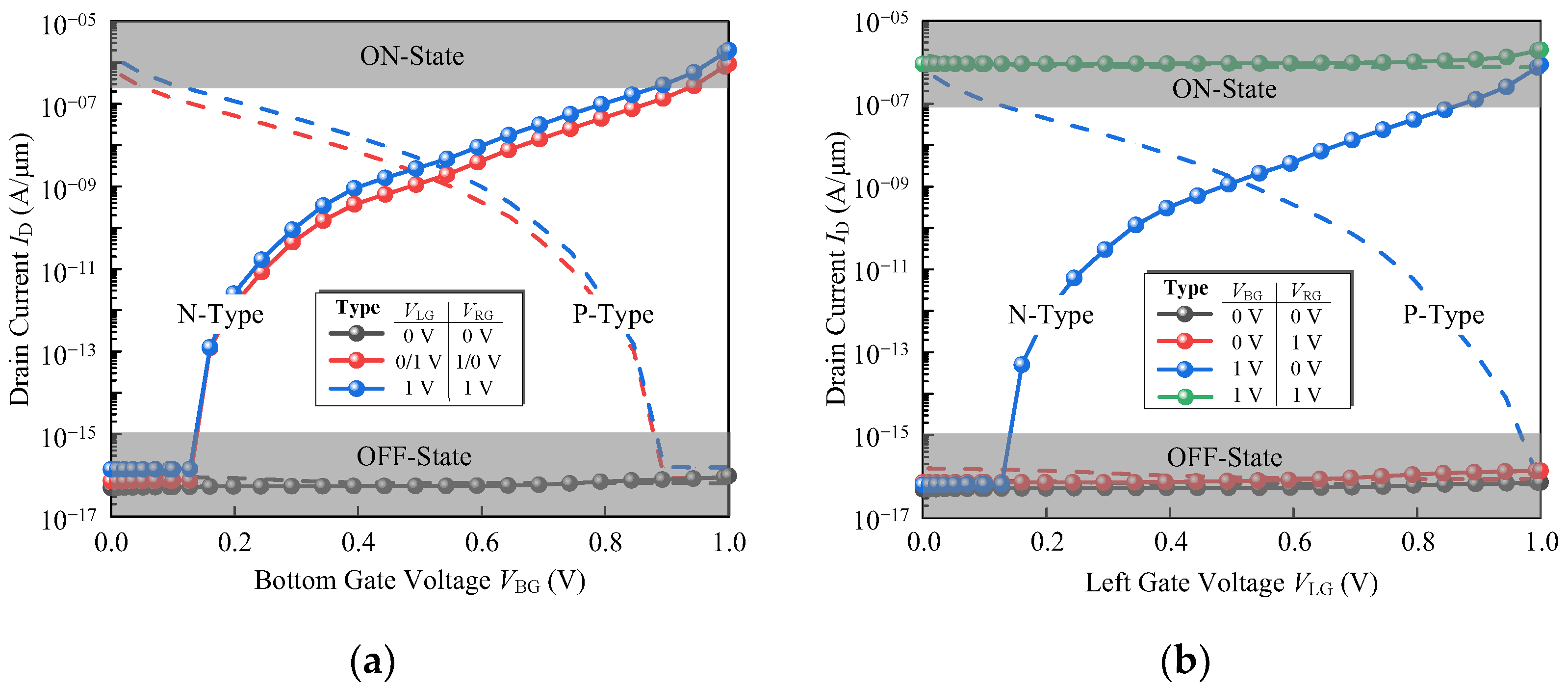
4.1. Majority Behavior
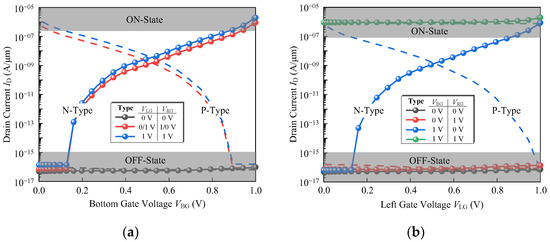
4.2. OrAnd Behavior
4.3. AndOr Behavior
5. Discussion
6. Conclusions
Author Contributions
Funding
Data Availability Statement
Conflicts of Interest
References
- Zhou, J.R.; Han, G.Q.; Li, J.; Liu, Y.; Peng, Y.; Zhang, J.C.; Sun, Q.Q.; Zhang, D.W.; Hao, Y. Negative Differential Resistance in Negative Capacitance EFTs. IEEE Electron Device Lett. 2018, 39, 622–625. [Google Scholar] [CrossRef]
- Zhou, J.R.; Han, G.Q.; Li, Q.L.; Peng, Y.; Lu, X.L.; Zhang, C.F.; Sun, Q.Q.; Zhang, D.W.; Hao, Y. Ferroelectric HfZrOx Ge and GeSn PMOSFETs with Sub-60 mV/decade Subthreshold Swing, Negligible Hysteresis, and Improved Ids. In Proceedings of the IEEE International Electron Devices Meeting (IEDM), San Francisco, CA, USA, 3–7 December 2016. [Google Scholar] [CrossRef]
- Han, K.; Long, S.; Deng, Z.; Zhang, Y.; Li, J. A Novel Germanium-Around-Source Gate-All-Around Tunnelling Field-Effect Transistor for Low-Power Applications. Micromachines 2020, 11, 164. [Google Scholar] [CrossRef] [PubMed]
- Ma, B.; Chen, S.; Wang, S.; Han, T.; Zhang, H.; Yin, C.; Chen, Y.; Liu, H. A Novel L-Gate InGaAs/GaAsSb TFET with Improved Performance and Suppressed Ambipolar Effect. Micromachines 2022, 13, 1474. [Google Scholar] [CrossRef] [PubMed]
- Nirschl, T.; Wang, P.F.; Weber, C.; Sedlmeir, J.; Heinrich, R.; Kakoschke, R.; Schrufer, K.; Holz, J.; Pacha, C.; Schulz, T.; et al. The Tunneling Field Effect Transistor (TFET) as An Add-on for Ultra-Low-Voltage Analog and Digital Processes. In Proceedings of the IEEE International Electron Devices Meeting (IEDM), San Francisco, CA, USA, 13–15 December 2004. [Google Scholar] [CrossRef]
- Wang, Z.X.; Zhong, Y.; Chen, C.; Ye, L.; Huang, Q.Q.; Yang, L.B.; Wang, Y.Y.; Huang, R. Ultra-Low Power Hybrid TFET-MOSFET Topologies for Standard Logic Cells with Improved Comprehensive Performance. In Proceedings of the IEEE International Symposium on Circuits and Systems (ISCAS), Sapporo, Japan, 26–29 May 2019. [Google Scholar] [CrossRef]
- Thapliyal, H.; Varun, T.S.S.; Kumar, S.D. Low-Power and Secure Lightweight Cryptography Via TFET-Based Energy Recovery Circuits. In Proceedings of the IEEE International Conference on Rebooting Computing (ICRC), Washington, DC, USA, 1–4 November 2017. [Google Scholar] [CrossRef]
