A 3.7-kW Oscillating-Amplifying Integrated Fiber Laser Featuring a Compact Oval-Shaped Cylinder Package
Abstract
1. Introduction
2. Numerical Optimization of the Oval-Shaped Cylinder
2.1. Numerical Modeling
2.2. Simulation Results
3. Experimental Demonstrations
3.1. Experimental Setup
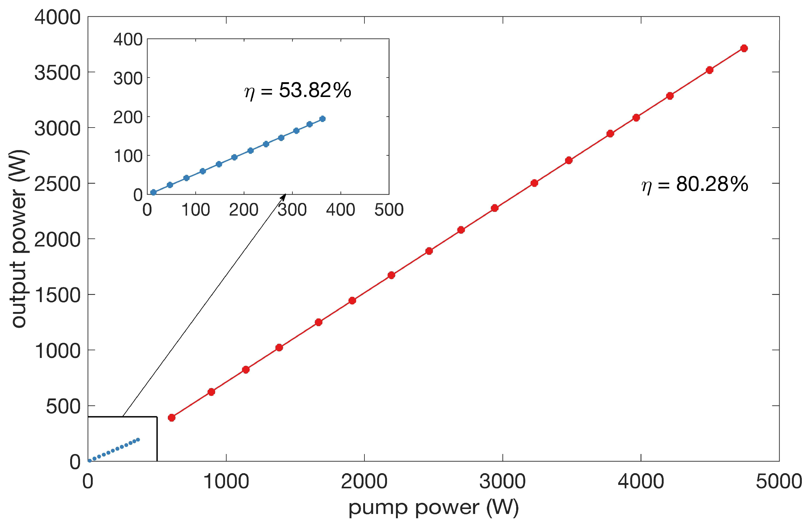
3.2. Experimental Results
4. Conclusions
Author Contributions
Funding
Data Availability Statement
Conflicts of Interest
References
- Zervas, M.N.; Codemard, C.A. High Power Fiber Lasers: A Review. IEEE J. Sel. Top. Quantum Electron. 2014, 20, 219–241. [Google Scholar] [CrossRef]
- Richardson, D.J.; Nilsson, J.; Clarkson, W.A. High power fiber lasers: Current status and future perspectives: Invited. J. Opt. Soc. Am. B 2010, 27, B63–B92. [Google Scholar] [CrossRef]
- Nilsson, J.; Payne, D.N. High-power fiber lasers. Science 2011, 332, 921–922. [Google Scholar] [CrossRef] [PubMed]
- Shi, W.; Fang, Q.; Zhu, X.; Norwood, R.A.; Peyghambarian, N. Fiber lasers and their applications [Invited]. Appl. Opt. 2014, 53, 6554–6568. [Google Scholar] [CrossRef]
- Wang, Y.; Chen, G.; Li, J. Development and prospect of high-power Yb3C doped fibers. High Power Laser Sci. Eng. 2018, 6, e40. [Google Scholar] [CrossRef]
- Liu, Z.; Jin, X.; Su, R.; Ma, P.; Zhou, P. Development status of high power fiber lasers and their coherent beam combination. Sci. China Inf. Sci. 2019, 62, 041301. [Google Scholar] [CrossRef]
- Wang, G.; Song, J.; Chen, Y.; Ren, S.; Ma, P.; Liu, W.; Zhou, P. Six kilowatt record all-fiberized and narrow-linewidth fiber amplifier with near-diffraction-limited beam quality. High Power Laser Sci. Eng. 2022, 10, E22. [Google Scholar] [CrossRef]
- Wang, P.; Xi, X.; Zhang, H.; Yang, B.; Shi, C.; Xiao, H.; Chen, Z.; Pan, Z.; Wang, X.; Wang, Z.; et al. Laser-diode-pumped fiber laser amplifier for 13 kW high-beam-quality output. High Power Laser Part. Beams 2022, 34, 121001. [Google Scholar] [CrossRef]
- Wang, Y.; Feng, Y.; Peng, W.; Sun, Y.; Yang, X.; Wang, Y.; Li, T.; Liu, H.; Ma, Y.; Gao, Q.; et al. 5 kW near diffraction limit high extinction ratio narrow linewidth polarization maintaining fiber laser. High Power Laser Part. Beams 2022, 34, 112002. [Google Scholar] [CrossRef]
- Wang, Y.; Kitahara, R.; Kiyoyama, W.; Shirakura, Y.; Kurihara, T.; Nakanish, Y.; Yamamoto, T.; Nakayama, M.; Ikoma, S.; Shima, K. 8-kW single-stage all-fiber Yb-doped fiber laser with a BPP of 0.50 mm-mrad. In Proceedings of the SPIE LASE, San Francisco, CA, USA, 21 February 2020. [Google Scholar] [CrossRef]
