Development of High-Performance Flexible Radiative Cooling Film Using PDMS/TiO2 Microparticles
Abstract
:1. Introduction
2. Materials and Methods
2.1. Materials
2.2. Design
2.3. Fabrication
2.4. Experimental Method
3. Results and Discussion
3.1. Optical Properties
3.2. Cooling Power
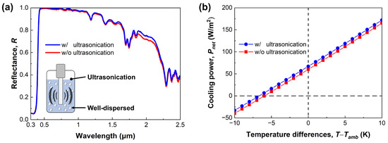
3.3. Ultrasonication Effect
4. Conclusions
Supplementary Materials
Author Contributions
Funding
Data Availability Statement
Conflicts of Interest
Abbreviation
| FRC | Flexible radiative cooling |
References
- Arora, N.K.; Fatima, T.; Mishra, I.; Verma, M.; Mishra, J.; Mishra, V. Environmental sustainability: Challenges and viable solutions. Environ. Sustain. 2018, 1, 309–340. [Google Scholar] [CrossRef]
- Zhang, Y.; Tan, X.; Qi, G.; Yang, X.; Hu, D.; Fyffe, P.; Chen, X. Effective radiative cooling with ZrO2/PDMS reflective coating. Sol. Energy Mater. Sol. Cells 2021, 229, 111129. [Google Scholar] [CrossRef]
- Weng, Y.; Zhang, W.; Jiang, Y.; Zhao, W.; Deng, Y. Effective daytime radiative cooling via a template method based PDMS sponge emitter with synergistic thermo-optical activity. Sol. Energy Mater. Sol. Cells 2021, 230, 111205. [Google Scholar] [CrossRef]
- Son, S.; Jeon, S.; Chae, D.; Lee, S.Y.; Liu, Y.; Lim, H.; Oh, S.J.; Lee, H. Colored emitters with silica-embedded perovskite nanocrystals for efficient daytime radiative cooling. Nano Energy 2021, 79, 105461. [Google Scholar] [CrossRef]
- Hossain, M.M.; Jia, B.; Gu, M. A metamaterial emitter for highly efficient radiative cooling. Adv. Opt. Mater. 2015, 3, 1047–1051. [Google Scholar] [CrossRef]
- Mandal, J.; Yang, Y.; Yu, N.; Raman, A.P. Paints as a scalable and effective radiative cooling technology for buildings. Joule 2020, 4, 1350–1356. [Google Scholar] [CrossRef]
- Wang, X.; Liu, X.; Li, Z.; Zhang, H.; Yang, Z.; Zhou, H.; Fan, T. Scalable flexible hybrid membranes with photonic structures for daytime radiative cooling. Adv. Funct. Mater. 2020, 30, 1907562. [Google Scholar] [CrossRef]
- Qi, Y.; Xiang, B.; Zhang, J. Effect of titanium dioxide (TiO2) with different crystal forms and surface modifications on cooling property and surface wettability of cool roofing materials. Sol. Energy Mater. Sol. Cells 2017, 172, 34–43. [Google Scholar] [CrossRef]
- Zhu, Y.; Wang, D.; Fang, C.; He, P.; Ye, Y.H. A multilayer emitter close to ideal solar reflectance for efficient daytime radiative cooling. Polymers 2019, 11, 1203. [Google Scholar] [CrossRef] [PubMed]
- Kou, J.l.; Jurado, Z.; Chen, Z.; Fan, S.; Minnich, A.J. Daytime radiative cooling using near-black infrared emitters. ACS Photonics 2017, 4, 626–630. [Google Scholar] [CrossRef]
- Li, W.; Shi, Y.; Chen, K.; Zhu, L.; Fan, S. A comprehensive photonic approach for solar cell cooling. ACS Photonics 2017, 4, 774–782. [Google Scholar] [CrossRef]
- Wang, W.; Fernandez, N.; Katipamula, S.; Alvine, K. Performance assessment of a photonic radiative cooling system for office buildings. Renew. Energy 2018, 118, 265–277. [Google Scholar] [CrossRef]
- Bao, H.; Yan, C.; Wang, B.; Fang, X.; Zhao, C.; Ruan, X. Double-layer nanoparticle-based coatings for efficient terrestrial radiative cooling. Sol. Energy Mater. Sol. Cells 2017, 168, 78–84. [Google Scholar] [CrossRef]