- Alper, C.; Padilla, J.L.; Palestri, P.; Ionescu, A.M. A Novel Reconfigurable Sub-0.25-V Digital Logic Family Using the Electron-Hole Bilayer TFET. IEEE J. Electron Devices Soc. 2018, 6, 2–7. [Google Scholar] [CrossRef]
- Wang, Z.X.; Ye, L.; Huang, Q.Q.; Du, K.X.; Tan, Z.C.; Wang, Y.Y.; Huang, R. Ultra-Low-Power and Performance-Improved Logic Circuit Using Hybrid TFET-MOSFET Standard Cells Topologies and Optimized Digital Front-End Process. IEEE Trans. Circuits Syst. I Reg. Papers 2021, 68, 1160–1170. [Google Scholar] [CrossRef]
- Wang, J.; Hu, J.; Bai, W. Dual-threshold Independent-gate N-type TFETs. In Proceedings of the International Conference on Nanotechnology (IEEE-NANO), Cork, Ireland, 1–4 July 2018. [Google Scholar] [CrossRef]
- Garg, S.; Saurabh, S. Implementation of Boolean Functions Using Tunnel Field-Effect Transistors. IEEE J. Explor. Solid-State Computat. 2020, 6, 146–154. [Google Scholar] [CrossRef]
- Garg, S.; Saurabh, S. Implementing Logic Functions Using Independently-Controlled Gate in Double-Gate Tunnel FETs: Investigation and Analysis. IEEE Access 2019, 7, 117591–117599. [Google Scholar] [CrossRef]
- Banerjee, S.; Garg, S.; Saurabh, S. Realizing Logic Functions Using Single Double-Gate Tunnel FETs: A Simulation Study. IEEE Electron Device Lett. 2018, 39, 773–776. [Google Scholar] [CrossRef]
- Garg, S.; Saurabh, S. Realizing XOR and XNOR Functions Using Tunnel Field-Effect Transistors. IEEE J. Electron Devices Soc. 2020, 8, 1001–1009. [Google Scholar] [CrossRef]
- Kumar, P.; Gupta, M.; Singh, K.; Kumar, N. Design and Investigation of Split-Gate MoTe2-based FET as Single Transistor and Gate Using Nonequilibrium Green’s Function. IEEE Trans. Electron Devices 2020, 67, 5221–5228. [Google Scholar] [CrossRef]
- Chu, Z.F.; Soeken, M.; Xia, Y.S.; Wang, L.Y.; Micheli, G.D. Advanced Functional Decomposition Using Majority and Its Applications. IEEE Trans. Comput.-Aided Design Integr. Circuits Syst. 2020, 39, 1621–1634. [Google Scholar] [CrossRef]
- Reuben, J. Rediscovering Majority Logic in the Post-CMOS Era: A Perspective from In-Memory Computing. J. Low Power Electron. Appl. 2020, 10, 28. [Google Scholar] [CrossRef]
- Marakkalage, D.S.; Testa, E.; Riener, H.; Mishchenko, A.; Soeken, M.; Micheli, G.D. Three-Input Gates for Logic Synthesis. IEEE Trans. Comput.-Aided Design Integr. Circuits Syst. 2021, 40, 2184–2188. [Google Scholar] [CrossRef]
