Trends and Applications of Surface and Bulk Acoustic Wave Devices: A Review
Abstract
1. Introduction
2. Basic Principles of SAW and BAW Devices
2.1. Basic Structures
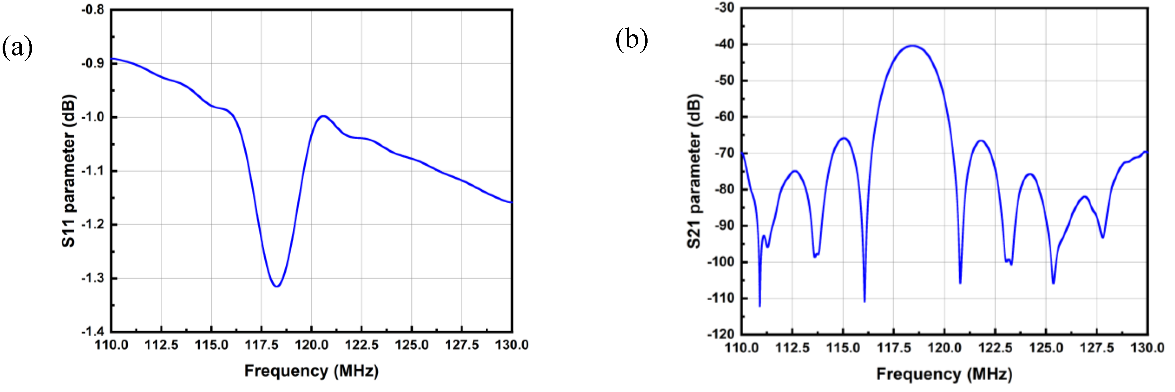
2.2. Typical Characterizations
3. Current Applications
3.1. RF Filters
3.2. Physical Sensors and Actuators
3.3. Biochemical Sensors
4. New Trend: Quantum Acoustics
4.1. Single-Electron Probing/Controlling
4.2. Coherent Coupling between Magnons and Phonons
5. Conclusions
Author Contributions
Funding
Data Availability Statement
Conflicts of Interest
References
- Weigel, R.; Morgan, D.P.; Owens, J.M.; Ballato, A.; Lakin, K.M.; Hashimoto, K.Y.; Ruppel, C.C. Microwave acoustic materials, devices, and applications. IEEE Trans. Microw. Theory Tech. 2002, 50, 738–749. [Google Scholar] [CrossRef]
- Tirado, J.A.V. Bulk Acoustic Wave Resonators and Their Application to Microwave Devices; Universitat Autònoma de Barcelona: Barcelona, Spain, 2010. [Google Scholar]
- Tummala, R.R. System on Package: Miniaturization of the Entire System; McGraw-Hill Education: New York, NY, USA, 2008. [Google Scholar]
- Morgan, D. Surface Acoustic Wave Filters: With Applications to Electronic Communications and Signal Processing; Academic Press: Cambridge, MA, USA, 2010. [Google Scholar]
- Liu, Y.; Cai, Y.; Zhang, Y.; Tovstopyat, A.; Liu, S.; Sun, C. Materials, design, and characteristics of bulk acoustic wave resonator: A review. Micromachines 2020, 11, 630. [Google Scholar] [CrossRef] [PubMed]
- Wells, J.C. Longman Pronunciation Dictionary (New Edition); Longamn: Harlow, UK, 2000. [Google Scholar]
- Curie, J.; Curie, P. Développement par compression de l’électricité polaire dans les cristaux hémièdres à faces inclinées. Bull. De Minéralogie 1880, 3, 90–93. [Google Scholar] [CrossRef]
- Curie, J.; Curie, P. Contractions and expansions produced by voltages in hemihedral crystals with inclined faces. Comptes Rendus 1881, 93, 1137–1140. [Google Scholar]
- Lakin, K.M. Thin film resonator technology. In Proceedings of the IEEE International Frequency Control Symposium and PDA Exhibition Jointly with the 17th European Frequency and Time Forum, 2003, Proceedings of the 2003, Tampa, FL, USA, 4–8 May 2003. [Google Scholar]
- Wright, P. A review of SAW resonator filter technology. In IEEE 1992 Ultrasonics Symposium Proceedings; IEEE: Tucson, AZ, USA, 1992. [Google Scholar]
- Makkonen, T.; Pensala, T.; Vartiainen, J.; Knuuttila, J.V.; Kaitila, J.; Salomaa, M.M. Estimating materials parameters in thin-film BAW resonators using measured dispersion curves. IEEE Trans. Ultrason. Ferroelectr. Freq. Control. 2004, 51, 42–51. [Google Scholar] [CrossRef]
- Viktorov, I.A. Rayleigh and Lamb Waves: Physical Theory and Applications; Plenum Press: New York, NY, USA, 1967. [Google Scholar]
- Love, A.E.H. Some Problems of Geodynamics: Being an Essay to which the Adams Prize in the University of Cambridge was Adjudged in 1911; University Press: Cambridge, UK, 1911; Volume 911. [Google Scholar]
- White, R.M.; Voltmer, F.W. Direct piezoelectric coupling to surface elastic waves. Appl. Phys. Lett. 1965, 7, 314–316. [Google Scholar] [CrossRef]
- Newell, W. Face-mounted piezoelectric resonators. Proc. IEEE 1965, 53, 575–581. [Google Scholar] [CrossRef]
- Sliker, T.; Roberts, D. A thin-film CdS-quartz composite resonator. J. Appl. Phys. 1967, 38, 2350–2358. [Google Scholar] [CrossRef]
- Grudkowski, T.W.; Black, J.F.; Reeder, T.M.; Cullen, D.E.; Wagner, R.A. Fundamental-mode VHF/UHF minature acoustic resonators and filters on silicon. Appl. Phys. Lett. 1980, 37, 993–995. [Google Scholar] [CrossRef]
- Lakin, K.; Wang, J. Acoustic bulk wave composite resonators. Appl. Phys. Lett. 1981, 38, 125–127. [Google Scholar] [CrossRef]
- Ruby, R. Micromachined cellular filters. In 1996 IEEE MTT-S International Microwave Symposium Digest; IEEE: San Francisco, CA, USA, 1996. [Google Scholar]
- Ruby, R.; Bradley, P.; Larson, J.D.; Oshmyansky, Y.J.E.L. PCS 1900 MHz duplexer using thin film bulk acoustic resonators (FBARs). Electron. Lett. 1999, 35, 794–795. [Google Scholar] [CrossRef]
- Aigner, R. MEMS in RF filter applications: Thin-film bulk acoustic wave technology. Sens. Update 2003, 12, 175–210. [Google Scholar] [CrossRef]
- Wang, L.-P.; Ginsburg, E.; Diamant, D.; Ma, Q.; Huang, Z.; Suo, Z. Method of fabricating multiple-frequency film bulk acoustic resonators in a single chip. In 2006 IEEE International Frequency Control Symposium and Exposition; IEEE: Miami, FL, USA, 2006. [Google Scholar]
