A Novel Fast Servo Tool Device with Double Piezoelectric Driving
Abstract
1. Introduction
2. Design and Analysis of the FTS Device with DPD
2.1. Operational Principle of the FTS Device with DPD
2.2. Design and Analysis of the FTS Device with DPD
3. Servo Control of the DPD System
3.1. Algorithm Design for Compensating Nonlinearity of Piezoelectric Ceramics
3.2. Algorithm Design for Compensating Amplitude Attenuation and Phase Delay of Piezoelectric Ceramics
3.3. Algorithm Design for Restraining Synchronization Error of DPD System
4. Performance Test and Processing Experiment of DPD System
4.1. Stiffness Test of the Hinge
4.2. Cooperative Motion Experiment of DPD System
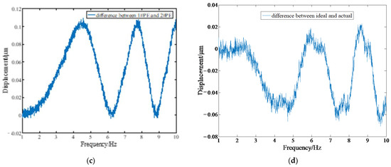
4.3. Linearity Measurement of the DPD System
4.4. Processing Experiment
5. Discussion
- (a)
- The designed composite double parallelogram flexure hinge can meet the design principle of the DPD system, and its static and dynamic behaviors are validated by simulation.
- (b)
- The proposed integrated control algorithm is able to solve the difficulties of the DPD system, such as nonlinear effect, amplitude attenuation, phase delay and cooperative motion.
- (c)
- The motion performance and processing experiment is carried out, and the results indicate that the DPD system can realize high-precision cooperative motion and high linearity, and has the ability to process high-precision complex microstructures.
Author Contributions
Funding
Data Availability Statement
Conflicts of Interest
References
- Gao, C.; Qi, X.B.; Wei, S.; Zhang, Z.; Li, B.; Shi, T.; Chu, Q. Production of thick-walled hollow glass microspheres for inertial confinement fusion targets by sol-gel technology. Sci. China Technol. Sci. 2011, 54, 2377–2385. [Google Scholar] [CrossRef]
- Ruiz, J.A.; Gonzalez-Arrabal, R.; Rivera, A.; Del Rio, E.; Garoz, D.; Hodgson, E.R.; Tabares, F.; Vila, R.; Perlado, M. Potential common radiation problems for components and diagnostics in future magnetic and inertial confinement fusion devices. Fusion Eng. Des. 2011, 86, 1762–1765. [Google Scholar]
- Gao, S.S.; Wu, X.J.; He, Z.B.; Xiaoshan, H.; Tao, W.; Fanghua, Z.; Zhanwen, Z. Research progress of fabrication techniques for laser inertial confinement fusion target. High Power Laser Part. Beams 2020, 32, 5–14. [Google Scholar]
- Floreano, D.; Pericet-Camara, R.; Viollet, S.; Ruffier, F.; Brückner, A.; Leitel, R.; Buss, W.; Menouni, M.; Expert, F.; Juston, R.; et al. Miniature curved artificial compound eyes. Proc. Natl. Acad. Sci. USA 2013, 110, 9267–9272. [Google Scholar] [CrossRef] [PubMed]
- Liu, J. Application of Free-Form Surface in Imaging Optical System. University of Chinese Academy of Science: Beijing, China, 2016. [Google Scholar]
- Woronko, A.; Jin, H.; Altintas, Y. Piezoelectric Tool Actuator for Precision Machining on Conventional Cnc Turning Centers. Precis. Eng. 2003, 27, 335–345. [Google Scholar] [CrossRef]
- Rakuff, S.; Cuttino, J.F. Design and Testing of a Long-Range, Precision Fast Tool Servo System for Diamond Turning. Precis. Eng. 2009, 33, 18–25. [Google Scholar] [CrossRef]
- Beach, R. Identification and Control of a Fast Tool Servo for Machining Non-Cylinder Holes; University of California: Los Angeles, CA, USA, 2014; pp. 35–42. [Google Scholar]
- Kim, M.; Lee, D.W.; Lee, S.; Kim, Y.; Jung, Y. Effects of Hinge Design of Horizontal-Swing Fast Tool Servo (Hfts) for Micro-Patterning on a Roll. Int. J. Adv. Manuf. Technol. 2017, 95, 233–241. [Google Scholar] [CrossRef]
- Zhu, Z.W.; Du, H.H.; Zhou, R.J.; Huang, P.; Zhu, W.L.; Guo, P. Design and Trajectory Tracking of a Nanometric Ultra-Fast Tool Servo. Ieee Trans. Ind. Electron. 2019, 67, 432–441. [Google Scholar] [CrossRef]
