Analyzing the Performance of Millimeter Wave MIMO Antenna under Different Orientation of Unit Element
Abstract
:1. Introduction
- Compact design with low structural complexity;
- Analysis of the MIMO antenna under various element orientation;
- Low mutual coupling and ECC from all three MIMO designs;
- High gain antenna without using additional layers.
2. Design and Results of the Unit Element of the Antenna
2.1. Designing Steps
2.2. Outcomes of the Unit Element
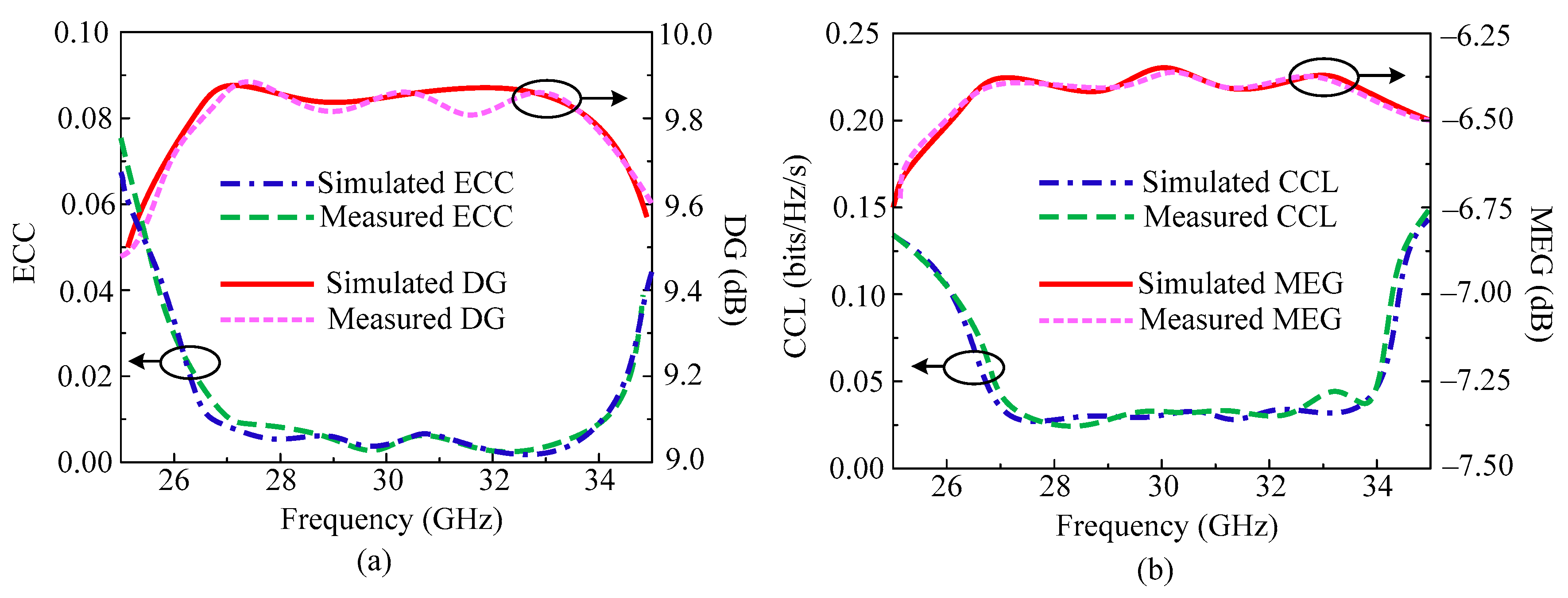
3. Two-Port MIMO Antenna
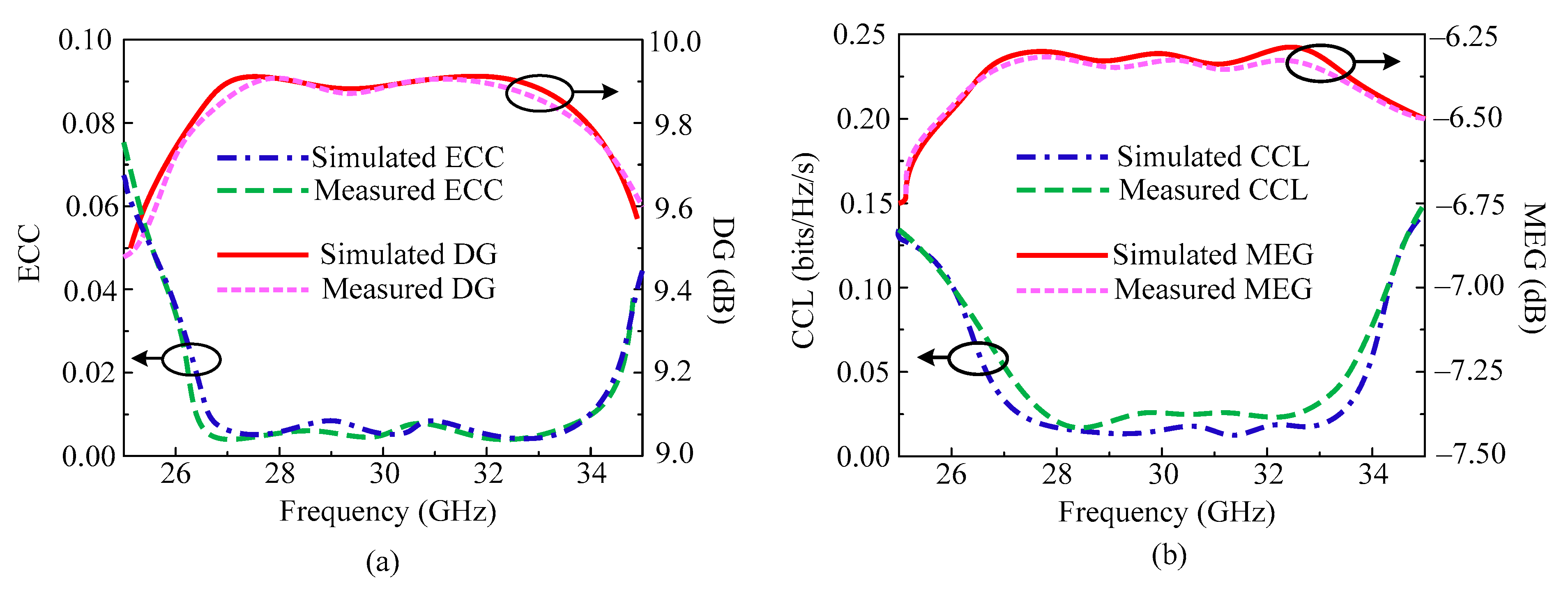
3.1. Case 1: Parallel Placed MIMO Elements
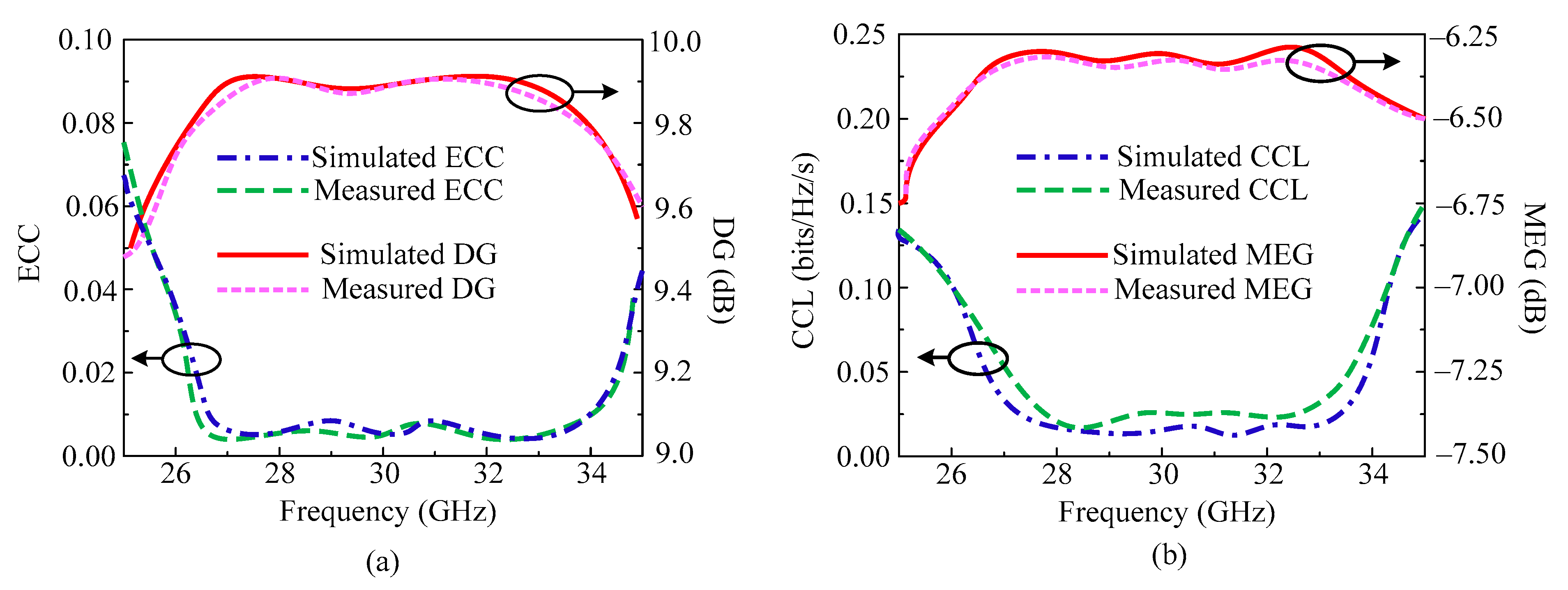
3.2. Case 2: Orthogonally Placed MIMO Elements
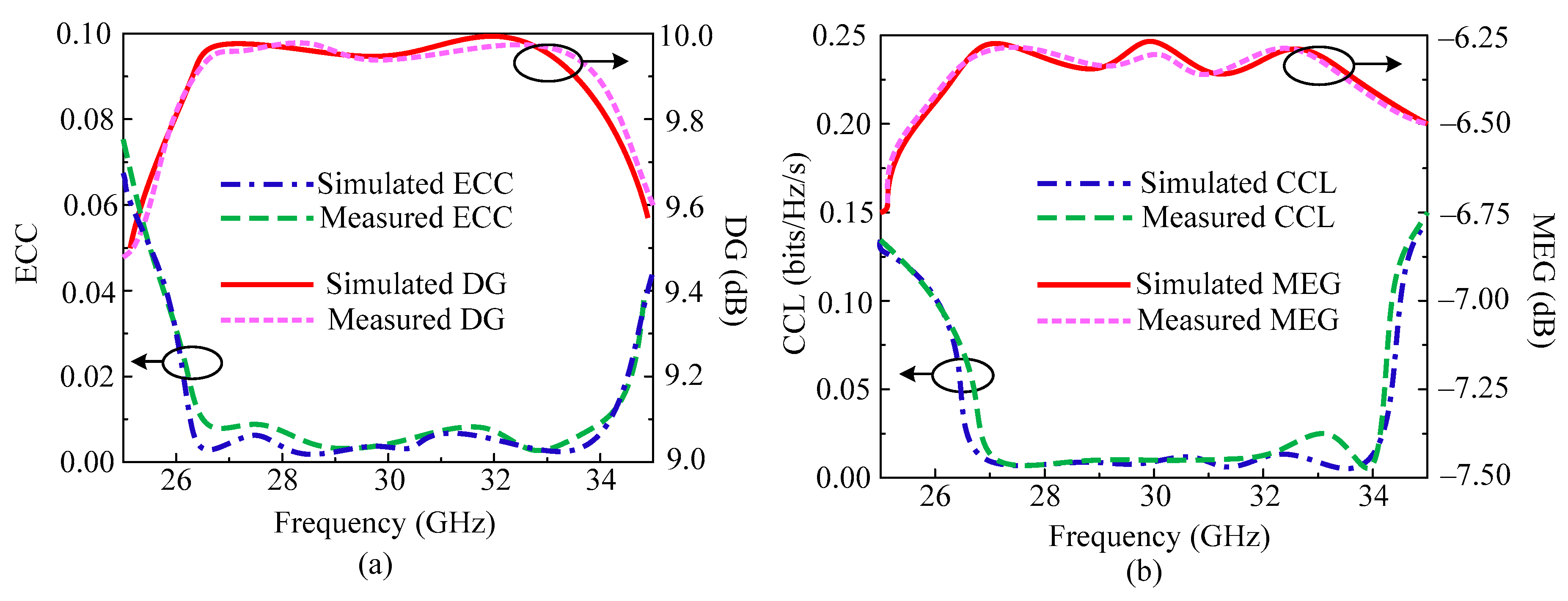
3.3. Case 3: Parallel Placed Opposite to Each Other MIMO Elements
4. Conclusions
Author Contributions
Funding
Data Availability Statement
Acknowledgments
Conflicts of Interest
References
- Wen, C.; Huang, Y.; Zheng, L.; Liu, W.; Davidson, T.N. Transmit Waveform Design for Dual-Function Radar-Communication Systems via Hybrid Linear-Nonlinear Precoding. IEEE Trans. Signal Process. 2023, 71, 2130–2214. [Google Scholar] [CrossRef]
- Liu, D.; Cao, Z.; Jiang, H.; Zhou, S.; Xiao, Z.; Zeng, F. Concurrent Low-Power Listening: A New Design Paradigm for Duty-Cycling Communication. ACM Trans. Sen. Netw. 2022, 19, 1–24. [Google Scholar] [CrossRef]
- Zhao, J.; Gao, F.; Jia, W.; Yuan, W.; Jin, W. Integrated Sensing and Communications for UAV Communications with Jittering Effect. IEEE Wirel. Commun. Lett. 2023, 12, 758–762. [Google Scholar] [CrossRef]
- Wen, C.; Huang, Y.; Davidson, T.N. Efficient Transceiver Design for MIMO Dual-Function Radar-Communication Systems. IEEE Trans. Signal Process. 2023, 71, 1786–1801. [Google Scholar] [CrossRef]