- Fattinger, G.G. BAW resonator design considerations-an overview. In 2008 IEEE International Frequency Control Symposium; IEEE: Honolulu, HI, USA, 2008. [Google Scholar]
- Loebl, H.P.; Klee, M.; Metzmacher, C.; Brand, W.; Milsom, R.; Lok, P. Piezoelectric thin AlN films for bulk acoustic wave (BAW) resonators. Mater. Chem. Phys. 2003, 79, 146. [Google Scholar] [CrossRef]
- Kim, E.K.; Lee, T.Y.; Jeong, Y.H.; Park, Y.; Song, J.T. Air gap type thin film bulk acoustic resonator fabrication using simplified process. Thin Solid Film. 2006, 496, 653–657. [Google Scholar] [CrossRef]
- Zhang, Y.; Chen, D. Multilayer Integrated Film Bulk Acoustic Resonators; Springer Science & Business Media: Shanghai, China, 2012. [Google Scholar]
- Villa-López, F.H.; Rughoobur, G.; Thomas, S.; Flewitt, A.J.; Cole, M.; Gardner, J.W. Design and modelling of solidly mounted resonators for low-cost particle sensing. Meas. Sci. Technol. 2015, 27, 025101. [Google Scholar] [CrossRef]
- Hashimoto, K.-Y. RF Bulk Acoustic Wave Filters for Communications; Artech House: New York, NY, USA, 2009. [Google Scholar]
- Rube, M.; Tamarin, O.; Sebeloue, M.; Sadli, I.; Hallil, H.; Linguet, L.; Rebiere, D.; Dejous, C. Unconventional protocol for SAW sensor: Multi-physic response enrichment in liquid medium. IEEE Sens. J. 2021, 22, 11345–11354. [Google Scholar] [CrossRef]
- Hashimoto, K.-y.; Hashimoto, K.-Y. Surface Acoustic Wave Devices in Telecommunications; Springer: Berlin/Heidelberg, Germany, 2000; Volume 116. [Google Scholar]
- Koskela, J.; Knuuttila, J.V.; Makkonen, T.; Plessky, V.P.; Salomaa, M.M. Acoustic loss mechanisms in leaky SAW resonators on lithium tantalate. IEEE Trans. Ultrason. Ferroelectr. Freq. Control. 2001, 48, 1517–1526. [Google Scholar] [CrossRef]
- Giovannini, M.; Yazici, S.; Kuo, N.-K.; Piazza, G. Spurious mode suppression via apodization for 1 GHz AlN contour-mode resonators. In 2012 IEEE International Frequency Control Symposium Proceedings; IEEE: Baltimore, MD, USA, 2012. [Google Scholar]
- Bausk, E.V. Optimization of broadband withdrawal weighted interdigital transducers for high selective SAW filters. IEEE Trans. Ultrason. Ferroelectr. Freq. Control. 1999, 46, 1276–1282. [Google Scholar] [CrossRef]
- Marshall, F.G.; Newton, C.; Paige, E. Theory and design of the surface acoustic wave multistrip coupler. IEEE Trans. Microw. Theory Tech. 1973, 21, 206–215. [Google Scholar] [CrossRef]
- Yokoyama, T.; Nishihara, T.; Taniguchi, S.; Iwaki, M.; Satoh, Y.; Ueda, M.; Miyashita, T. New electrode material for low-loss and high-Q FBAR filters. In IEEE Ultrasonics Symposium, 2004; IEEE: Montreal, QC, Canada, 2004. [Google Scholar]
- Pang, W.; Zhang, H.; Whangbo, S.; Kim, E.S. High Q film bulk acoustic resonator from 2.4 to 5.1 GHz. In 17th IEEE International Conference on Micro Electro Mechanical Systems. Maastricht MEMS 2004 Technical Digest; IEEE: Maastricht, The Netherlands, 2004. [Google Scholar]
- Caspers, F. RF engineering basic concepts: S-parameters. arXiv 2012, arXiv:1201,2346. [Google Scholar]
- Fattinger, G.; Marksteiner, S.; Kaitila, J.; Aigner, R. Optimization of acoustic dispersion for high performance thin film BAW resonators. In IEEE Ultrasonics Symposium, 2005; IEEE: Rotterdam, The Netherlands, 2005. [Google Scholar]
- Ruby, R.; Larson, J.; Feng, C.; Fazzio, S. The effect of perimeter geometry on FBAR resonator electrical performance. In IEEE MTT-S International Microwave Symposium Digest, 2005; IEEE: Long Beach, CA, USA, 2005. [Google Scholar]
- Lee, J.-H.; Yao, C.-M.; Tzeng, K.-Y.; Cheng, C.-W.; Shih, Y.-C. Optimization of frame-like film bulk acoustic resonators for suppression of spurious lateral modes using finite element method. In IEEE Ultrasonics Symposium, 2004; IEEE: Montreal, QC, Canada, 2004. [Google Scholar]
- World, R.W. Difference between SAW Filters Types | IIDT, DMS, Ladder Type. 2012. Available online: https://www.rfwireless-world.com/Terminology/Difference-between-SAW-filter-types-IIDT-DMS-and-Ladder.html (accessed on 8 December 2022).
- Morita, T.; Watanabe, Y.; Tanaka, M.; Nakazawa, Y. Wideband low loss double mode SAW filters. In IEEE 1992 Ultrasonics Symposium Proceedings; IEEE: Tucson, AZ, USA, 1992. [Google Scholar]
- PersistenceMarketResearch. Surface Acoustic Wave Filter Market 2020. Available online: https://www.persistencemarketresearch.com/market-research/surface-acoustic-wave-filter-market.asp (accessed on 6 December 2022).