- Xue, X.; Qiu, M.; Li, Y.; Zhang, Q.; Li, S.; Yang, Z.; Feng, C.; Zhang, W.; Dai, J.G.; Lei, D.; et al. Creating an eco-friendly building coating with smart subambient radiative cooling. Adv. Mater. 2020, 32, 1906751. [Google Scholar] [CrossRef]
- Yalçın, R.A.; Blandre, E.; Joulain, K.; Drévillon, J. Colored radiative cooling coatings with nanoparticles. ACS Photonics 2020, 7, 1312–1322. [Google Scholar] [CrossRef]
- Lv, S.; Ji, Y.; Ji, Y.; Qian, Z.; Ren, J.; Zhang, B.; Lai, Y.; Yang, J.; Chang, Z. Experimental and numerical comparative investigation on 24h radiative cooling performance of a simple organic composite film. Energy 2022, 261, 125140. [Google Scholar] [CrossRef]
- Wang, H.D.; Xue, C.H.; Ji, Z.Y.; Huang, M.C.; Jiang, Z.H.; Liu, B.Y.; Deng, F.Q.; An, Q.F.; Guo, X.J. Superhydrophobic porous coating of polymer composite for scalable and durable daytime radiative cooling. ACS Appl. Mater. Interfaces 2022, 14, 51307–51317. [Google Scholar] [CrossRef] [PubMed]
- Zhu, L.; Raman, A.P.; Fan, S. Radiative cooling of solar absorbers using a visibly transparent photonic crystal thermal blackbody. Proc. Natl. Acad. Sci. USA 2015, 112, 12282–12287. [Google Scholar] [CrossRef]
- Yao, K.; Ma, H.; Huang, M.; Zhao, H.; Zhao, J.; Li, Y.; Dou, S.; Zhan, Y. Near-perfect selective photonic crystal emitter with nanoscale layers for daytime radiative cooling. ACS Appl. Nano Mater. 2019, 2, 5512–5519. [Google Scholar] [CrossRef]
- Zhao, B.; Hu, M.; Ao, X.; Xuan, Q.; Pei, G. Comprehensive photonic approach for diurnal photovoltaic and nocturnal radiative cooling. Sol. Energy Mater. Sol. Cells 2018, 178, 266–272. [Google Scholar] [CrossRef]
- Ma, H.; Yao, K.; Dou, S.; Xiao, M.; Dai, M.; Wang, L.; Zhao, H.; Zhao, J.; Li, Y.; Zhan, Y. Multilayered SiO2/Si3N4 photonic emitter to achieve high-performance all-day radiative cooling. Sol. Energy Mater. Sol. Cells 2020, 212, 110584. [Google Scholar] [CrossRef]
- Ishii, S.; Hernández-Pinilla, D.; Tanjaya, N.K.; Nagao, T. Highly reflective multilayer solar reflectors for daytime radiative cooling. Sol. Energy Mater. Sol. Cells 2023, 259, 112463. [Google Scholar] [CrossRef]
- Zhang, H.; Ly, K.C.; Liu, X.; Chen, Z.; Yan, M.; Wu, Z.; Wang, X.; Zheng, Y.; Zhou, H.; Fan, T. Biologically inspired flexible photonic films for efficient passive radiative cooling. Proc. Natl. Acad. Sci. USA 2020, 117, 14657–14666. [Google Scholar] [CrossRef] [PubMed]
- Wu, D.; Liu, C.; Xu, Z.; Liu, Y.; Yu, Z.; Yu, L.; Chen, L.; Li, R.; Ma, R.; Ye, H. The design of ultra-broadband selective near-perfect absorber based on photonic structures to achieve near-ideal daytime radiative cooling. Mater. Des. 2018, 139, 104–111. [Google Scholar] [CrossRef]
- Dang, S.; Wang, X.; Ye, H. An ultrathin transparent radiative cooling photonic structure with a high NIR reflection. Adv. Mater. Interfaces 2022, 9, 2201050. [Google Scholar] [CrossRef]
- Zhang, J.; Zhou, Z.; Quan, J.; Zhang, D.; Sui, J.; Yu, J.; Liu, J. A flexible film to block solar radiation for daytime radiative cooling. Sol. Energy Mater. Sol. Cells 2021, 225, 111029. [Google Scholar] [CrossRef]
- Xie, W.; Xiao, C.; Sun, Y.; Fan, Y.; Zhao, B.; Zhang, D.; Fan, T.; Zhou, H. Flexible Photonic Radiative Cooling Films: Fundamentals, Fabrication and Applications. Adv. Funct. Mater. 2023, 33, 2305734. [Google Scholar] [CrossRef]