- Shi, J.; Li, Z.; Jia, J.; Li, Z.; Shen, C.; Zhang, J.; Chi, N. Waveform-to-Waveform End-to-End Learning Framework in a Seamless Fiber-Terahertz Integrated Communication System. J. Light. Technol. 2023, 41, 2381–2392. [Google Scholar] [CrossRef]
- Pan, S.; Lin, M.; Xu, M.; Zhu, S.; Bian, L.; Li, G. A Low-Profile Programmable Beam Scanning Holographic Array Antenna Without Phase Shifters. IEEE Internet Things J. 2022, 9, 8838–8851. [Google Scholar] [CrossRef]
- Wang, Q.; Li, P.; Rocca, P.; Li, R.; Tan, G.; Hu, N.; Xu, W. Interval-Based Tolerance Analysis Method for Petal Reflector Antenna with Random Surface and Deployment Errors. IEEE Trans. Antennas Propag. 2023. [Google Scholar] [CrossRef]
- Zhang, C.; Xiao, P.; Zhao, Z.; Liu, Z.; Yu, J.; Hu, X.; Li, G. A Wearable Localized Surface Plasmons Antenna Sensor for Communication and Sweat Sensing. IEEE Sens. J. 2023, 23, 11591–11599. [Google Scholar] [CrossRef]
- Ding, G.; Anselmi, N.; Xu, W.; Li, P.; Rocca, P. Interval-Bounded Optimal Power Pattern Synthesis of Array Antenna Excitations Robust to Mutual Coupling. IEEE Antennas Wirel. Propag. Lett. 2023, 1–5. [Google Scholar] [CrossRef]
- Awan, W.A.; Abbas, A.; Naqvi, S.I.; Elkamchouchi, D.H.; Aslam, M.; Hussain, N. A Conformal Tri-Band Antenna for Flexible Devices and Body-Centric Wireless Communications. Micromachines 2023, 14, 1842. [Google Scholar] [CrossRef]
- Ojaroudi Parchin, N.; Jahanbakhsh Basherlou, H.; Al-Yasir, Y.I.A.; Abd-Alhameed, R.A.; Abdulkhaleq, A.M.; Noras, J.M. Recent Developments of Reconfigurable Antennas for Current and Future Wireless Communication Systems. Electronics 2019, 8, 128. [Google Scholar] [CrossRef]
- Awan, W.A.; Ali, E.M.; Alzaidi, M.S.; Elkamchouchi, D.H.; Alsunaydih, F.N.; Alsaleem, F.; Alhassoon, K. Enhancing isolation performance of tilted Beam MIMO antenna for short-range millimeter wave applications. Heliyon 2023, 9, e19985. [Google Scholar] [CrossRef] [PubMed]