- Cédric, M.; Mohammed, T. Cellular RF Front-End Technologies for Mobile Handset 2021. 2021. Available online: https://www.i-micronews.com/products/cellular-rf-front-end-technologies-for-mobile-handset-2021/ (accessed on 6 December 2022).
- Chatras, M.; Bila, S.; Giraud, S.; Catherinot, L.; Fan, J.; Cros, D.; Aubourg, M.; Flament, A.; Frappé, A.; Stefanelli, B. Modeling and Design of BAW Resonators and Filters for Integration in a UMTS Transmitter. In Modeling and Measurement Methods for Acoustic Waves and for Acoustic Microdevices; InTech Rijeka: Rijeka, Croatia, 2013; pp. 323–354. [Google Scholar]
- Aigner, R. SAW and BAW technologies for RF filter applications: A review of the relative strengths and weaknesses. In 2008 IEEE Ultrasonics Symposium; IEEE: Beijing, China, 2008. [Google Scholar]
- Li, Y.-N.R.; Gao, B.; Zhang, X.; Huang, K. Beam management in millimeter-wave communications for 5G and beyond. IEEE Access 2020, 8, 13282–13293. [Google Scholar] [CrossRef]
- Researchandmarkets. Bulk Acoustic Wave (BAW) Filters-Global Market Trajectory & Analytics. 2021. Available online: https://www.researchandmarkets.com/reports/5301638/bulk-acoustic-wave-baw-filters-global-market (accessed on 2 December 2022).
- Research, M.M. Global Bulk-Acoustic-Wave (BAW) Filters Market–Industry Analysis and Forecast (2019–2027)–By Type, Application, and Region. 2021. Available online: https://www.maximizemarketresearch.com/market-report/global-bulk-acoustic-wave-baw-filters-market/69367/ (accessed on 6 December 2022).
- Ramadan, B.; Piyakis, K.; Kos, J. High accuracy quartz crystal thin film monitor. Rev. Sci. Instrum. 1979, 50, 867–871. [Google Scholar] [CrossRef] [PubMed]
- Yang, Y.; Mengue, P.; Mishra, H.; Floer, C.; Hage-Ali, S.; Petit Watelot, S.; Lacour, D.; Hehn, M.; Han, T.; Elmazria, O. Wireless Multifunctional Surface Acoustic Wave Sensor for Magnetic Field and Temperature Monitoring. Adv. Mater. Technol. 2022, 7, 2100860. [Google Scholar] [CrossRef]
- Hallil, H.; Dejous, C.; Hage-Ali, S.; Elmazria, O.; Rossignol, J.; Stuerga, D.; Talbi, A.; Mazzamurro, A.; Joubert, P.-Y.; Lefeuvre, E. Passive resonant sensors: Trends and future prospects. IEEE Sens. J. 2021, 21, 12618–12632. [Google Scholar] [CrossRef]
- Wang, W.; Huang, Y.; Liu, X.; Liang, Y. Surface acoustic wave acceleration sensor with high sensitivity incorporating ST-X quartz cantilever beam. Smart Mater. Struct. 2014, 24, 015015. [Google Scholar] [CrossRef]
- Pohl, A.; Ostermayer, G.; Reindl, L.; Seifert, F. Monitoring the tire pressure at cars using passive SAW sensors. In 1997 IEEE Ultrasonics Symposium Proceedings. An International Symposium (Cat. No. 97CH36118); IEEE: Toronto, ON, Canada, 1997. [Google Scholar]
- Oh, H.; Wang, W.; Yang, S.; Lee, K. Development of SAW based gyroscope with high shock and thermal stability. Sens. Actuators A Phys. 2011, 165, 8–15. [Google Scholar] [CrossRef]
- Hribšek, M.F.; Tošić, D.V.; Radosavljević, M.R. Surface acoustic wave sensors in mechanical engineering. FME Trans. 2010, 38, 11–18. [Google Scholar]
- Zhang, S.-y.; Cheng, L.-p. Surface acoustic wave motors and actuators: Mechanism, structure, characteristic and application. In Acoustic Waves; InTech: London, UK, 2010; pp. 207–232. [Google Scholar]
- Meyer, J.M.; Schell, V.; Su, J.; Fichtner, S.; Yarar, E.; Niekiel, F.; Giese, T.; Kittmann, A.; Thormählen, L.; Lebedev, V. Thin-Film-Based SAW Magnetic Field Sensors. Sensors 2021, 21, 8166. [Google Scholar] [CrossRef]
- Durdaut, P.; Müller, C.; Kittmann, A.; Schell, V.; Bahr, A.; Quandt, E.; Knöchel, R.; Höft, M.; McCord, J. Phase Noise of SAW Delay Line Magnetic Field Sensors. Sensors 2021, 21, 5631. [Google Scholar] [CrossRef]
- Schmalz, J.; Kittmann, A.; Durdaut, P.; Spetzler, B.; Faupel, F.; Höft, M.; Quandt, E.; Gerken, M. Multi-mode love-wave SAW magnetic-field sensors. Sensors 2020, 20, 3421. [Google Scholar] [CrossRef]
- Ren, W.; Li, J.; Liu, G.; Chen, J.; Chen, S.; Gu, Z.; Li, J.; Li, J.; Gao, Y. Design and Optimization of a BAW Magnetic Sensor Based on Magnetoelectric Coupling. Micromachines 2022, 13, 206. [Google Scholar] [CrossRef] [PubMed]
- Chen, S.; Ren, W.-C.; Li, J.; Peng, C.-r.; Gao, Y. Modeling of magnetic sensor based on BAW magnetoelectric coupling micro-heterostructure. In 2021 IEEE 16th International Conference on Nano/Micro Engineered and Molecular Systems (NEMS); IEEE: Xiamen, China, 2021. [Google Scholar]
- Gao, X.; Cheng, L.; Xue, X.; Zhai, S.; Liang, Y.; Wang, W.; Liu, M.; Zhu, J.; Li, Z. Development of Wireless and Passive SAW Temperature Sensor with Very High Accuracy. Appl. Sci. 2021, 11, 7422. [Google Scholar] [CrossRef]
