Design and Experimental Study of a Stepping Piezoelectric Actuator with Large Stroke and High Speed
Abstract
1. Introduction
2. Working Principle and Structure Design of the Actuator
2.1. Working Principle of the Actuator
2.2. Structure Design of the Actuator
3. Simulation on the Actuator
3.1. Structural Parameter Analysis of the Actuator Stator
3.2. Static Analysis of the Actuator
3.3. Dynamic Analysis of the Actuator
3.3.1. Modal Analysis of the Stator
3.3.2. Transient Dynamic Analysis of the Actuator
4. Experiments
4.1. Experimental System
4.2. Actuator Speed
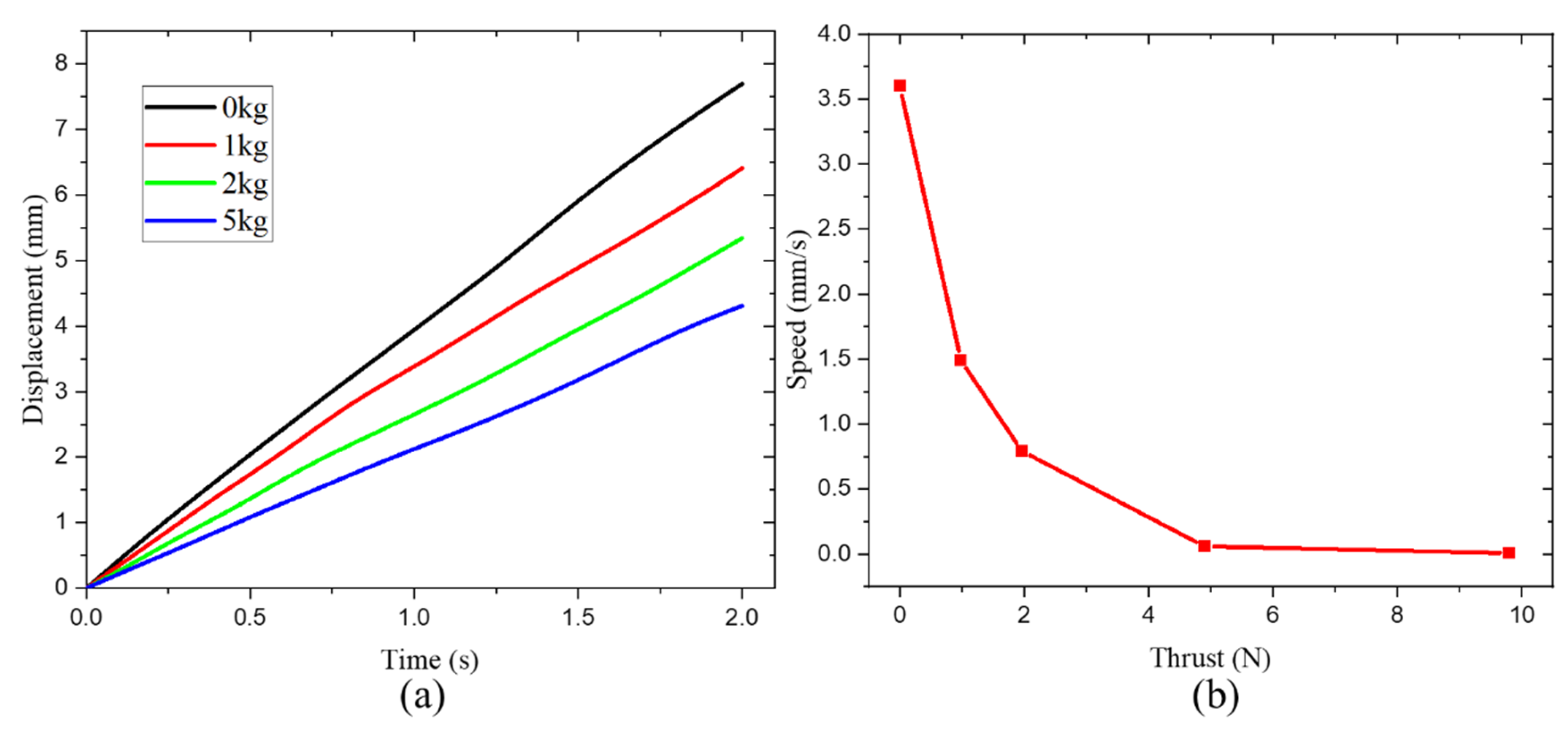
4.3. Load Capacity
4.4. Actuator Resolution
5. Conclusions
Author Contributions
Funding
Data Availability Statement
Acknowledgments
Conflicts of Interest
References
- Mao, X.F.; Wang, Y.J.; Liu, X.D. A hybrid feedforward-feedback hysteresis compensator in piezoelectric actuators based on least-squares support vector machine. IEEE Trans. Ind. Electron. 2017, 65, 5704–5711. [Google Scholar] [CrossRef]
- Lee, D.; Ahn, D. Design of testbed and preliminary data for de-icing experiments using piezoelectric actuators. Data Brief 2018, 20, 146–151. [Google Scholar] [CrossRef] [PubMed]
- Wang, L.; Chen, W.; Liu, J. A review of recent studies on non-resonant piezoelectric actuators. Mech. Syst. Signal Process. 2019, 133, 106254. [Google Scholar] [CrossRef]
- Ma, X.; Liu, Y.; Deng, J. A compact inchworm piezoelectric actuator with high speed: Design, modeling, and experimental evaluation. Mech. Syst. Signal Process. 2023, 184, 109704. [Google Scholar] [CrossRef]
- Saadabad, N.A.; Moradi, H.; Vossoughi, G. Dynamic modeling, optimized design, and fabrication of a 2DOF piezo-actuated stick-slip mobile microrobot. Mech. Mach. Theory 2019, 133, 514–530. [Google Scholar] [CrossRef]
- Yokozawa, H.; Morita, T. Wireguide driving actuator using resonant-type smooth impact drive mechanism. Sens. Actuators A Phys. 2015, 230, 40–44. [Google Scholar] [CrossRef]
- Yong, Y.; Mohemani, S.R. Design of an inertially counterbalanced Z-nanopositioner for high-speed atomic force microscopy. IEEE Trans. Nanotechnol. 2012, 12, 137–145. [Google Scholar] [CrossRef]
- Suzuki, H.; Wood, R.J. Origami-inspired miniature manipulator for teleoperated microsurgery. Nat. Mach. Intell. 2020, 2, 437–446. [Google Scholar] [CrossRef]
- Chen, C.; Liu, M.; Lin, J. Piezoelectric transformer-based high conversion ratio interface for driving dielectric actuator in microrobotic applications. Int. J. Adv. Robot. Syst. 2016, 13, 1729881416657957. [Google Scholar] [CrossRef]
- Raja, S.; Upadhya, A. Active control of wing flutter using piezoactuated surface. J. Aircr. 2007, 44, 71–80. [Google Scholar] [CrossRef]