- Park, S.-J.; Park, S.-O. LHCP and RHCP substrate integrated waveguide antenna arrays for millimeter-wave applications. IEEE Antennas Wirel. Propag. Lett. 2016, 16, 601–604. [Google Scholar] [CrossRef]
- Hussain, M.; Awan, W.A.; Alzaidi, M.S.; Elkamchouchi, D.H. Self-decoupled tri band MIMO antenna operating over ISM, WLAN and C-band for 5G applications. Heliyon 2023, 9, e17404. [Google Scholar] [CrossRef]
- Li, A.; Masouros, C.; Swindlehurst, A.L.; Yu, W. 1-Bit Massive MIMO Transmission: Embracing Interference with Symbol-Level Precoding. IEEE Commun. Mag. 2021, 59, 121–127. [Google Scholar] [CrossRef]
- Li, B.; Zhang, M.; Rong, Y.; Han, Z. Transceiver optimization for wireless powered time-division duplex MU-MIMO systems: Non-robust and robust designs. IEEE Trans. Wirel. Commun. 2021, 21, 4594–4607. [Google Scholar] [CrossRef]
- Sufian, M.A.; Hussain, N.; Abbas, A.; Awan, W.A.; Choi, D.; Kim, N. A Series fed Planar Array-based 4-port MIMO Antenna for 5G mmWave IoT Applications. In Proceedings of the 2022 Asia-Pacific Microwave Conference (APMC), Yokohama, Japan, 29 November–2 December 2022; pp. 880–882. [Google Scholar]
- Hussain, N.; Pham, T.D.; Tran, H.-H. Circularly Polarized MIMO Antenna with Wideband and High Isolation Characteristics for C-Band Communication Systems. Micromachines 2022, 13, 1894. [Google Scholar] [CrossRef]
- Hussain, M.; Awan, W.A.; Ali, E.M.; Alzaidi, M.S.; Alsharef, M.; Elkamchouchi, D.H.; Alzahrani, A.; Fathy Abo Sree, M. Isolation Improvement of Parasitic Element-Loaded Dual-Band MIMO Antenna for Mm-Wave Applications. Micromachines 2022, 13, 1918. [Google Scholar] [CrossRef]
- Hussain, N.; Jeong, M.J.; Abbas, A.; Kim, N. Metasurface-based single-layer wideband circularly polarized MIMO antenna for 5G millimeter-wave systems. IEEE Access 2020, 8, 130293–130304. [Google Scholar] [CrossRef]
- Sharma, S.; Mehra, R. A dual-band, dual-polarized, CPW-fed wideband antenna loaded with via less CRLH-MTM TL for 5G mm-Wave communication. AEU-Int. J. Electron. Commun. 2021, 141, 153950. [Google Scholar] [CrossRef]