- Nicolay, P.; Chambon, H.; Bruckner, G.; Gruber, C.; Ballandras, S.; Courjon, E.; Stadler, M. A LN/Si-based SAW pressure sensor. Sensors 2018, 18, 3482. [Google Scholar] [CrossRef] [PubMed]
- Müller, A.; Konstantinidis, G.; Buiculescu, V.; Dinescu, A.; Stavrinidis, A.; Stefanescu, A.; Stavrinidis, G.; Giangu, I.; Cismaru, A.; Modoveanu, A. GaN/Si based single SAW resonator temperature sensor operating in the GHz frequency range. Sens. Actuators A Phys. 2014, 209, 115–123. [Google Scholar] [CrossRef]
- Rodríguez-Madrid, J.; Iriarte, G.; Williams, O.A.; Calle, F. High precision pressure sensors based on SAW devices in the GHz range. Sens. Actuators A Phys. 2013, 189, 364–369. [Google Scholar] [CrossRef]
- Yu, F.; Zhang, S.; Zhao, X.; Yuan, D.; Qin, L.; Wang, Q.-m.; Shrout, T.R. Investigation of Ca3TaGa3Si2O14 piezoelectric crystals for high temperature sensors. J. Appl. Phys. 2011, 109, 114103. [Google Scholar] [CrossRef]
- Chiu, K.-H.; Chen, H.-R.; Huang, S.R.-S. High-performance film bulk acoustic wave pressure and temperature sensors. Jpn. J. Appl. Phys. 2007, 46, 1392. [Google Scholar] [CrossRef]
- Mansfeld, G.; Alekseev, S.; Kotelyansky, I.; Kirillov, A.; Veretin, V. BAW microwave temperature sensor. In Sensors, 2004 IEEE; IEEE: Vienna, Austria, 2004. [Google Scholar]
- Oh, H.; Lee, K.J.; Lee, K.; Yang, S.S. Gyroscopes based on surface acoustic waves. Micro Nano Syst. Lett. 2015, 3, 1–10. [Google Scholar] [CrossRef]
- Kurosawa, M.; Fukuda, Y.; Takasaki, M.; Higuchi, T. A surface-acoustic-wave gyro sensor. Sens. Actuators A Phys. 1998, 66, 33–39. [Google Scholar] [CrossRef]
- Varadan, V.; Suh, W.; Xavier, P.; Jose, K.; Varadan, V. Design and development of a MEMS-IDT gyroscope. Smart Mater. Struct. 2000, 9, 898. [Google Scholar] [CrossRef]
- Lee, S.W.; Rhim, J.W.; Park, S.W.; Yang, S.S. A micro rate gyroscope based on the SAW gyroscopic effect. J. Micromechanics Microengineering 2007, 17, 2272. [Google Scholar] [CrossRef]
- Oh, H.; Yang, S.; Lee, K. Development of surface acoustic wave-based microgyroscope utilizing progressive wave. Jpn. J. Appl. Phys. 2010, 49, 06GN16. [Google Scholar] [CrossRef]
- Oh, H.; Lee, K.; Yang, S.S.; Wang, W. Enhanced sensitivity of a surface acoustic wave gyroscope using a progressive wave. J. Micromechanics Microengineering 2011, 21, 075015. [Google Scholar] [CrossRef]
- Kurosawa, M.; Takahashi, M.; Higuchi, T. Friction drive surface acoustic wave motor. Ultrasonics 1996, 34, 243–246. [Google Scholar] [CrossRef][Green Version]
- Kurosawa, M.K.; Itoh, H.; Asai, K. Elastic friction drive of surface acoustic wave motor. Ultrasonics 2003, 41, 271–275. [Google Scholar] [CrossRef]
- Destgeer, G.; Sung, H.J. Recent advances in microfluidic actuation and micro-object manipulation via surface acoustic waves. Lab A Chip 2015, 15, 2722–2738. [Google Scholar] [CrossRef]
- Mazalan, M.B.; Noor, A.M.; Wahab, Y.; Yahud, S.; Zaman, W.S.W.K. Current Development in Interdigital Transducer (IDT) Surface Acoustic Wave Devices for Live Cell In Vitro Studies: A Review. Micromachines 2021, 13, 30. [Google Scholar] [CrossRef]
- Pohl, A. A review of wireless SAW sensors. IEEE Trans. Ultrason. Ferroelectr. Freq. Control. 2000, 47, 317–332. [Google Scholar] [CrossRef]
- Panneerselvam, G.; Thirumal, V.; Pandya, H.M. Review of surface acoustic wave sensors for the detection and identification of toxic environmental gases/vapours. Arch. Acoust. 2018, 43, 357–367. [Google Scholar]
- Zida, S.I.; Lin, Y.D.; Khung, Y.L. Current Trends on Surface Acoustic Wave Biosensors. Adv. Mater. Technol. 2021, 6, 2001018. [Google Scholar] [CrossRef]
- Dejous, C.; Hallil, H.; Raimbault, V.; Lachaud, J.-L.; Plano, B.; Delépée, R.; Favetta, P.; Agrofoglio, L.; Rebière, D. Love acoustic wave-based devices and molecularly-imprinted polymers as versatile sensors for electronic nose or tongue for cancer monitoring. Sensors 2016, 16, 915. [Google Scholar] [CrossRef] [PubMed]
- Wohltjen, H.; Dessy, R. Surface acoustic wave probe for chemical analysis. I. Introduction and instrument description. Anal. Chem. 1979, 51, 1458–1464. [Google Scholar] [CrossRef]
- Wohltjen, H.; Dessy, R. Surface acoustic wave probes for chemical analysis. II. Gas chromatography detector. Anal. Chem. 1979, 51, 1465–1470. [Google Scholar] [CrossRef]
- Sil, D.; Hines, J.; Udeoyo, U.; Borguet, E. Palladium nanoparticle-based surface acoustic wave hydrogen sensor. ACS Appl. Mater. Interfaces 2015, 7, 5709–5714. [Google Scholar] [CrossRef] [PubMed]
- Luo, W.; Fu, Q.; Zhou, D.; Deng, J.; Liu, H.; Yan, G. A surface acoustic wave H2S gas sensor employing nanocrystalline SnO2 thin film. Sens. Actuators B Chem. 2013, 176, 746–752. [Google Scholar] [CrossRef]