- Liu, Y. Study on the Technology of Long Stroke Fast Tool Servo System Driven by Piezoelectric Actuators; Harbin Institute of Technology: Harbin, China, 2019. [Google Scholar]
- Guan, C.L.; Yong, J.H.; Liu, J.F.; Dai, Y.; Fan, Z.; Li, F. Fabrication of optical microstructures on roller surface based on fast tool servo system. Micro Nano Lett. 2020, 15, 892–897. [Google Scholar] [CrossRef]
- Yong, J.H.; Liu, J.F.; Guan, C.L.; Dai, Y.; Li, F.; Fan, Z. Fabrication and evaluation of complicated microstructures on cylindrical surface. PLoS ONE 2020, 15, e0242918. [Google Scholar] [CrossRef] [PubMed]
- Xu, Q.H. Research on Fast Tool Servo System Drove by Double Piezoelectric Ceramic; National University of Defense Technology: Changsha, China, 2015. [Google Scholar]
- Zhou, C.X. Sensitivity Analysis of Geometric Error and Research of On-Machine Error Compensation for Three-Axis Ultra Precision Turning Machine Tool; Harbin Institute of Technology: Harbin, China, 2018. [Google Scholar]
- Kim, H.S.; Kim, E.J.; Song, B.S. Diamond turning of large off-axis aspheric Mirrors using a fast tool servo with on-machine measurement. J. Mater. Process. Technol. 2004, 146, 349–355. [Google Scholar] [CrossRef]
- Gao, W.; Tano, M.; Araki, T.; Kiyono, S. Precision fabrication of a large-area sinusoidal surface using a fast-tool-servo technique-improvement of local fabrication accuracy. Jsme Int. J. Ser. C Mech. Syst. Mach. Elem. Manuf. 2006, 49, 1203–1208. [Google Scholar] [CrossRef][Green Version]
- Luo, T.C. Research on Key Technology of Fast Tool Servo System Drove by Coaxial Line Double Piezoelectric Ceramic; National University of Defense Technology: Changsha, China, 2022. [Google Scholar]
- Liu, J.K. MATLAB Simulation of Advanced PID Control; Publishing House of Electronics Industry: Beijing, China, 2011. [Google Scholar]




























| Identifier | 1~5 Hz | 1~20 Hz | 1~200 Hz | |
|---|---|---|---|---|
| tracking accuracy | 1#PZT | 0.47% | 0.48% | 0.83% |
| 2#PZT | 0.77% | 077% | 0.96% |
| Frequency Range | 1~200 Hz | 1~100 Hz | 1~50 Hz | 1~10 Hz |
|---|---|---|---|---|
| maximum movement error of support frame/μm | 0.764 | 0.348 | 0.195 | 0.071 |
| Material | Spindle Speed | Feed Speed | Tool Radius |
|---|---|---|---|
| AL6061 | 500 r/min | 1 μm/min | 0.5 mm |
Disclaimer/Publisher’s Note: The statements, opinions and data contained in all publications are solely those of the individual author(s) and contributor(s) and not of MDPI and/or the editor(s). MDPI and/or the editor(s) disclaim responsibility for any injury to people or property resulting from any ideas, methods, instructions or products referred to in the content. |
© 2022 by the authors. Licensee MDPI, Basel, Switzerland. This article is an open access article distributed under the terms and conditions of the Creative Commons Attribution (CC BY) license (https://creativecommons.org/licenses/by/4.0/).
Share and Cite
Liu, J.; Luo, T.; Liu, K.; Lai, T.; Zhao, Y.; Wang, L. A Novel Fast Servo Tool Device with Double Piezoelectric Driving. Micromachines 2023, 14, 85. https://doi.org/10.3390/mi14010085
Liu J, Luo T, Liu K, Lai T, Zhao Y, Wang L. A Novel Fast Servo Tool Device with Double Piezoelectric Driving. Micromachines. 2023; 14(1):85. https://doi.org/10.3390/mi14010085
Chicago/Turabian StyleLiu, Junfeng, Tiancong Luo, Kexian Liu, Tao Lai, Yuqian Zhao, and Linfeng Wang. 2023. "A Novel Fast Servo Tool Device with Double Piezoelectric Driving" Micromachines 14, no. 1: 85. https://doi.org/10.3390/mi14010085
APA StyleLiu, J., Luo, T., Liu, K., Lai, T., Zhao, Y., & Wang, L. (2023). A Novel Fast Servo Tool Device with Double Piezoelectric Driving. Micromachines, 14(1), 85. https://doi.org/10.3390/mi14010085