- Askari, H.; Hussain, N.; Sufian, M.A.; Lee, S.M.; Kim, N. A Wideband Circularly Polarized Magnetoelectric Dipole Antenna for 5G Millimeter-Wave Communications. Sensors 2022, 22, 2338. [Google Scholar] [CrossRef] [PubMed]
- Hasan, M.N.; Seo, M. Compact omnidirectional 28 GHz 2 × 2 MIMO antenna array for 5G communications. In Proceedings of the International Symposium on Antennas and Propagation (ISAP), Busan, Republic of Korea, 23–26 October 2018; IEEE: New York, NY, USA, 2018; pp. 1–2. [Google Scholar]
- Zahra, H.; Awan, W.A.; Ali, W.A.E.; Hussain, N.; Abbas, S.M.; Mukhopadhyay, S. A 28 GHz Broadband Helical Inspired End-Fire Antenna and Its MIMO Configuration for 5G Pattern Diversity Applications. Electronics 2021, 10, 405. [Google Scholar] [CrossRef]
- Jose, M.C.; Radha, S.; Sreeja, B.S.; Kumar, P. Design of 28 GHz high gain 5G MIMO antenna array system. In Proceedings of the TENCON 2019 IEEE Region 10 Conference (TENCON), Kochi, India, 17–20 October 2019; IEEE: New York, NY, USA, 2019; pp. 1913–1916. [Google Scholar]
- Awan, W.A.; Naqvi, S.I.; Naqvi, A.H.; Abbas, S.M.; Zaidi, A.; Hussain, N. Design and characterization of wideband printed antenna based on DGS for 28 GHz 5G applications. J. Electromagn. Eng. Sci. 2021, 21, 177–183. [Google Scholar] [CrossRef]
- Hussain, N.; Awan, W.A.; Ali, W.; Naqvi, S.I.; Zaidi, A.; Le, T.T. Compact wideband patch antenna and its MIMO configuration for 28 GHz applications. AEU-Int. J. Electron. Commun. 2021, 132, 153612. [Google Scholar] [CrossRef]
- Khalid, M.; Iffat Naqvi, S.; Hussain, N.; Rahman, M.; Fawad; Mirjavadi, S.S.; Khan, M.J.; Amin, Y. 4-Port MIMO Antenna with Defected Ground Structure for 5G Millimeter Wave Applications. Electronics 2020, 9, 71. [Google Scholar] [CrossRef]