- Asad, M.; Sheikhi, M.H. Surface acoustic wave based H2S gas sensors incorporating sensitive layers of single wall carbon nanotubes decorated with Cu nanoparticles. Sens. Actuators B Chem. 2014, 198, 134–141. [Google Scholar] [CrossRef]
- Lim, C.; Wang, W.; Yang, S.; Lee, K. Development of SAW-based multi-gas sensor for simultaneous detection of CO2 and NO2. Sens. Actuators B Chem. 2011, 154, 9–16. [Google Scholar] [CrossRef]
- Thomas, S.; Cole, M.; De Luca, A.; Torrisi, F.; Ferrari, A.; Udrea, F.; Gardner, J.W. Graphene-coated Rayleigh SAW resonators for NO2 detection. Procedia Eng. 2014, 87, 999–1002. [Google Scholar] [CrossRef]
- Wang, W.; Hu, H.; Liu, X.; He, S.; Pan, Y.; Zhang, C.; Dong, C. Development of a room temperature SAW methane gas sensor incorporating a supramolecular cryptophane a coating. Sensors 2016, 16, 73. [Google Scholar] [CrossRef] [PubMed]
- Lee, Y.; Kim, H.; Roh, Y.; Cho, H.; Baik, S. Development of a SAW gas sensor for monitoring SO2 gas. Sens. Actuators A Phys. 1998, 64, 173–178. [Google Scholar] [CrossRef]
- Tang, Y.-L.; Li, Z.-J.; Ma, J.-Y.; Guo, Y.-J.; Fu, Y.-Q.; Zu, X.-T. Ammonia gas sensors based on ZnO/SiO2 bi-layer nanofilms on ST-cut quartz surface acoustic wave devices. Sens. Actuators B Chem. 2014, 201, 114–121. [Google Scholar] [CrossRef]
- Westafer, R.S.; Levitin, G.; Hess, D.W.; Bergin, M.H.; Hunt, W.D. Detection of ppb ozone using a dispersive surface acoustic wave reflective delay line with integrated reference signal. Sens. Actuators B Chem. 2014, 192, 406–413. [Google Scholar] [CrossRef]
- Zheng, P.; Chin, T.-l.; Greve, D.; Oppenheim, I.; Malone, V.; Cao, L. High-temperature langasite SAW oxygen sensor. IEEE Trans. Ultrason. Ferroelectr. Freq. Control. 2011, 58, 1538–1540. [Google Scholar] [CrossRef] [PubMed]
- Sadek, A.; Wlodarski, W.; Shin, K.; Kaner, R.B.; Kalantar-zadeh, K. A layered surface acoustic wave gas sensor based on a polyaniline/In2O3 nanofibre composite. Nanotechnology 2006, 17, 4488. [Google Scholar] [CrossRef]
- Reichert, J.; Coerdt, W.; Ache, H. Development of a surface acoustic wave sensor array for the detection of methanol in fuel vapours. Sens. Actuators B Chem. 1993, 13, 293–296. [Google Scholar] [CrossRef]
- Tang, K.-T.; Li, C.-H.; Chiu, S.-W. An electronic-nose sensor node based on a polymer-coated surface acoustic wave array for wireless sensor network applications. Sensors 2011, 11, 4609–4621. [Google Scholar] [CrossRef] [PubMed]
- Wang, Y.; Du, X.; Long, Y.; Tang, X.; Chen, Z.; Jiang, Y. Real-time detection of styrene using SAW sensors based on hexafluoroisopropanol group functionalized hydrogen-bond acidic polymers. Sens. Actuators B Chem. 2015, 206, 252–257. [Google Scholar] [CrossRef]
- Houser, E.J.; Mlsna, T.E.; Nguyen, V.K.; Chung, R.; Mowery, R.L.; McGill, R.A. Rational materials design of sorbent coatings for explosives: Applications with chemical sensors. Talanta 2001, 54, 469–485. [Google Scholar] [CrossRef]
- Kannan, G.; Nimal, A.; Mittal, U.; Yadava, R.; Kapoor, J. Adsorption studies of carbowax coated surface acoustic wave (SAW) sensor for 2, 4-dinitro toluene (DNT) vapour detection. Sens. Actuators B Chem. 2004, 101, 328–334. [Google Scholar] [CrossRef]
- Singh, G.; Kim, S.; Lee, K. Development of a highly sensitive and portable particulate matter SAW sensor and interface electronics. Sens. Actuators A Phys. 2022, 343, 113641. [Google Scholar] [CrossRef]
- Wang, W.; Lee, K.; Kim, T.; Park, I.; Yang, S. A novel wireless, passive CO2 sensor incorporating a surface acoustic wave reflective delay line. Smart Mater. Struct. 2007, 16, 1382. [Google Scholar] [CrossRef]
- Xu, F.-Q.; Wang, W.; Xue, X.-F.; Hu, H.-L.; Liu, X.-L.; Pan, Y. Development of a wireless and passive SAW-based chemical sensor for organophosphorous compound detection. Sensors 2015, 15, 30187–30198. [Google Scholar] [CrossRef] [PubMed]
- Länge, K.; Rapp, B.E.; Rapp, M. Surface acoustic wave biosensors: A review. Anal. Bioanal. Chem. 2008, 391, 1509–1519. [Google Scholar] [CrossRef] [PubMed]
- Hur, Y.; Han, J.; Seon, J.; Pak, Y.E.; Roh, Y. Development of an SH-SAW sensor for the detection of DNA hybridization. Sens. Actuators A Phys. 2005, 120, 462–467. [Google Scholar] [CrossRef]
- Kim, S.-G.; Lee, H.-J.; Lee, J.-H.; Jung, H.-I.; Yook, J.-G. A highly sensitive and label free biosensing platform for wireless sensor node system. Biosens. Bioelectron. 2013, 50, 362–367. [Google Scholar] [CrossRef] [PubMed]
- Zhang, Y.; Yang, F.; Sun, Z.; Li, Y.-T.; Zhang, G.-J. A surface acoustic wave biosensor synergizing DNA-mediated in situ silver nanoparticle growth for a highly specific and signal-amplified nucleic acid assay. Analyst 2017, 142, 3468–3476. [Google Scholar] [CrossRef] [PubMed]
