A Low-Cost Microfluidic and Optically Transparent Water Antenna with Frequency-Tuning Characteristics
Abstract
:1. Introduction
2. Antenna Geometry
3. Results and Discussion
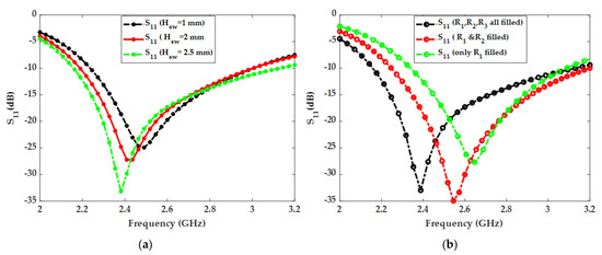
Measurements Results
4. Conclusions
Author Contributions
Funding
Data Availability Statement
Conflicts of Interest
References
- Sayem, A.S.M.; Lalbakhsh, A.; Esselle, K.P.; Moloudian, G.; Buckley, J.L.; Simorangkir, R.B.V.B. Advancements, Challenges, and Prospects of Water-Filled Antennas. IEEE Access 2023, 11, 8301–8323. [Google Scholar] [CrossRef]
- Bright, C.I. Optical Interference Coatings Technical Digest © OSA 2013. In Proceedings of the Polymer/Metal/Polymer Ultra-Transparent Conductive Coatings (U-TCC), Whistler, Canada, 16–21 June 2013; Available online: https://opg.optica.org/abstract.cfm?uri=OIC-2013-ThA.5 (accessed on 20 September 2023).
- Han, S.Y.; Chang, C.H.; Lee, D.H.; Herman, G.S. Inkjet-Printed High Mobility Transparent-Oxide Semiconductors. IEEE/OSA J. Disp. Technol. 2009, 5, 520–524. [Google Scholar] [CrossRef]
- Zou, M.; Shen, Z.; Pan, J. Frequency-Reconfigurable Water Antenna of Circular Polarization. Appl. Phys. Lett. 2016, 108, 014102. [Google Scholar] [CrossRef]
- Wang, M.; Chu, Q.X. High-Efficiency and Wideband Coaxial Dual-Tube Hybrid Monopole Water Antenna. IEEE Antennas Wirel. Propag. Lett. 2018, 17, 799–802. [Google Scholar] [CrossRef]
- Li, Y.; Luk, K.M. A Water Dense Dielectric Patch Antenna. IEEE Access 2015, 3, 274–280. [Google Scholar] [CrossRef]
- Li, J.; Fang, J.; Xiao, P.; Dong, J.; Du, S.; Li, G.; Joines, W.T. A Fan-Shaped Compact Water Antenna With Wide Bandwidth and Optical Transparence. IEEE Trans. Antennas Propag. 2022, 70, 3017–3021. [Google Scholar] [CrossRef]
- Sun, J.; Luk, K.M. A Circularly Polarized Water Patch Antenna. IEEE Antennas Wirel. Propag. Lett. 2020, 19, 926–929. [Google Scholar] [CrossRef]
- Sun, J.; Luk, K.M. A Wideband and Optically Transparent Water Patch Antenna with Broadside Radiation Pattern. IEEE Antennas Wirel. Propag. Lett. 2020, 19, 341–345. [Google Scholar] [CrossRef]
- Sun, J.; Luk, K.M. A Fully Transparent Wideband Water Patch Antenna with L-Shaped Feed. IEEE Open J. Antennas Propag. 2021, 2, 968–975. [Google Scholar] [CrossRef]
- Xing, L.; Huang, Y.; Xu, Q.; Alja’Afreh, S. A Transparent Dielectric-Loaded Reconfigurable Antenna with a Wide Tuning Range. IEEE Antennas Wirel. Propag. Lett. 2016, 15, 1630–1633. [Google Scholar] [CrossRef]
- Desai, A.; Bui, C.D.; Patel, J.; Upadhyaya, T.; Byun, G.; Nguyen, T.K. Compact Wideband Four Element Optically Transparent MIMO Antenna for mm-Wave 5G Applications. IEEE Access 2020, 8, 194206–194217. [Google Scholar] [CrossRef]
- Potti, D.; Tusharika, Y.; Alsath, M.G.N.; Kirubaveni, S.; Kanagasabai, M.; Sankararajan, R.; Narendhiran, S.; Bhargav, P.B. A Novel Optically Transparent UWB Antenna for Automotive MIMO Communications. IEEE Trans. Antennas Propag. 2021, 69, 3821–3828. [Google Scholar] [CrossRef]
- Sun, J.; Luk, K.M. A Wideband Low Cost and Optically Transparent Water Patch Antenna with Omnidirectional Conical Beam Radiation Patterns. IEEE Trans. Antennas Propag. 2017, 65, 4478–4485. [Google Scholar] [CrossRef]