- Desai, A.; Bui, C.D.; Patel, J.; Upadhyaya, T.; Byun, G.; Nguyen, T.K. Compact wideband four element optically transparent MIMO antenna for mm-wave 5G applications. IEEE Access 2020, 8, 194206–194217. [Google Scholar] [CrossRef]
- Sehrai, D.A.; Asif, M.; Shoaib, N.; Ibrar, M.; Jan, S.; Alibakhshikenari, M.; Lalbakhsh, A.; Limiti, E. Compact Quad-Element High-Isolation Wideband MIMO Antenna for mm-Wave Applications. Electronics 2021, 10, 1300. [Google Scholar] [CrossRef]
- Al Abbas, E.; Ikram, M.; Mobashsher, A.T.; Abbosh, A. MIMO antenna system for multi-band millimeter-wave 5G and wideband 4G mobile communications. IEEE Access 2019, 7, 181916–181923. [Google Scholar] [CrossRef]
- Taher, F.; Hamadi, H.A.; Alzaidi, M.S.; Alhumyani, H.; Elkamchouchi, D.H.; Elkamshoushy, Y.H.; Haweel, M.T.; Sree, M.F.A.; Fatah, S.Y.A. Design and Analysis of Circular Polarized Two-Port MIMO Antennas with Various Antenna Element Orientations. Micromachines 2023, 14, 380. [Google Scholar] [CrossRef]
- Awan, W.A.; Soruri, M.; Alibakhshikenari, M.; Limiti, E. On-demand frequency switchable antenna array operating at 24.8 and 28GHz for 5G high-gain sensors applications. Prog. Electromagn. Res. M 2022, 108, 163–173. [Google Scholar] [CrossRef]
- Hussain, M.; Mousa Ali, E.; Jarchavi, S.M.R.; Zaidi, A.; Najam, A.I.; Alotaibi, A.A.; Althobaiti, A.; Ghoneim, S.S.M. Design and Characterization of Compact Broadband Antenna and Its MIMO Configuration for 28 GHz 5G Applications. Electronics 2022, 11, 523. [Google Scholar] [CrossRef]
- Hussain, N.; Awan, W.A.; Naqvi, S.I.; Ghaffar, A.; Zaidi, A.; Naqvi, S.A.; Ghaffar, A.; Zaidi, A.; Naqvi, S.A.; Iftikhar, A.; et al. A compact flexible frequency reconfigurable antenna for heterogeneous applications. IEEE Access 2020, 8, 173298–173307. [Google Scholar] [CrossRef]
- Park, S.-H.; Jang, G.-H.; Seo, Y.-H.; Keum, H.-S.; Bang, S.-I. High-Speed Antenna Measurement System Using Multi-Probe Array Technique for 5G Applications. Electronics 2022, 11, 3435. [Google Scholar] [CrossRef]