- Rehan, S.E. A 3-input Universal Logic Gate (ULG) using a Single Electron Linear Threshold Gate (LTG). In Proceedings of the IEEE Mediterranean Electrotechnical Conference (IEEE MELECON), Yasmine Hammamet, Tunisia, 25–28 March 2012. [Google Scholar] [CrossRef]
- Foroutan, S.A.; Sabbaghi-Nadooshan, R.; Mohammadi, M.; Tavakoli, M.B. Investigating Multiple Defects on A New Fault-tolerant Three-input QCA Majority Gate. J. Supercomput. 2021, 77, 8305–8325. [Google Scholar] [CrossRef]
- Karbasian, G.; McConnell, M.S.; George, H.; Schneider, L.C.; Filmer, M.J.; Orlov, A.O.; Nazarov, A.N.; Snider, G.L. Metal-Insulator-Metal Single Electron Transistors with Tunnel Barriers Prepared by Atomic Layer Deposition. Appl. Sci. 2017, 7, 246. [Google Scholar] [CrossRef]
- Kumar, S.; Singh, G.; Amphawan, A. Reversible Ripple Carry Adder using the Electro-optic Effect of Lithium-niobate Based Mach-Zehnder Interferometer. In Proceedings of the Workshop on Recent Advances in Photonics (WRAP), Bangalore, India, 1–4 December 2015. [Google Scholar] [CrossRef]
- Fakheri, M.T.; Navi, K.; Tehrani, M. A Novel Device to Implement Full Set of Three-Input Logic Gates Using a Naphthalene-Based Single-Molecule Field-Effect Transistor. IEEE Trans. Electron Devices 2021, 68, 733–738. [Google Scholar] [CrossRef]
- Kao, K.H.; Verhulst, A.S.; Vandenberghe, W.G.; Soree, B.; Groeseneken, G.; Meyer, K.D. Direct and Indirect Band-to-Band Tunneling in Germanium-based TFETs. IEEE Trans. Electron Devices 2012, 59, 292–301. [Google Scholar] [CrossRef]
- Vinet, M.; Poiroux, T.; Licitra, C.; Widiez, J.; Bhandari, J.; Previtali, B.; Vizioz, C.; Lafond, D.; Arvet, C.; Besson, P.; et al. Self-Aligned Planar Double-Gate MOSFETs by Bonding for 22-nm Node, with Metal Gates, High-k Dielectrics, and Metallic Source/Drain. IEEE Electron Device Lett. 2009, 30, 748–750. [Google Scholar] [CrossRef]
- Masahara, M.; Surdeanu, R.; Witters, L.; Doornbos, G.; Nguyen, V.H.; Bosch, G.V.; Vrancken, C.; Jurczak, M.; Biesemans, S. Experimental Investigation of Optimum Gate Workfunction for CMOS Four-termihal Multigate MOSFETs (MUGFETs). IEEE Trans. Electron Devices 2007, 54, 1431–1437. [Google Scholar] [CrossRef]
- Executive Summary, International Roadmap for Device and Systems (IRDS). 2020. Available online: https://irds.ieee.org/editions/2020/ (accessed on 30 January 2023).