- Lim, H.; Chae, D.; Son, S.; Ha, J.; Lee, H. CaCO3 micro particle-based radiative cooling device without metal reflector for entire day. Mater. Today Commun. 2022, 32, 103990. [Google Scholar] [CrossRef]
- Huang, J.; Li, M.; Fan, D. Core-shell particles for devising high-performance full-day radiative cooling paint. Appl. Mater. Today 2021, 25, 101209. [Google Scholar] [CrossRef]
- Altamimi, M.M.S.; Saeed, U.; Al-Turaif, H. BaSO4/TiO2 Microparticle Embedded in Polyvinylidene Fluoride-Co-Hexafluoropro-pylene/Polytetrafluoroethylene Polymer Film for Daytime Radiative Cooling. Polymers 2023, 15, 3876. [Google Scholar] [CrossRef]
- Li, X.; Peoples, J.; Yao, P.; Ruan, X. Ultrawhite BaSO4 paints and films for remarkable daytime subambient radiative cooling. ACS Appl. Mater. Interfaces 2021, 13, 21733–21739. [Google Scholar] [CrossRef]
- Atiganyanun, S.; Plumley, J.B.; Han, S.J.; Hsu, K.; Cytrynbaum, J.; Peng, T.L.; Han, S.M.; Han, S.E. Effective radiative cooling by paint-format microsphere-based photonic random media. ACS Photonics 2018, 5, 1181–1187. [Google Scholar] [CrossRef]
- Du, T.; Niu, J.; Wang, L.; Bai, J.; Wang, S.; Li, S.; Fan, Y. Daytime Radiative Cooling Coating Based on the Y2O3/TiO2 Microparticle-Embedded PDMS Polymer on Energy-Saving Buildings. ACS Appl. Mater. Interfaces 2022, 14, 51351–51360. [Google Scholar] [CrossRef] [PubMed]
- Tao, Y.; Mao, Z.; Yang, Z.; Zhang, J. Preparation and characterization of polymer matrix passive cooling materials with thermal insulation and solar reflection properties based on porous structure. Energy Build. 2020, 225, 110361. [Google Scholar] [CrossRef]
- Wang, T.; Wu, Y.; Shi, L.; Hu, X.; Chen, M.; Wu, L. A structural polymer for highly efficient all-day passive radiative cooling. Nat. Commun. 2021, 12, 365. [Google Scholar] [CrossRef] [PubMed]
- Ding, Z.; Li, X.; Fan, X.; Xu, M.; Zhao, J.; Li, Y.; Xu, H. A review of the development of colored radiative cooling surfaces. Carbon Capture Sci. Technol. 2022, 4, 100066. [Google Scholar] [CrossRef]
- Yu, X.; Chan, J.; Chen, C. Review of radiative cooling materials: Performance evaluation and design approaches. Nano Energy 2021, 88, 106259. [Google Scholar] [CrossRef]
- Fei, J.; Han, D.; Ge, J.; Wang, X.; Koh, S.W.; Gao, S.; Sun, Z.; Wan, M.P.; Ng, B.F.; Cai, L.; et al. Switchable surface coating for bifunctional passive radiative cooling and solar heating. Adv. Funct. Mater. 2022, 32, 2203582. [Google Scholar] [CrossRef]
- Fu, Y.; An, Y.; Xu, Y.; Dai, J.G.; Lei, D. Polymer coating with gradient-dispersed dielectric nanoparticles for enhanced daytime radiative cooling. EcoMat 2022, 4, e12169. [Google Scholar] [CrossRef]
- Jeon, S.K.; Kim, J.T.; Kim, M.S.; Kim, I.S.; Park, S.J.; Jeong, H.; Lee, G.J.; Kim, Y.J. Scalable, patternable glass-infiltrated ceramic radiative coolers for energy-saving architectural applications. Adv. Sci. 2023, 10, 2302701. [Google Scholar] [CrossRef]
- Yan, Q.; Zhang, W.; Wu, T.; Lin, Y.; Wang, D.; Meng, L.; Chen, W.; Li, L. Understanding the brittle-ductile transition of glass polymer on mesoscopic scale by in-situ small angle X-ray scattering. Polymer 2020, 209, 122985. [Google Scholar] [CrossRef]
- Ba, M.; Zhang, Z.; Qi, Y. The dispersion tolerance of micro/nano particle in polydimethylsiloxane and its influence on the properties of fouling release coatings based on polydimethylsiloxane. Coatings 2017, 7, 107. [Google Scholar] [CrossRef]