- Tan, Y.; Lu, P.; Zu, J. Large stroke and high precision positioning using iron–gallium alloy (Galfenol) based multi-DOF impact drive mechanism. Precis Eng. 2017, 49, 401–411. [Google Scholar] [CrossRef]
- Yu, Y.; Zhang, C.; Wang, Y. Neural-Network-Based Iterative Learning Control for Hysteresis in a Magnetic Shape Memory Alloy Actuator. IEEE/ASME Trans. Mechatron. 2021, 27, 928–939. [Google Scholar] [CrossRef]
- Alcheikh, N.; Ouakad, H.; Mbarek, S.B. Static and dynamic actuations of clamped-clamped V-shaped micro-resonators under electrostatic forces. Mech. Syst. Signal Process. 2021, 155, 107571. [Google Scholar] [CrossRef]
- Wu, J.W.; Huang, K.C.; Chiang, M.L. Modeling and Controller Design of a Precision Hybrid Scanner for Application in Large Measurement-Range Atomic Force Microscopy. IEEE Trans. Ind. Electron. 2014, 61, 3704–3712. [Google Scholar] [CrossRef]
- Wang, J.R.; Qin, F.; Zhang, Y.H. Design, analysis and experiments of a linear piezoelectric actuator adopting a flexible mechanism with wing skeletal structure. Smart Mater. Struct. 2019, 28, 085034. [Google Scholar] [CrossRef]
- Peng, Y.X.; Peng, Y.L.; Gu, X.Y. A review of long range piezoelectric motors using frequency leveraged method. Sens. Actuators A-Phys. 2015, 235, 240–255. [Google Scholar] [CrossRef]
- Lucinskis, R.; Mazeika, D.; Bansevicius, R. Investigation of oscillations of piezoelectric actuators with multi-directional polarization. Mech. Syst. Signal Process. 2018, 99, 450–458. [Google Scholar] [CrossRef]
- Sagar, S.N.K.; Sreekumar, M. Miniaturized Flexible Flow Pump using SMA Actuator. Procedia Eng. 2013, 64, 896–906. [Google Scholar] [CrossRef]
- Hong, C.C. Application of a magnetostrictive actuator. Mater. Des. 2013, 46, 617–621. [Google Scholar] [CrossRef]
- Delibas, B.; Koc, B. A method to realize low velocity movability and eliminate friction induced noise in piezoelectric ultrasonic motors. IEEE/ASME Trans. Mechatron. 2020, 25, 2677–2687. [Google Scholar] [CrossRef]
- Ho, S.-T.; Jan, S.-J. A piezoelectric motor for precision positioning applications. Precis Eng. 2016, 43, 285–293. [Google Scholar] [CrossRef]
- Li, J.P.; Huang, H.; Morita, T. Stepping piezoelectric actuators with large working stroke for nano-positioning systems: A review. Sens. Actuators A-Phys. 2019, 292, 39–51. [Google Scholar] [CrossRef]
- Xing, J.; Qin, Y.; Ning, C. A Novel Type of Noncontact Linear Piezoelectric Actuator Modulated by Electromagnetic Field: Design and Experiment. IEEE Trans. Ultrason. Ferroelectr. Freq. Control 2022, 69, 299–308. [Google Scholar] [CrossRef] [PubMed]
- Ling, J.; Chen, L.; Feng, Z. Development and test of a high speed pusher-type inchworm piezoelectric actuator with asymmetric driving and clamping configuration. Mech. Mach. Theory 2022, 176, 104997. [Google Scholar] [CrossRef]