- Bayarzaya, B.; Hussain, N.; Awan, W.A.; Sufian, M.A.; Abbas, A.; Choi, D.; Lee, J.; Kim, N. A Compact MIMO Antenna with Improved Isolation for ISM, Sub-6 GHz, and WLAN Application. Micromachines 2022, 13, 1355. [Google Scholar] [CrossRef]
- Abbas, A.; Hussain, N.; Sufian, M.A.; Awan, W.A.; Jung, J.; Lee, S.M.; Kim, N. Highly selective multiple-notched UWB-MIMO antenna with low correlation using an innovative parasitic decoupling structure. Eng. Sci. Technol. Int. J. 2023, 43, 101440. [Google Scholar] [CrossRef]
- Shah, S.M.A.; Zada, M.; Nasir, J.; Owais, O.; Iqbal, A.; Yoo, H. Miniaturized Four-Port MIMO Implantable Antenna for High-Data-Rate Wireless-Capsule-Endoscopy Applications. IEEE Trans. Antennas Propag. 2023, 71, 3123–3133. [Google Scholar] [CrossRef]
- Khalid, H.; Awan, W.A.; Hussain, M.; Fatima, A.; Ali, M.; Hussain, N.; Khan, S.; Alibakhshikenari, M.; Limiti, E. Design of an Integrated Sub-6 GHz and mmWave MIMO Antenna for 5G Handheld Devices. Appl. Sci. 2021, 11, 8331. [Google Scholar] [CrossRef]
















| Ref. | Antenna Size (mm × mm × mm) | Bandwidth (GHz) | Peak Gain (dBi) | ECC | Isolation (dB) | Efficiency (%) |
|---|---|---|---|---|---|---|
| [23] | 12 × 24 × 1.79 | 28–30.7 | - | 0.001 | - | Not given |
| [24] | 15 × 25 × 0.203 | 26.5–29.5 | 5.8 | 0.005 | 30 | >87 |
| [25] | 17.2 × 62 × 0.8 | 26.6–30.2 | 13.6 | 0.001 | 35 | Not given |
| [26] | 30 × 15 × 0.25 | 26–30 | 5.42 | 0.005 | 35 | >85 |
| [28] | 30 × 35 × 0.76 | 26.2–30 | 8.3 | 0.01 | 45 | >82 |
| [29] | 24 × 20 × 1.85 | 33–44 | - | 0.1 | 16 | >81 |
| [30] | 47.4 × 32.5 × 0.51 | 36.8–40 | 6.5 | 0.001 | 45 | >79 |
| [31] | 158 × 77.8 × 0.381 | 25–40 | 7.2 | 0.5 | 17 | >86 |
| [32] | 20.5 × 12 × 0.79 | 26.5–30 | 8.75 | - | 38 | >89 |
| This Work | 15 × 26 × 1.52 15 × 26 × 1.52 15 × 28.75 × 1.52 | 26–34.25 | 11.25 | <0.001 | <38 | >91 |