- Lin, K.; Du, Y.; Chen, S.; Chao, L.; Lee, H.H.; Ho, T.C.; Zhu, Y.; Zeng, Y.; Pan, A.; Tso, C.Y. Nanoparticle-polymer hybrid dual-layer coating with broadband solar reflection for high-performance daytime passive radiative cooling. Energy Build. 2022, 276, 112507. [Google Scholar] [CrossRef]
- Yang, J.; Gao, X.; Wu, Y.; Zhang, T.; Zeng, H.; Li, X. Nanoporous silica microspheres–ploymethylpentene (TPX) hybrid films toward effective daytime radiative cooling. Sol. Energy Mater. Sol. Cells 2020, 206, 110301. [Google Scholar] [CrossRef]
- Rephaeli, E.; Raman, A.; Fan, S. Ultrabroadband photonic structures to achieve high-performance daytime radiative cooling. Nano Lett. 2013, 13, 1457–1461. [Google Scholar] [CrossRef]
- Chen, M.; Pang, D.; Chen, X.; Yan, H. Enhancing infrared emission behavior of polymer coatings for radiative cooling applications. J. Phys. D: Appl. Phys. 2021, 54, 295501. [Google Scholar] [CrossRef]
- Lee, B.J.; Park, K.; Walsh, T.; Xu, L. Radiative Heat Transfer Analysis in Plasmonic Nanofluids for Direct Solar Thermal Absorption. J. Sol. Energy Eng. 2012, 134. [Google Scholar] [CrossRef]
- Bohren, C.F.; Huffman, D.R. Absorption and Scattering of Light by Small Particles; John Wiley & Sons: Hoboken, NJ, USA, 2008. [Google Scholar]
- Yun, J.; Chae, D.; So, S.; Lim, H.; Noh, J.; Park, J.; Kim, N.; Park, C.; Lee, H.; Rho, J. Optimally Designed Multimaterial Microparticle–Polymer Composite Paints for Passive Daytime Radiative Cooling. ACS Photonics 2023, 10, 2608–2617. [Google Scholar] [CrossRef]
- Mandal, J.; Fu, Y.; Overvig, A.C.; Jia, M.; Sun, K.; Shi, N.N.; Zhou, H.; Xiao, X.; Yu, N.; Yang, Y. Hierarchically porous polymer coatings for highly efficient passive daytime radiative cooling. Science 2018, 362, 315–319. [Google Scholar] [CrossRef] [PubMed]
- Chen, M.; Pang, D.; Mandal, J.; Chen, X.; Yan, H.; He, Y.; Yu, N.; Yang, Y. Designing mesoporous photonic structures for high-performance passive daytime radiative cooling. Nano Lett. 2021, 21, 1412–1418. [Google Scholar] [CrossRef]
- Bijarniya, J.P.; Sarkar, J.; Tiwari, S.; Maiti, P. Experimentally optimized particle–polymer matrix structure for efficient daytime radiative cooling. J. Renew. Sustain. Energy 2022, 14, 055101. [Google Scholar] [CrossRef]
- Song, J.; Zhang, W.; Sun, Z.; Pan, M.; Tian, F.; Li, X.; Ye, M.; Deng, X. Durable radiative cooling against environmental aging. Nat. Commun. 2022, 13, 4805. [Google Scholar] [CrossRef]
- King, M.D. Neurological sequelae of toluene abuse. Hum. Toxicol. 1982, 1, 281–287. [Google Scholar] [CrossRef] [PubMed]
- Brittain, H.G. Representations of particle shape, size, and distribution. Pharm. Technol. 2001, 25, 38–45. [Google Scholar]
- Kim, J.B.; Lee, S.; Lee, K.; Lee, I.; Lee, B.J. Determination of absorption coefficient of nanofluids with unknown refractive index from reflection and transmission spectra. J. Quant. Spectrosc. Radiat. Transf. 2018, 213, 107–112. [Google Scholar] [CrossRef]
- Vreeland, E.C.; Watt, J.; Schober, G.B.; Hance, B.G.; Austin, M.J.; Price, A.D.; Fellows, B.D.; Monson, T.C.; Hudak, N.S.; Maldonado-Camargo, L.; et al. Enhanced nanoparticle size control by extending LaMer’s mechanism. Chem. Mater. 2015, 27, 6059–6066. [Google Scholar] [CrossRef]