- Eyal, S.; Yaniv, V.; Benayahu, U. 16kW single mode CW laser with dynamic beam for material processing. In Proceedings of the SPIE LASE, San Francisco, CA, USA, 21 February 2020. [Google Scholar] [CrossRef]
- Padmanabham, G.; Bathe, R. Laser Materials Processing for Industrial Applications. Proc. Natl. Acad. Sci. India Sect. A Phys. Sci. 2018, 88, 359–374. [Google Scholar] [CrossRef]
- Hejaz, K.; Shayganmanesh, M.; Roohforouz, A.; Rezaei-Nasirabad, R.; Abedinajafi, A.; Azizi, S.; Vatani, V. Transverse mode instability threshold enhancement in Yb-doped fiber lasers by cavity modification. Appl. Opt. 2018, 57, 5992–5997. [Google Scholar] [CrossRef] [PubMed]
- Huang, Y.; Yan, P.; Wang, Z.; Tian, J.; Li, D.; Xiao, Q.; Gong, M. 2.19 kW narrow linewidth FBG-based MOPA configuration fiber laser. Opt. Express 2019, 27, 3136–3145. [Google Scholar] [CrossRef] [PubMed]
- Zeng, L.; Wang, X.; Yang, B.; Zhang, H.; Xu, X. A 3.5-kW near-single-mode oscillating–amplifying integrated fiber laser. High Power Laser Sci. Eng. 2021, 9, e41. [Google Scholar] [CrossRef]
- Zeng, L.; Xi, X.; Zhang, H.; Yang, B.; Wang, P.; Wang, X.; Xu, X. Demonstration of the reliability of a 5-kW-level oscillating–amplifying integrated fiber laser. Opt. Lett. 2021, 46, 5778. [Google Scholar] [CrossRef]
- Hejaz, K.; Norouzey, A.; Poozesh, R.; Heidariazar, A.; Roohforouz, A.; Nasirabad, R.R.; Jafari, N.T.; Golshan, A.H.; Babazadeh, A.; Lafouti, M. Controlling mode instability in a 500 W ytterbium-doped fiber laser. Laser Phys. 2014, 24, 025102. [Google Scholar] [CrossRef]
- Khitrov, V.; Minelly, J.D.; Tumminelli, R.; Petit, V.; Pooler, E.S. 3kW single-mode direct diode-pumped fiber laser. In Proceedings of the SPIE LASE, San Francisco, CA, USA, 12 March 2014. [Google Scholar] [CrossRef]
- Sipes, D.L.; Tafoyaa, J.D.; Schulza, D.S.; Alkeskjoldb, T.T.; Weirichb, J.; Olausson, C.B.T. High-power monolithic fiber amplifiers based on advanced photonic crystal fiber designs. In Proceedings of the SPIE LASE, San Francisco, CA, USA, 7 March 2014. [Google Scholar] [CrossRef]
- Zhang, F.; Wang, Y.; Lin, X.; Cheng, Y.; Zhang, Z.; Liu, Y.; Liao, L.; Xing, Y.; Yang, L.; Dai, N.; et al. Gain-tailored Yb/Ce codoped aluminosilicate fiber for laser stability improvement at high output power. Opt. Express 2019, 27, 20824–20836. [Google Scholar] [CrossRef]
- YLM and YLR-1070 Series. Available online: https://www.ipgphotonics.com/cn/products/lasers/mid-power-cw-fiber-lasers/1-micron/ylm-and-ylr#[ylr-wc-2-4-kw] (accessed on 25 November 2022).
- HIGHLIGHT FIBER LASER (FL). Available online: https://www.coherent.com/lasers/fiber/highlight-fl-arm (accessed on 25 November 2022).
