High-Efficiency Simplified Orange and White Organic Light-Emitting Devices Based on a Platinum(II) Complex
Abstract
1. Introduction
2. Experiment
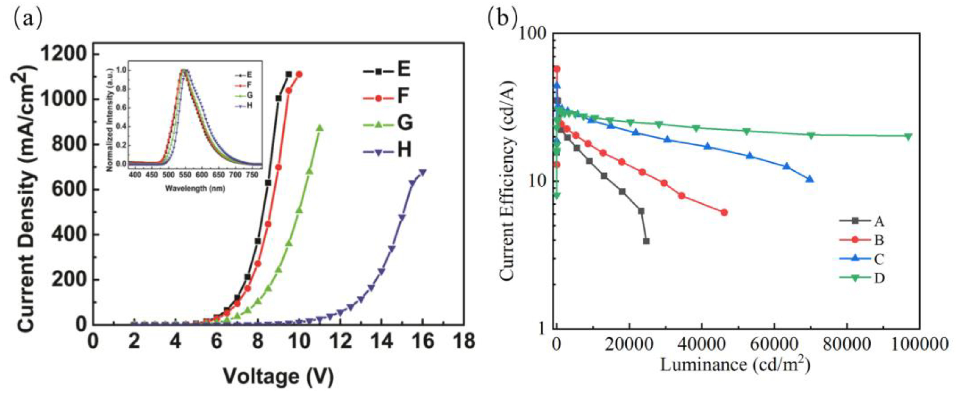
3. Results
4. Conclusions
Author Contributions
Funding
Data Availability Statement
Conflicts of Interest
References
- Li, A.; Sheng, R.; Chen, K.; Sun, M.; Yang, C.; Duan, Y.; Zhao, Y.; Chen, P.; Zhang, T. Highly efficient blue and white phosphorescent organic light-emitting diodes with low-efficiency roll-off utilizing thermally activated delayed fluorescent-based co-host architecture. J. Lumin. 2022, 244, 118686. [Google Scholar] [CrossRef]
- Chen, Y.; Sun, Q.; Dai, Y.; Yang, D.; Qiao, X.; Ma, D. High efficiency blue and color-stable hybrid warm white organic light-emitting diodes based on a thermally activated delayed fluorescent material as an assistant host. J. Mater. Chem. C 2022, 8, 13777. [Google Scholar] [CrossRef]
- Su, S.; Gonmori, E.; Sasabe, H.; Kido, J. Highly Efficient Organic Blue-and White-Light-Emitting Devices Having a Carrier- and Exciton-Confining Structure for Reduced Efficiency Roll-Off. Adv. Mater. 2008, 20, 4189. [Google Scholar] [CrossRef]
- Reineke, S.; Lindner, F.; Schwartz, G.; Seidler, N.; Walzer, K.; Lüssem, B.; Leo, K. White organic light-emitting diodes with fluorescent tube efficiency. Nature 2009, 459, 234–238. [Google Scholar] [CrossRef] [PubMed]
- Shao, J.; Chen, C.; Zhao, W.; Zhang, E.; Ma, W.; Sun, Y.; Chen, P.; Sheng, R. Recent Advances of Interface Exciplex in Organic Light-Emitting Diodes. Micromachines 2022, 13, 298. [Google Scholar] [CrossRef]
- Lee, J.; Kim, S.C.; Lee, J.Y. Spirobifluorene-based hole-blocking material with enhanced efficiency through hole and exciton confinement in blue fluorescent OLEDs. Dye. Pigment. 2023, 210, 110961. [Google Scholar] [CrossRef]
- Hong, S.; Chung, W.; Jang, S.; Yu, G.; Lee, J.; Lee, Y. Asymmetrically difunctionalized dibenzo[b,d]furan-based hole blocking materials for high-performance blue phosphorescent organic light-emitting diodes. Dye. Pigment. 2020, 181, 108534. [Google Scholar] [CrossRef]
- Sun, Y.; Giebink, N.; Kanno, H.; Ma, B.; Thompson, M.; Forrest, S. Management of singlet and triplet excitons for efficient white organic light-emitting devices. Nature 2006, 440, 908. [Google Scholar] [CrossRef]
- Wang, Z.; Helander, M.; Qiu, J.; Puzzo, D.; Greiner, M.; Liu, Z.; Lu, Z. Highly simplified phosphorescent organic light emitting diode with >20% external quantum efficiency at >10,000 cd/m2. Appl. Phys. Lett. 2011, 98, 073310. [Google Scholar] [CrossRef]
- Sasabe, H.; Nakanishi, H.; Watanabe, Y.; Yano, S.; Hirasawa, M.; Pu, Y.; Kido, J. Extremely Low Operating Voltage Green Phosphorescent Organic Light-Emitting Devices. Adv. Funct. Mater. 2013, 23, 5550. [Google Scholar] [CrossRef]
- Wong, W.; He, Z.; So, S.; Tong, K.; Lin, Z. A Multifunctional Platinum-Based Triplet Emitter for OLED Applications. Organometallics 2005, 24, 4079. [Google Scholar] [CrossRef]
- He, Z.; Wong, W.; Yu, X.; Kwok, H.; Lin, Z. Phosphorescent Platinum(II) Complexes Derived from Multifunctional Chromophores: Synthesis, Structures, Photophysics, and Electroluminescence. Inorg. Chem. 2006, 45, 10922. [Google Scholar] [CrossRef] [PubMed]