- Xu, W.; Wu, Y. Piezoelectric actuator for machining on macro-to-micro cylindrical components by a precision rotary motion control. Mech. Syst. Signal Process. 2019, 114, 439–447. [Google Scholar] [CrossRef]
- Gao, X.; Yang, J.; Wu, J. Piezoelectric actuators and motors: Materials, designs, and applications. Adv. Mater. Technol. 2020, 5, 1900716. [Google Scholar] [CrossRef]
- Tian, X.Q.; Quan, Q.Q.; Wang, L. An Inchworm Type Piezoelectric Actuator Working in Resonant State. IEEE Access 2018, 6, 18975–18983. [Google Scholar] [CrossRef]
- Chiang, M.-H. Development of XY servo pneumatic-piezoelectric hybrid actuators for position control with high response, large stroke and nanometer accuracy. Sensors 2010, 10, 2675–2693. [Google Scholar] [CrossRef]
- Wang, F.; Liang, C.; Tian, Y. Design of a piezoelectric-actuated microgripper with a three-stage flexure-based amplification. IEEE/ASME Trans. Mechatron. 2014, 20, 2205–2213. [Google Scholar] [CrossRef]
- Xue, X.; Tian, X.; Zhang, D. Design of a piezo-driven inchworm flexure stage for precision positioning. Int. J. Appl. Electromagn. Mech. 2016, 50, 569–581. [Google Scholar] [CrossRef]
- Li, M.; Yuan, J.X.; Guan, D. Application of piezoelectric fiber composite actuator to aircraft wing for aerodynamic performance improvement. Sci. China Technol. Sci. 2011, 54, 395–402. [Google Scholar] [CrossRef]
- Elahi, H.; Eugeni, M.; Gaudenzi, P. Response of piezoelectric materials on thermomechanical shocking and electrical shocking for aerospace applications. Microsyst. Technol. 2018, 24, 3791–3798. [Google Scholar] [CrossRef]
- Chung, H.C.; Kummari, K.L.; Croucher, S.J. Coupled piezoelectric fans with two degree of freedom motion for the application of flapping wing micro aerial vehicles. Sens. Actuators A-Phys. 2008, 147, 607–612. [Google Scholar] [CrossRef]
- Li, Q.; Liu, L.; Ma, X. Development of multitarget acquisition, pointing, and tracking system for airborne laser communication. IEEE Trans. Ind. Inform. 2018, 15, 1720–1729. [Google Scholar] [CrossRef]
- Li, J.P.; Zhao, H.W.; Qu, H. A piezoelectric-driven rotary actuator by means of inchworm motion. Sens. Actuators A-Phys. 2013, 194, 269–276. [Google Scholar] [CrossRef]
- Mashimo, T. Micro ultrasonic motor using a cube with a side length of 0.5 mm. IEEE/ASME Trans. Mechatron. 2015, 21, 1189–1192. [Google Scholar] [CrossRef]
- Peled, G.; Yasinov, R.; Karasikov, N. Performance and applications of L1B2 ultrasonic motors. Actuators 2016, 5, 15. [Google Scholar] [CrossRef]
- Luo, L. Available online: https://zhuanlan.zhihu.com/p/365768877 (accessed on 17 November 2021).