- Tao, R.; Su, R.; Ma, P.; Wang, X.; Zhou, P. Suppressing mode instabilities by optimizing the fiber coiling methods. Laser Phys. Lett. 2016, 14, 025101. [Google Scholar] [CrossRef]
- Su, R.; Tao, R.; Wang, X.; Zhang, H.; Ma, P.; Zhou, P.; Xu, X. 2.43 kW narrow linewidth linearly polarized all-fiber amplifier based on mode instability suppression. Laser Phys. Lett. 2017, 14, 085102. [Google Scholar] [CrossRef]
- Yan, D.; Guo, C.; Zhao, P.; Tao, R.; Shu, Q.; Lin, H.; Wang, J.; Liao, R. A simple O-shaped cylinder fiber laser without inter-cladding-power-strippers. Adv. Lasers High-Power Lasers Appl. XII 2021, 11890, 28–33. [Google Scholar] [CrossRef]
- Song, H.; Yan, D.; Wu, W.; Shen, B.; Feng, X.; Liu, Y.; Li, L.; Chu, Q.; Li, M.; Wang, J.; et al. SRS suppression in multi-kW fiber lasers with a multiplexed CTFBG. Opt. Express 2021, 29, 20535. [Google Scholar] [CrossRef]
- Tao, R.; Ma, P.; Wang, X.; Zhou, P.; Liu, Z. Theoretical study of pump power distribution on modal instabilities in high power fiber amplifiers. Laser Phys. Lett. 2017, 14, 025002. [Google Scholar] [CrossRef]
- Tao, R.; Ma, P.; Wang, X.; Zhou, P.; Liu, Z. Mitigating of modal instabilities in linearly-polarized fiber amplifiers by shifting pump wavelength. J. Opt. 2015, 17, 045504. [Google Scholar] [CrossRef]
- Yan, P.; Hao, J.P.; Xiao, Q.R.; Wang, Y.P.; Gong, M.L. The influence of fusion splicing on the beam quality of a ytterbium-doped fiber laser. Laser Phys. 2013, 23, 045109. [Google Scholar] [CrossRef]







| Physical Symbols | Meaning | Value |
|---|---|---|
| Index of refraction of the optical fiber’s cladding | 1.450 | |
| N.A. | Numerical aperture | 0.061 |
| Radius of the optical fiber’s core | 12.5 μm | |
| Radius of the optical fiber’s cladding | 200 μm | |
| Wavelength of the pumping light | 915 nm | |
| Wavelength of the seed light | 1080 nm | |
| Convection coefficient for the cooling material | 1000 W/(K·m2) | |
| Thermal-optic coefficient | 1.2 × 10−5 K−1 | |
| Thermal conductivity | 1.38 W/(K·m) | |
| The product of density and specific heat capacity | 1.54 × 106 J/(K·m3) | |
| Relative intensity noise of the input signal | −100 dBc/Hz | |
| Pump absorption cross-sections | 6.04 × 10−25 m2 | |
| Pump emission cross-sections | 1.96 × 10−26 m2 | |
| Signal absorption cross-sections | 3.51 × 10−27 m2 | |
| Signal emission cross-sections | 4.13 × 10−25 m2 | |
| Ion upper-state lifetime | 0.91 ms | |
| Power of the seed light | 150 W | |
| Initial HOM content | 0.01 |
Disclaimer/Publisher’s Note: The statements, opinions and data contained in all publications are solely those of the individual author(s) and contributor(s) and not of MDPI and/or the editor(s). MDPI and/or the editor(s) disclaim responsibility for any injury to people or property resulting from any ideas, methods, instructions or products referred to in the content. |
© 2023 by the authors. Licensee MDPI, Basel, Switzerland. This article is an open access article distributed under the terms and conditions of the Creative Commons Attribution (CC BY) license (https://creativecommons.org/licenses/by/4.0/).
Share and Cite
Yan, D.; Liao, R.; Guo, C.; Zhao, P.; Shu, Q.; Lin, H.; Wang, J.; Tao, R. A 3.7-kW Oscillating-Amplifying Integrated Fiber Laser Featuring a Compact Oval-Shaped Cylinder Package. Micromachines 2023, 14, 264. https://doi.org/10.3390/mi14020264
Yan D, Liao R, Guo C, Zhao P, Shu Q, Lin H, Wang J, Tao R. A 3.7-kW Oscillating-Amplifying Integrated Fiber Laser Featuring a Compact Oval-Shaped Cylinder Package. Micromachines. 2023; 14(2):264. https://doi.org/10.3390/mi14020264
Chicago/Turabian StyleYan, Donglin, Ruoyu Liao, Chao Guo, Pengfei Zhao, Qiang Shu, Honghuan Lin, Jianjun Wang, and Rumao Tao. 2023. "A 3.7-kW Oscillating-Amplifying Integrated Fiber Laser Featuring a Compact Oval-Shaped Cylinder Package" Micromachines 14, no. 2: 264. https://doi.org/10.3390/mi14020264
APA StyleYan, D., Liao, R., Guo, C., Zhao, P., Shu, Q., Lin, H., Wang, J., & Tao, R. (2023). A 3.7-kW Oscillating-Amplifying Integrated Fiber Laser Featuring a Compact Oval-Shaped Cylinder Package. Micromachines, 14(2), 264. https://doi.org/10.3390/mi14020264