- Desai, A.; Upadhyaya, T. Transparent dual band antenna with µ-negative material loading for smart devices. Microw. Opt. Technol. Lett. 2018, 60, 2805–2811. [Google Scholar] [CrossRef]
- Xing, L.; Xu, Q.; Zhu, J.; Zhao, Y.; Alja’Afreh, S.; Song, C.; Huang, Y. A High-Efficiency Wideband Frequency-Reconfigurable Water Antenna with a Liquid Control System: Usage for VHF and UHF Applications. IEEE Antennas Propag. Mag. 2021, 63, 61–70. [Google Scholar] [CrossRef]
- Hu, Z.; Wang, S.; Shen, Z.; Wu, W. Broadband Polarization-Reconfigurable Water Spiral Antenna of Low Profile. IEEE Antennas Wirel. Propag. Lett. 2017, 16, 1377–1380. [Google Scholar] [CrossRef]
- Hu, Z.; Shen, Z.; Wu, W. Reconfigurable Leaky-Wave Antenna Based on Periodic Water Grating. IEEE Antennas Wirel. Propag. Lett. 2014, 13, 134–137. [Google Scholar] [CrossRef]
- Nguyen, T.D.; Choi, J.H.; Jung, C.W. Optically Transparent Patch Antennas Using Salt Water for WLAN Applications. J. Electromagn. Eng. Sci. 2022, 22, 609–615. [Google Scholar] [CrossRef]
- Kirtania, S.G.; Elger, A.W.; Hasan, M.R.; Wisniewska, A.; Sekhar, K.; Karacolak, T.; Sekhar, P.K. Flexible Antennas: A Review. Micromachine 2020, 11, 847. [Google Scholar] [CrossRef]
- Zhou, R.; Zhang, H.; Xin, H. Liquid-Based Dielectric Resonator Antenna and Its Application for Measuring Liquid Real Permittivities. IET Microw. Antennas Propag. 2014, 8, 255–262. [Google Scholar] [CrossRef]
- Phan, D.T.; Jung, C.W. Transparent Liquid Multiple-Antenna Array with a High Gain and Beam Diversity for UHD TV Diver- sity for UHD TV Applications. J. Electromagn. Eng. Sci. 2022, 22, 186–194. [Google Scholar] [CrossRef]
- Desai, A.; Palandoken, M.; Kulkarni, J.; Byun, G.; Nguyen, T.K. Wideband Flexible/Transparent Connected-Ground MIMO Antennas for Sub-6 GHz 5G and WLAN Applications. IEEE Access 2021, 9, 147003–147015. [Google Scholar] [CrossRef]
- Li, Q.L.; Cheung, S.W.; Wu, D.; Yuk, T.I. Optically Transparent Dual-Band MIMO Antenna Using Micro-Metal Mesh Conductive Film for WLAN System. IEEE Antennas Wirel. Propag. Lett. 2017, 16, 920–923. [Google Scholar] [CrossRef]
- Simorangkir, R.B.V.B.; Yang, Y.; Esselle, K.P.; Zeb, B.A. A Method to Realize Robust Flexible Electronically Tunable Antennas Using Polymer-Embedded Conductive Fabric. IEEE Trans. Antennas Propag. 2018, 66, 50–58. [Google Scholar] [CrossRef]
- Xu, P.; Xu, X.; Lin, K.; Yu, R.; Zhang, D.; Wang, Z.; Yu, K.; Wu, W.; Ma, X.; Wang, C. A Fast Evaluation Method for Electrical Performance of Frequency and Pattern Reconfigurable Microstrip Antenna Based on Electromechanical Coupling. Micromachine 2022, 13, 1412. [Google Scholar] [CrossRef] [PubMed]
- Aliqab, K.; Lavadiya, S.; Alsharari, M.; Armghan, A.; Daher, M.G.; Patel, S.K. Design and Fabrication of a Low-cost, Multiband and High Gain Squre Tooth-Enabled Metamaterial Superstrate Microstrip Patch Antenna. Micromachine 2023, 14, 163. [Google Scholar] [CrossRef] [PubMed]
- Sun, G.; Muneer, B.; Zhu, Q. A Study of Microstrip Antenna Made of Transparent ITO Films. In Proceedings of the 2014 IEEE Antennas and Propagation Society International Symposium (APSURSI), Memphis, TN, USA, 6–11 July 2014; pp. 1867–1868. [Google Scholar] [CrossRef]