- Cai, H.-L.; Yang, Y.; Chen, X.; Mohammad, M.A.; Ye, T.-X.; Guo, C.-R.; Yi, L.-T.; Zhou, C.-J.; Liu, J.; Ren, T.-L. A third-order mode high frequency biosensor with atomic resolution. Biosens. Bioelectron. 2015, 71, 261–268. [Google Scholar] [CrossRef]
- Agostini, M.; Greco, G.; Cecchini, M. A Rayleigh surface acoustic wave (R-SAW) resonator biosensor based on positive and negative reflectors with sub-nanomolar limit of detection. Sens. Actuators B Chem. 2018, 254, 1–7. [Google Scholar] [CrossRef]
- Choi, Y.-S.; Lee, J.; Lee, Y.; Kwak, J.; Suk Lee, S. Increase in detection sensitivity of surface acoustic wave biosensor using triple transit echo wave. Appl. Phys. Lett. 2018, 113, 083702. [Google Scholar] [CrossRef]
- Jandas, P.; Luo, J.; Quan, A.; Qiu, C.; Cao, W.; Fu, C.; Fu, Y.Q. Highly selective and label-free Love-mode surface acoustic wave biosensor for carcinoembryonic antigen detection using a self-assembled monolayer bioreceptor. Appl. Surf. Sci. 2020, 518, 146061. [Google Scholar] [CrossRef]
- Jandas, P.; Luo, J.; Prabakaran, K.; Chen, F.; Fu, Y.Q. Highly stable, love-mode surface acoustic wave biosensor using Au nanoparticle-MoS2-rGO nano-cluster doped polyimide nanocomposite for the selective detection of carcinoembryonic antigen. Mater. Chem. Phys. 2020, 246, 122800. [Google Scholar] [CrossRef]
- Brugger, M.S.; Grundeen, S.; Doyle, A.; Theogarajan, L.; Wixforth, A.; Westerhausen, C. Orchestrating cells on a chip: Employing surface acoustic waves towards the formation of neural networks. Phys. Rev. E 2018, 98, 012411. [Google Scholar] [CrossRef] [PubMed]
- Dejous, C.; Hallil, H.; Raimbault, V.; Rukkumani, R.; Yakhmi, J.V. Using microsensors to promote the development of innovative therapeutic nanostructures. In Nanostructures for Novel Therapy; Elsevier: Amsterdam, The Netherlands, 2017; pp. 539–566. [Google Scholar]
- Peng, Y.-C.; Cheng, C.-H.; Yatsuda, H.; Liu, S.-H.; Liu, S.-J.; Kogai, T.; Kuo, C.-Y.; Wang, R.Y. A novel rapid test to detect Anti-SARS-CoV-2 N protein IgG based on shear horizontal surface acoustic wave (SH-SAW). Diagnostics 2021, 11, 1838. [Google Scholar] [CrossRef] [PubMed]
- Kumar, M.; Bhadu, D. Design performance and frequency response analysis of SAW-based sensor for dichloromethane gas sensing amidst the COVID-19. J. Vib. Eng. Technol. 2021, 9, 725–732. [Google Scholar] [CrossRef]
- Edvardsson, M. What Is QCM-D? 2020. Available online: https://www.biolinscientific.com/blog/what-is-qcmd (accessed on 8 December 2022).
- Zhang, Y.; Luo, J.; Flewitt, A.J.; Cai, Z.; Zhao, X. Film bulk acoustic resonators (FBARs) as biosensors: A review. Biosens. Bioelectron. 2018, 116, 1–15. [Google Scholar] [CrossRef] [PubMed]
- Chen, Y.; Reyes, P.I.; Duan, Z.; Saraf, G.; Wittstruck, R.; Lu, Y.; Taratula, O.; Galoppini, E. Multifunctional ZnO-based thin-film bulk acoustic resonator for biosensors. J. Electron. Mater. 2009, 38, 1605–1611. [Google Scholar] [CrossRef]
- Mujahid, A.; Afzal, A.; Dickert, F.L. An overview of high frequency acoustic sensors—QCMs, SAWs and FBARs—Chemical and biochemical applications. Sensors 2019, 19, 4395. [Google Scholar] [CrossRef]
- Lin, A.; Yu, H.; Waters, M.S.; Kim, E.S.; Goodman, S.D. Explosive trace detection with FBAR-based sensor. In 2008 IEEE 21st International Conference on Micro Electro Mechanical Systems; IEEE: Tucson, AZ, USA, 2008. [Google Scholar]
- Benetti, M.; Cannatà, D.; Di Pietrantonio, F.; Foglietti, V.; Verona, E. Microbalance chemical sensor based on thin-film bulk acoustic wave resonators. Appl. Phys. Lett. 2005, 87, 173504. [Google Scholar] [CrossRef]
- Yan, X.; Qu, H.; Chang, Y.; Pang, W.; Duan, X. A prototype portable instrument employing micro-preconcentrator and FBAR sensor for the detection of chemical warfare agents. Nanotechnol. Precis. Eng. 2022, 5, 013005. [Google Scholar] [CrossRef]
- Zeng, G.; Wu, C.; Chang, Y.; Zhou, C.; Chen, B.; Zhang, M.; Li, J.; Duan, X.; Yang, Q.; Pang, W. Detection and discrimination of volatile organic compounds using a single film bulk acoustic wave resonator with temperature modulation as a multiparameter virtual sensor array. ACS Sens. 2019, 4, 1524–1533. [Google Scholar] [CrossRef]
- Gao, F.; Xuan, W.; Bermak, A.; Boussaid, F.; Tsui, C.-Y.; Luo, J. Dual transduction on a single sensor for gas identification. Sens. Actuators B Chem. 2019, 278, 21–27. [Google Scholar] [CrossRef]
- Gabl, R.; Green, E.; Schreiter, M.; Feucht, H.; Zeininger, H.; Primig, R.; Pitzer, D.; Eckstein, G.; Wersing, W. Novel integrated FBAR sensors: A universal technology platform for bio-and gas-detection. In SENSORS, 2003 IEEE; IEEE: Piscataway, NJ, USA, 2003. [Google Scholar]