- Yang, Y.; Tong, X.; Yang, L.T.; Guo, P.F.; Fan, L.; Yeo, Y.C. Tunneling Field-Effect Transistor: Capacitance Components and Modeling. IEEE Electron Device Lett. 2010, 31, 752–754. [Google Scholar] [CrossRef]
- Na, M.H.; Nowak, E.J.; Haensch, W.; Cai, J. The Effective Drive Current in CMOS Inverters. In Proceedings of the IEEE International Electron Devices Meeting (IEDM), San Francisco, CA, USA, 8–11 December 2002. [Google Scholar] [CrossRef]
- Avci, U.E.; Young, I.A. Heterojunction TFET Scaling and Resonant-TFET for Steep Subthreshold Slope at Sub-9nm Gate-length. In Proceedings of the 2013 IEEE International Electron Devices Meeting, Washington, DC, USA, 9–11 December 2013. [Google Scholar]
















| Parameter | Value |
|---|---|
| Vertical Channel Height (Hv) | 40 nm |
| Gate Length (LG) | 30 nm |
| Source/Drain Length (LS/LD) | 30 nm |
| Gate Oxide Thickness (Tox1/Tox2) | 3 nm |
| Left/Right Gate Width (Wl/Wr) | 15 nm |
| Channel Doping Profile (NC) | 1 × 1017 cm−3 |
| Drain Doping Profile (ND) | 1 × 1018 cm−3 |
| Type | ϕL | ϕR | ϕB | Th | Tv |
|---|---|---|---|---|---|
| MAJ | Large | Large | Large | Thin | Thin |
| OrAnd | Large | Large | Large | Thin | Thick |
| AndOr | Large | Large | Small | Thick | Thin |
| Logic Behavior | Type | Ion (A/μm) | Ion/Ioff | Delay (ns) |
|---|---|---|---|---|
| MAJ | N-type | 9.13 × 10−7 | ~1010 | 14.3 |
| P-type | 6.34 × 10−7 | ~1009 | ||
| OrAnd | N-type | 9.36 × 10−7 | ~1010 | 15.8 |
| P-type | 7.57 × 10−7 | ~1009 | ||
| AndOr | N-type | 1.17 × 10−6 | ~1010 | 9.2 |
| P-type | 5.12 × 10−7 | ~1010 |
Disclaimer/Publisher’s Note: The statements, opinions and data contained in all publications are solely those of the individual author(s) and contributor(s) and not of MDPI and/or the editor(s). MDPI and/or the editor(s) disclaim responsibility for any injury to people or property resulting from any ideas, methods, instructions or products referred to in the content. |
© 2023 by the authors. Licensee MDPI, Basel, Switzerland. This article is an open access article distributed under the terms and conditions of the Creative Commons Attribution (CC BY) license (https://creativecommons.org/licenses/by/4.0/).
Share and Cite
Ye, H.; Wang, P.; Li, G.; Shi, Y.; Chen, B.; Li, X.; Hu, J. Expanding the Set of Three-Input Logic Functions in Inverted T-Shaped TFETs. Micromachines 2023, 14, 445. https://doi.org/10.3390/mi14020445
Ye H, Wang P, Li G, Shi Y, Chen B, Li X, Hu J. Expanding the Set of Three-Input Logic Functions in Inverted T-Shaped TFETs. Micromachines. 2023; 14(2):445. https://doi.org/10.3390/mi14020445
Chicago/Turabian StyleYe, Hao, Pengjun Wang, Gang Li, Yijian Shi, Bo Chen, Xiangyu Li, and Jianping Hu. 2023. "Expanding the Set of Three-Input Logic Functions in Inverted T-Shaped TFETs" Micromachines 14, no. 2: 445. https://doi.org/10.3390/mi14020445
APA StyleYe, H., Wang, P., Li, G., Shi, Y., Chen, B., Li, X., & Hu, J. (2023). Expanding the Set of Three-Input Logic Functions in Inverted T-Shaped TFETs. Micromachines, 14(2), 445. https://doi.org/10.3390/mi14020445