- Gezahegn, Y.A.; Tang, J.; Sablani, S.S.; Pedrow, P.D.; Hong, Y.K.; Lin, H.; Tang, Z. Dielectric properties of water relevant to microwave assisted thermal pasteurization and sterilization of packaged foods. Innov. Food Sci. Emerg. Technol. 2021, 74, 102837. [Google Scholar] [CrossRef]
- Peyman, C.G.; Grant, E.H. Complex permittivity of sodium chloride solutions at microwave frequencies. Bioelectromagnetics 2007, 28, 264–274. [Google Scholar] [CrossRef] [PubMed]










| Parameter | Value (mm) | Parameter | Value (mm) |
|---|---|---|---|
| Rg, Hg | 67, 6.5 | Rr, Rw | 35, 33 |
| Rgw, Hgw | 65, 3 | R1, R2, R3 | 33, 20, 7 |
| t1, t2, t3, t4 | 1.5, 2, 1, 2 | Hl, Hr | 6.5, 3 |
| L1, L2, r | 10, 15.5, 4 | Hw, Hsw | 3.5, 2.5 |
| Ref. | Antenna Size | Material of Patch | Material of Ground | Impedance Bandwidth (%) | Efficiency (%) | Transparency | Container/ Substrate | Frequency Tuning |
|---|---|---|---|---|---|---|---|---|
| [5] | 1.14λ0 × 1.14λ0 × 0.24λ0 | Water | Copper | 57.3% | 52–84% | No | Acrylic tubes | No |
| [6] | 1.06λ0 × 1.06λ0 × 0.06λ0 | Water | Copper | 8% | >70% | No | Plexiglass | No |
| [7] | 1.95λ0 × 0.6λ0 × 0.25λ0 | Water | Water | 82.5% | 43–60% | Yes | Transparent resin | No |
| [9] | 1.94λ0 × 1.77λ0 × 0.47λ0 | Water | Water | 42.6% | 67% | Yes | Plexiglass | No |
| [10] | 1.35λ0 × 1.25λ0 × 0.35λ0 | Water | Water | 34.9% | 75% | Yes | Plexiglass | No |
| [11] | 0.04λ0 × 0.03λ0 × 0.01λ0 | Water | Copper | 68.9% (−6 dB) | 12–75% | No | Acrylic plastic | Yes |
| [12] | 2.0λ0 × 1.8λ0 × 0.16λ0 | AgHT-8 | AgHT-8 | 12%, 28.8% | >75% | Yes | Plexiglass | No |
| [14] | 7.5λ0 × 2.4λ0 × 0.30λ0 | Water | Water | 35% | 57–82% | Yes | Plexiglass | No |
| [Prop.] | 6.73λ0 × 1.07λ0 × 0.25λ0 | Water | Water | 40% | 80–95% | Yes | Transparent resin | Yes |
Disclaimer/Publisher’s Note: The statements, opinions and data contained in all publications are solely those of the individual author(s) and contributor(s) and not of MDPI and/or the editor(s). MDPI and/or the editor(s) disclaim responsibility for any injury to people or property resulting from any ideas, methods, instructions or products referred to in the content. |
© 2023 by the authors. Licensee MDPI, Basel, Switzerland. This article is an open access article distributed under the terms and conditions of the Creative Commons Attribution (CC BY) license (https://creativecommons.org/licenses/by/4.0/).
Share and Cite
Abdullah, A.; Shah, S.I.H.; Kiv, S.; Ho, J.; Lim, S. A Low-Cost Microfluidic and Optically Transparent Water Antenna with Frequency-Tuning Characteristics. Micromachines 2023, 14, 2052. https://doi.org/10.3390/mi14112052
Abdullah A, Shah SIH, Kiv S, Ho J, Lim S. A Low-Cost Microfluidic and Optically Transparent Water Antenna with Frequency-Tuning Characteristics. Micromachines. 2023; 14(11):2052. https://doi.org/10.3390/mi14112052
Chicago/Turabian StyleAbdullah, Abdullah, Syed Imran Hussain Shah, Sakobyly Kiv, Jinwoo Ho, and Sungjoon Lim. 2023. "A Low-Cost Microfluidic and Optically Transparent Water Antenna with Frequency-Tuning Characteristics" Micromachines 14, no. 11: 2052. https://doi.org/10.3390/mi14112052
APA StyleAbdullah, A., Shah, S. I. H., Kiv, S., Ho, J., & Lim, S. (2023). A Low-Cost Microfluidic and Optically Transparent Water Antenna with Frequency-Tuning Characteristics. Micromachines, 14(11), 2052. https://doi.org/10.3390/mi14112052