- Gabl, R.; Feucht, H.-D.; Zeininger, H.; Eckstein, G.; Schreiter, M.; Primig, R.; Pitzer, D.; Wersing, W. First results on label-free detection of DNA and protein molecules using a novel integrated sensor technology based on gravimetric detection principles. Biosens. Bioelectron. 2004, 19, 615–620. [Google Scholar] [CrossRef] [PubMed]
- Weber, J.; Albers, W.M.; Tuppurainen, J.; Link, M.; Gabl, R.; Wersing, W.; Schreiter, M. Shear mode FBARs as highly sensitive liquid biosensors. Sens. Actuators A Phys. 2006, 128, 84–88. [Google Scholar] [CrossRef]
- Zhang, H.; Marma, M.S.; Bahl, S.K.; Kim, E.S.; McKenna, C.E. Sequence specific label-free DNA sensing using film-bulk-acoustic-resonators. IEEE Sens. J. 2007, 7, 1587–1588. [Google Scholar] [CrossRef]
- Zheng, D.; Guo, P.; Xiong, J.; Wang, S. Streptavidin modified ZnO film bulk acoustic resonator for detection of tumor marker mucin 1. Nanoscale Res. Lett. 2016, 11, 1–8. [Google Scholar] [CrossRef]
- Lin, A.; Li, Y.-J.; Wang, L.; Chen, S.-J.; Gross, M.E.; Kim, E.S. Label-free detection of prostate-specific antigen with FBAR-based sensor with oriented antibody immobilization. In 2011 IEEE International Ultrasonics Symposium; IEEE: Piscataway, NJ, USA, 2011. [Google Scholar]
- Zhao, X.; Pan, F.; Ashley, G.M.; Garcia-Gancedo, L.; Luo, J.; Flewitt, A.J.; Milne, W.I.; Lu, J.R. Label-free detection of human prostate-specific antigen (hPSA) using film bulk acoustic resonators (FBARs). Sens. Actuators B Chem. 2014, 190, 946–953. [Google Scholar] [CrossRef]
- Chen, D.; Wang, J.; Li, D.; Li, Z. Film bulk acoustic resonator based biosensor for detection of cancer serological marker. Electron. Lett. 2011, 47, 1169–1170. [Google Scholar] [CrossRef]
- Markets, R.A. Acoustic Wave Sensor Market-Forecasts from 2021 to 2026. 2021. Available online: https://www.researchandmarkets.com/reports/5510697/acoustic-wave-sensor-market-forecasts-from-2021?gclid=EAIaIQobChMI3ZGzr8SR_AIVU1pgCh2WYwDkEAAYASAAEgLyd_D_BwE (accessed on 8 December 2022).
- Girvin, S.M.; Yang, K. Modern Condensed Matter Physics; Cambridge University Press: Cambridge, UK, 2019. [Google Scholar]
- Gustafsson, M.V.; Santos, P.V.; Johansson, G.; Delsing, P. Local probing of propagating acoustic waves in a gigahertz echo chamber. Nat. Phys. 2012, 8, 338–343. [Google Scholar] [CrossRef]
- Takada, S.; Edlbauer, H.; Lepage, H.V.; Wang, J.; Mortemousque, P.-A.; Georgiou, G.; Barnes, C.H.; Ford, C.J.; Yuan, M.; Santos, P.V. Sound-driven single-electron transfer in a circuit of coupled quantum rails. Nat. Commun. 2019, 10, 1–9. [Google Scholar] [CrossRef]
- Delsing, P.; Cleland, A.N.; Schuetz, M.J.; Knörzer, J.; Giedke, G.; Cirac, J.I.; Srinivasan, K.; Wu, M.; Balram, K.C.; Bäuerle, C. The 2019 surface acoustic waves roadmap. J. Phys. D Appl. Phys. 2019, 52, 353001. [Google Scholar] [CrossRef]
- Averin, D.; Likharev, K. Coulomb blockade of single-electron tunneling, and coherent oscillations in small tunnel junctions. J. Low Temp. Phys. 1986, 62, 345–373. [Google Scholar] [CrossRef]
- Hsiao, T.-K.; Rubino, A.; Chung, Y.; Son, S.-K.; Hou, H.; Pedrós, J.; Nasir, A.; Éthier-Majcher, G.; Stanley, M.J.; Phillips, R.T. Single-photon emission from single-electron transport in a SAW-driven lateral light-emitting diode. Nat. Commun. 2020, 11, 1–7. [Google Scholar] [CrossRef] [PubMed]
- Zhang, X.; Zou, C.; Jiang, L.; Tang, H.X. Superstrong coupling of thin film magnetostatic waves with microwave cavity. J. Appl. Phys. 2016, 119, 023905. [Google Scholar] [CrossRef]
- Tabuchi, Y.; Ishino, S.; Ishikawa, T.; Yamazaki, R.; Usami, K.; Nakamura, Y. Hybridizing ferromagnetic magnons and microwave photons in the quantum limit. Phys. Rev. Lett. 2014, 113, 083603. [Google Scholar] [CrossRef] [PubMed]
- Bhoi, B.; Cliff, T.; Maksymov, I.; Kostylev, M.; Aiyar, R.; Venkataramani, N.; Prasad, S.; Stamps, R. Study of photon–magnon coupling in a YIG-film split-ring resonant system. J. Appl. Phys. 2014, 116, 243906. [Google Scholar] [CrossRef]
- Noguchi, A.; Yamazaki, R.; Tabuchi, Y.; Nakamura, Y. Qubit-assisted transduction for a detection of surface acoustic waves near the quantum limit. Phys. Rev. Lett. 2017, 119, 180505. [Google Scholar] [CrossRef]
- An, K.; Litvinenko, A.N.; Kohno, R.; Fuad, A.A.; Naletov, V.V.; Vila, L.; Ebels, U.; de Loubens, G.; Hurdequint, H.; Beaulieu, N. Coherent long-range transfer of angular momentum between magnon Kittel modes by phonons. Phys. Rev. B 2020, 101, 060407. [Google Scholar] [CrossRef]
- Hayashi, H.; Ando, K. Spin pumping driven by magnon polarons. Phys. Rev. Lett. 2018, 121, 237202. [Google Scholar] [CrossRef]
- Weiler, M.; Dreher, L.; Heeg, C.; Huebl, H.; Gross, R.; Brandt, M.S.; Gönnenwein, S.T. Elastically driven ferromagnetic resonance in nickel thin films. Phys. Rev. Lett. 2011, 106, 117601. [Google Scholar] [CrossRef]