- Ali, H.A.; Hameed, N.J. The study of the particle size effect on the physical properties of TiO2/cellulose acetate composite films. J. Mech. Behav. Mater. 2022, 31, 150–159. [Google Scholar] [CrossRef]
- Madsen, M.H.; Feidenhans, N.A.; Hansen, P.E.; Garnæs, J.; Dirscherl, K. Accounting for PDMS shrinkage when replicating structures. J. Micromech. Microeng. 2014, 24, 127002. [Google Scholar] [CrossRef]
- Raman, A.P.; Anoma, M.A.; Zhu, L.; Rephaeli, E.; Fan, S. Passive radiative cooling below ambient air temperature under direct sunlight. Nature 2014, 515, 540–544. [Google Scholar] [CrossRef]
- Jiang, K.; Zhang, K.; Shi, Z.; Li, H.; Wu, B.; Mahian, O.; Zhu, Y. Experimental and numerical study on the potential of a new radiative cooling paint boosted by SiO2 microparticles for energy saving. Energy 2023, 283, 128473. [Google Scholar] [CrossRef]
- Chae, D.; Son, S.; Lim, H.; Jung, P.H.; Ha, J.; Lee, H. Scalable and paint-format microparticle–polymer composite enabling high-performance daytime radiative cooling. Mater. Today Phys. 2021, 18, 100389. [Google Scholar] [CrossRef]
- Ma, L.; Wang, C.; Liu, L. Polarized radiative transfer in dense dispersed media containing optically soft sticky particles. Opt. Express 2020, 28, 28252–28268. [Google Scholar] [CrossRef] [PubMed]
- Wang, C.H.; Liu, M.X.; Jiang, Z.Y. TiO2 particle agglomeration impacts on radiative cooling films with a thickness of 50 μm. Appl. Phys. Lett. 2022, 121, 202204. [Google Scholar] [CrossRef]
- Hossain, M.M.; Gu, M. Radiative cooling: Principles, progress, and potentials. Adv. Sci. 2016, 3, 1500360. [Google Scholar] [CrossRef]
- Chae, D.; Kim, M.; Jung, P.H.; Son, S.; Seo, J.; Liu, Y.; Lee, B.J.; Lee, H. Spectrally selective inorganic-based multilayer emitter for daytime radiative cooling. ACS Appl. Mater. 2020, 12, 8073–8081. [Google Scholar] [CrossRef]







Disclaimer/Publisher’s Note: The statements, opinions and data contained in all publications are solely those of the individual author(s) and contributor(s) and not of MDPI and/or the editor(s). MDPI and/or the editor(s) disclaim responsibility for any injury to people or property resulting from any ideas, methods, instructions or products referred to in the content. |
© 2023 by the authors. Licensee MDPI, Basel, Switzerland. This article is an open access article distributed under the terms and conditions of the Creative Commons Attribution (CC BY) license (https://creativecommons.org/licenses/by/4.0/).
Share and Cite
Jung, J.; Yoon, S.; Kim, B.; Kim, J.B. Development of High-Performance Flexible Radiative Cooling Film Using PDMS/TiO2 Microparticles. Micromachines 2023, 14, 2223. https://doi.org/10.3390/mi14122223
Jung J, Yoon S, Kim B, Kim JB. Development of High-Performance Flexible Radiative Cooling Film Using PDMS/TiO2 Microparticles. Micromachines. 2023; 14(12):2223. https://doi.org/10.3390/mi14122223
Chicago/Turabian StyleJung, Junbo, Siwon Yoon, Bumjoo Kim, and Joong Bae Kim. 2023. "Development of High-Performance Flexible Radiative Cooling Film Using PDMS/TiO2 Microparticles" Micromachines 14, no. 12: 2223. https://doi.org/10.3390/mi14122223
APA StyleJung, J., Yoon, S., Kim, B., & Kim, J. B. (2023). Development of High-Performance Flexible Radiative Cooling Film Using PDMS/TiO2 Microparticles. Micromachines, 14(12), 2223. https://doi.org/10.3390/mi14122223