| Antenna Type | Minimum Isolation (dB) | Envelope Correlation Coefficient | Channel Capacity Loss Bits/Hz/s | Mean Effective Gain (dB) | Diversity Gain (dB) |
|---|---|---|---|---|---|
| Case 1 | −25 | 0.0015 | 0.025 | −6.3 | 9.90 |
| Case 2 | −30 | 0.0010 | 0.001 | −6.25 | 9.99 |
| Case 3 | −28 | 0.0015 | 0.035 | −6.38 | 9.8 |
Disclaimer/Publisher’s Note: The statements, opinions and data contained in all publications are solely those of the individual author(s) and contributor(s) and not of MDPI and/or the editor(s). MDPI and/or the editor(s) disclaim responsibility for any injury to people or property resulting from any ideas, methods, instructions or products referred to in the content. |
© 2023 by the authors. Licensee MDPI, Basel, Switzerland. This article is an open access article distributed under the terms and conditions of the Creative Commons Attribution (CC BY) license (https://creativecommons.org/licenses/by/4.0/).
Share and Cite
Islam, T.; Alsunaydih, F.N.; Alsaleem, F.; Alhassoon, K. Analyzing the Performance of Millimeter Wave MIMO Antenna under Different Orientation of Unit Element. Micromachines 2023, 14, 1975. https://doi.org/10.3390/mi14111975
Islam T, Alsunaydih FN, Alsaleem F, Alhassoon K. Analyzing the Performance of Millimeter Wave MIMO Antenna under Different Orientation of Unit Element. Micromachines. 2023; 14(11):1975. https://doi.org/10.3390/mi14111975
Chicago/Turabian StyleIslam, Tanvir, Fahad N. Alsunaydih, Fahd Alsaleem, and Khaled Alhassoon. 2023. "Analyzing the Performance of Millimeter Wave MIMO Antenna under Different Orientation of Unit Element" Micromachines 14, no. 11: 1975. https://doi.org/10.3390/mi14111975
APA StyleIslam, T., Alsunaydih, F. N., Alsaleem, F., & Alhassoon, K. (2023). Analyzing the Performance of Millimeter Wave MIMO Antenna under Different Orientation of Unit Element. Micromachines, 14(11), 1975. https://doi.org/10.3390/mi14111975