- Zhao, C.; Zhang, Z.; Li, Y.; Zhang, W.; Pearson, J.E.; Divan, R.; Liu, Q.; Novosad, V.; Wang, J.; Hoffmann, A. Direct imaging of resonant phonon-magnon coupling. Phys. Rev. Appl. 2021, 15, 014052. [Google Scholar] [CrossRef]
- Casals, B.; Statuto, N.; Foerster, M.; Hernández-Mínguez, A.; Cichelero, R.; Manshausen, P.; Mandziak, A.; Aballe, L.; Hernàndez, J.M.; Macià, F. Generation and imaging of magnetoacoustic waves over millimeter distances. Phys. Rev. Lett. 2020, 124, 137202. [Google Scholar] [CrossRef] [PubMed]
- Streib, S.; Keshtgar, H.; Bauer, G.E. Damping of magnetization dynamics by phonon pumping. Phys. Rev. Lett. 2018, 121, 027202. [Google Scholar] [CrossRef] [PubMed]
- Berk, C.; Jaris, M.; Yang, W.; Dhuey, S.; Cabrini, S.; Schmidt, H. Strongly coupled magnon–phonon dynamics in a single nanomagnet. Nat. Commun. 2019, 10, 1–6. [Google Scholar] [CrossRef] [PubMed]
- Yahiro, R.; Kikkawa, T.; Ramos, R.; Oyanagi, K.; Hioki, T.; Daimon, S.; Saitoh, E. Magnon polarons in the spin Peltier effect. Phys. Rev. B 2020, 101, 024407. [Google Scholar] [CrossRef]
- Godejohann, F.; Scherbakov, A.V.; Kukhtaruk, S.M.; Poddubny, A.N.; Yaremkevich, D.D.; Wang, M.; Nadzeyka, A.; Yakovlev, D.R.; Rushforth, A.W.; Akimov, A.V. Magnon polaron formed by selectively coupled coherent magnon and phonon modes of a surface patterned ferromagnet. Phys. Rev. B 2020, 102, 144438. [Google Scholar] [CrossRef]
- Yin, T.-S.; Jin, G.-R.; Chen, A. Enhanced Phonon Antibunching in a Circuit Quantum Acoustodynamical System Containing Two Surface Acoustic Wave Resonators. Micromachines 2022, 13, 591. [Google Scholar] [CrossRef] [PubMed]
- Kuzyk, M.C.; Wang, H. Scaling phononic quantum networks of solid-state spins with closed mechanical subsystems. Phys. Rev. X 2018, 8, 041027. [Google Scholar] [CrossRef]
- Schütz, M.J. Universal quantum transducers based on surface acoustic waves. In Quantum Dots for Quantum Information Processing: Controlling and Exploiting the Quantum Dot Environment; Springer: Cham, Switzerland, 2017; pp. 143–196. [Google Scholar]
- Buller, J.; Balderas-Navarro, R.; Biermann, K.; Cerda-Méndez, E.; Santos, P. Exciton-polariton gap soliton dynamics in moving acoustic square lattices. Phys. Rev. B 2016, 94, 125432. [Google Scholar] [CrossRef]
- Couto, O.; Lazić, S.; Iikawa, F.; Stotz, J.; Jahn, U.; Hey, R.; Santos, P. Photon anti-bunching in acoustically pumped quantum dots. Nat. Photonics 2009, 3, 645–648. [Google Scholar] [CrossRef]
- Metcalfe, M.; Carr, S.M.; Muller, A.; Solomon, G.S.; Lawall, J. Resolved sideband emission of InAs/GaAs quantum dots strained by surface acoustic waves. Phys. Rev. Lett. 2010, 105, 037401. [Google Scholar] [CrossRef]
- Blattmann, R.; Krenner, H.J.; Kohler, S.; Hänggi, P. Entanglement creation in a quantum-dot–nanocavity system by Fourier-synthesized acoustic pulses. Phys. Rev. A 2014, 89, 012327. [Google Scholar] [CrossRef]
- Pustiowski, J.; Müller, K.; Bichler, M.; Koblmüller, G.; Finley, J.J.; Wixforth, A.; Krenner, H.J. Independent dynamic acousto-mechanical and electrostatic control of individual quantum dots in a LiNbO3-GaAs hybrid. Appl. Phys. Lett. 2015, 106, 013107. [Google Scholar] [CrossRef]










Disclaimer/Publisher’s Note: The statements, opinions and data contained in all publications are solely those of the individual author(s) and contributor(s) and not of MDPI and/or the editor(s). MDPI and/or the editor(s) disclaim responsibility for any injury to people or property resulting from any ideas, methods, instructions or products referred to in the content. |
© 2022 by the authors. Licensee MDPI, Basel, Switzerland. This article is an open access article distributed under the terms and conditions of the Creative Commons Attribution (CC BY) license (https://creativecommons.org/licenses/by/4.0/).
Share and Cite
Yang, Y.; Dejous, C.; Hallil, H. Trends and Applications of Surface and Bulk Acoustic Wave Devices: A Review. Micromachines 2023, 14, 43. https://doi.org/10.3390/mi14010043
Yang Y, Dejous C, Hallil H. Trends and Applications of Surface and Bulk Acoustic Wave Devices: A Review. Micromachines. 2023; 14(1):43. https://doi.org/10.3390/mi14010043
Chicago/Turabian StyleYang, Yang, Corinne Dejous, and Hamida Hallil. 2023. "Trends and Applications of Surface and Bulk Acoustic Wave Devices: A Review" Micromachines 14, no. 1: 43. https://doi.org/10.3390/mi14010043
APA StyleYang, Y., Dejous, C., & Hallil, H. (2023). Trends and Applications of Surface and Bulk Acoustic Wave Devices: A Review. Micromachines, 14(1), 43. https://doi.org/10.3390/mi14010043