- Wang, Z.; Helander, M.; Hudson, Z.; Qiu, J.; Wang, S.; Lu, Z. Pt(II) complex based phosphorescent organic light emitting diodes with external quantum efficiencies above 20%. Appl. Phys. Lett. 2011, 98, 213301. [Google Scholar] [CrossRef]
- Cheng, G.; Chow, P.; Kui, S.; Kwok, C.; Che, C. High-Efficiency Polymer Light-Emitting Devices with Robust Phosphorescent Platinum(II) Emitters Containing Tetradentate Dianionic O^N^C^N Ligands. Adv. Mater. 2013, 25, 6765. [Google Scholar] [CrossRef] [PubMed]
- Hang, X.; Fleetham, T.; Turner, E.; Brooks, J.; Li, J. Highly Efficient Blue-Emitting Cyclometalated Platinum(II) Complexes by Judicious Molecular Design. Angew. Chem. Int. Ed. 2013, 52, 6885–6888. [Google Scholar] [CrossRef]
- Fukagawa, H.; Shimizu, T.; Hanashima, H.; Osada, Y.; Suzuki, M.; Fujikake, H. Highly Efficient and Stable Red Phosphorescent Organic Light-Emitting Diodes Using Platinum Complexes. Adv. Mater. 2012, 24, 5099. [Google Scholar] [CrossRef]
- Kui, S.; Chow, P.; Tong, G.; Lai, S.; Cheng, G.; Kwok, C.; Low, K.; Ko, M.; Che, C. Robust Phosphorescent Platinum(II) Complexes Containing Tetradentate O^N^C^N Ligands: Excimeric Excited State and Application in Organic White-Light-Emitting Diodes. Chem. Eur. J. 2013, 19, 69. [Google Scholar] [CrossRef]
- Kui, S.; Chow, P.; Cheng, G.; Kwok, C.; Kwong, C.; Low, K.; Che, C. Robust phosphorescent platinum(ii) complexes with tetradentate O^N^C^N ligands: High efficiency OLEDs with excellent efficiency stability. Chem. Commun. 2013, 49, 1497. [Google Scholar] [CrossRef]
- Wang, Y.; Liu, Y.; Li, X.; Qi, H.; Zhu, M.; Wang, L.; Lei, G.; Wei, Q.; Zhu, W.; Pen, J.; et al. Novel cyclometalated platinum (II) complex containing alkyl-trifluorene picolinic acid as emitter for single-layer white PLEDs. Org. Electron. 2010, 11, 1954. [Google Scholar] [CrossRef]
- Yang, X.; Froehlich, J.; Chae, H.; Harding, B.; Li, S.; Mochizuki, A.; Jabbour, G. Efficient Light-Emitting Devices Based on Platinum-Complexes-Anchored Polyhedral Oligomeric Silsesquioxane Materials. Chem. Mater. 2010, 22, 4776. [Google Scholar] [CrossRef]
- Bulovic, V.; Shoustikov, A.; Baldo, M.; Bose, E.; Kozlov, V.; Thompson, M.; Forrest, S. Bright, saturated, red-to-yellow organic light-emitting devices based on polarization-induced spectral shifts. Chem. Phys. Lett. 1998, 287, 455. [Google Scholar] [CrossRef]
- Sano, T.; Nishio, Y.; Hamada, Y.; Takahashi, H.; Usuki, T.; Shibata, K. Design of conjugated molecular materials for optoelectronics. J. Mater. Chem. 2000, 10, 157. [Google Scholar] [CrossRef]
- Yang, H.; Peng, X.; Cao, C.; Wu, L.; Chen, N.; Zhang, X.; Xie, W.; Tong, Q.; Wu, Z. A deep blue fluorescent emitter functioning as host material in highly efficient phosphorescent and hybrid white organic light-emitting devices. Org. Electron. 2020, 85, 105848. [Google Scholar] [CrossRef]
- Yao, J.; Ying, S.; Qiao, X.; Yang, D.; Chen, J.; Ahamad, T.; Alshehri, S.; Ma, D. High efficiency and low roll-off all fluorescence white organic light-emitting diodes by the formation of interface exciplex. Org. Electron. 2019, 67, 72. [Google Scholar] [CrossRef]
- Sheng, R.; Yang, L.; Li, A.; Chen, K.; Zhang, F.; Duan, Y.; Zhao, Y.; Chen, P. Highly efficient orange and white OLEDs based on ultrathin phosphorescent emitters with double reverse intersystem crossing system. J. Lumin. 2022, 246, 118852. [Google Scholar] [CrossRef]
- Wu, Z.; Yu, L.; Zhou, X.; Guo, Q.; Luo, J.; Qiao, X.; Yang, D.; Chen, J.; Yang, C.; Ma, D. Management of Singlet and Triplet Excitons: A Universal Approach to High-Efficiency All Fluorescent WOLEDs with Reduced Efficiency Roll-Off Using a Conventional Fluorescent Emitter. Adv. Opt. Mater. 2016, 4, 1067. [Google Scholar] [CrossRef]
- Yang, F.; Kou, Z.; Yang, L.; Tang, Y. Influence of the hole transport layer on spectral stability in the white phosphorescent organic light emitting diode with non-doped structure. Opt. Mater. 2018, 82, 130. [Google Scholar] [CrossRef]
- Zhang, T.; Shi, C.; Zhao, C.; Wu, Z.; Sun, N.; Chen, J.; Xie, Z.; Ma, D. High efficiency phosphorescent white organic light-emitting diodes with low efficiency roll-off achieved by strategic exciton management based on simple ultrathin emitting layer structures. J. Mater. Chem. C 2017, 5, 12833. [Google Scholar] [CrossRef]
- Chen, P.; Sheng, R.; Ko, M.; Duan, Y.; Cheng, G.; Che, C. Efficient white organic light-emitting diodes with double co-host emitting layers. J. Mater. Chem. C 2018, 6, 9890. [Google Scholar] [CrossRef]





| Devices | Turn-on Voltage (V) | Lmax (cd/m2) | CE(Ƞmax/Ƞ100/Ƞ1000/Ƞ10000) (cd/A) | PE(Ƞmax/Ƞ100/Ƞ1000/Ƞ10000) (lmW) |
|---|---|---|---|---|
| Device E | 3.51 | 24,690 | 35.3/35.1/23.6/13.7 | 27.7/27.1/17.3/5.8 |
| Device F | 3.41 | 46,150 | 57.6/54.7/24.6/17.1 | 45.2/42.4/15.9/8.2 |
| Device G | 3.45 | 69,690 | 44.3/36.7/31.2/25.7 | 34.8/27.2/18.7/11.5 |
| Device H | 4.95 | 96,870 | 30.6/26.0/30.1/26.9 | 11.9/11.7/10.9/7.4 |
Disclaimer/Publisher’s Note: The statements, opinions and data contained in all publications are solely those of the individual author(s) and contributor(s) and not of MDPI and/or the editor(s). MDPI and/or the editor(s) disclaim responsibility for any injury to people or property resulting from any ideas, methods, instructions or products referred to in the content. |
© 2022 by the authors. Licensee MDPI, Basel, Switzerland. This article is an open access article distributed under the terms and conditions of the Creative Commons Attribution (CC BY) license (https://creativecommons.org/licenses/by/4.0/).
Share and Cite
Zhao, Q.; Zhao, D.; Zhang, X. High-Efficiency Simplified Orange and White Organic Light-Emitting Devices Based on a Platinum(II) Complex. Micromachines 2023, 14, 65. https://doi.org/10.3390/mi14010065
Zhao Q, Zhao D, Zhang X. High-Efficiency Simplified Orange and White Organic Light-Emitting Devices Based on a Platinum(II) Complex. Micromachines. 2023; 14(1):65. https://doi.org/10.3390/mi14010065
Chicago/Turabian StyleZhao, Qing, Dongfang Zhao, and Xinchen Zhang. 2023. "High-Efficiency Simplified Orange and White Organic Light-Emitting Devices Based on a Platinum(II) Complex" Micromachines 14, no. 1: 65. https://doi.org/10.3390/mi14010065
APA StyleZhao, Q., Zhao, D., & Zhang, X. (2023). High-Efficiency Simplified Orange and White Organic Light-Emitting Devices Based on a Platinum(II) Complex. Micromachines, 14(1), 65. https://doi.org/10.3390/mi14010065