- Yue, Z.P. Design and Experimental Study of Non-Resonant Piezoelectric Linear Motor with Double-Foot. Master’s Thesis, Jiang Su University, Zhenjiang, China, 2020. [Google Scholar]
- Zhang, B.R. Development and Control System of a Linear Stepping Piezoelectric Actuator with Adjustable Friction Forces of the Driving Feet. Master’s Thesis, Harbin Institute of Technology, Harbin, China, 2020. [Google Scholar]
- Deng, J.; Zhang, S.J.; Li, Y.Q. Development and experiment evaluation of a compact inchworm piezoelectric actuator using three-jaw type clamping mechanism. Smart Mater. Struct. 2022, 31, 045020. [Google Scholar] [CrossRef]
- Li, J.P.; He, L.D.; Cai, J.J. A walking type piezoelectric actuator based on the parasitic motion of obliquely assembled PZT stacks. Smart Mater. Struct. 2021, 30, 085030. [Google Scholar] [CrossRef]
- Chen, X.F.; Huang, W.Q. A new type of non-resonant linear motor with piezoelectric stacks. In Proceedings of the 2010 IEEE International Conference on Mechatronics and Automation, Xi’an, China, 4–7 August 2010. [Google Scholar]
- Zhang, X. Research of Actuator Based on Piezoelectric Stack. Master’s Thesis, Anhui Polytechnic University, Wuhu, China, 2017. [Google Scholar]
- Liu, P. Research on a New Structure of Precision Piezoelectric Linear Stepper Actuator. Master’s Thesis, Jilin University, Changchun, China, 2007. [Google Scholar]
- Zhang, Y.; Wang, M.; Fan, Y. Improving load capacity of stick-slip actuators in both driving directions via a shared driving foot. Smart Mater. Struct. 2019, 28, 065004. [Google Scholar] [CrossRef]
- Chen, X.F.; Li, M.; Lu, Q. A king of non-resonant linear piezoelectric motor with nanometer stepping characteristics. J. Vib. Meas. Diagn. 2019, 39, 209–216. [Google Scholar]











| Materials | Density ρ (kg/m3) | Young’s Modulus E (GPa) | Poisson’s Ratio μ | Charge Constants (10−12 C/N) | ||
|---|---|---|---|---|---|---|
| d31 | d33 | d15 | ||||
| Piezoelectric material (NCE51) | 7850 | \ | \ | −208 | 443 | 669 |
| Electrode material (Cu) | 8600 | 110 | 0.34 | \ | \ | \ |
| Modal Order | 1st | 2nd | 3rd | 4th | 5th | 6th |
|---|---|---|---|---|---|---|
| Natural frequencies (Hz) | 3225 | 3256 | 9325 | 9430 | 16,804 | 16,820 |
| Authors | Speed (mm/s) | Stroke (mm) | Load (N) | Thrust (N) | Size (mm) | Number of Stacks |
|---|---|---|---|---|---|---|
| Xue et al. (2016) [30] | 0.45 | N/A | N/A | 15 | 135 × 120 × 35 | 4 |
| Chen et al. (2019) [47] | 0.063 | 70 | N/A | 1.6 | N/A | 2 |
| Zhang et al. (2020) [40] | 4.76 | 45 | 13 | N/A | 108 × 75 × 48 | 2 |
| Deng et al. (2022) [41] | 0.16 | 40 | N/A | 12.3 | Φ34 × 40 | 3 |
| This work | 6.11 | 85 | 49 | 9.8 | 208 × 85 × 48 | 6 |
Disclaimer/Publisher’s Note: The statements, opinions and data contained in all publications are solely those of the individual author(s) and contributor(s) and not of MDPI and/or the editor(s). MDPI and/or the editor(s) disclaim responsibility for any injury to people or property resulting from any ideas, methods, instructions or products referred to in the content. |
© 2023 by the authors. Licensee MDPI, Basel, Switzerland. This article is an open access article distributed under the terms and conditions of the Creative Commons Attribution (CC BY) license (https://creativecommons.org/licenses/by/4.0/).
Share and Cite
Duan, Q.; Zheng, Y.; Jin, J.; Hu, N.; Zhang, Z.; Hu, H. Design and Experimental Study of a Stepping Piezoelectric Actuator with Large Stroke and High Speed. Micromachines 2023, 14, 267. https://doi.org/10.3390/mi14020267
Duan Q, Zheng Y, Jin J, Hu N, Zhang Z, Hu H. Design and Experimental Study of a Stepping Piezoelectric Actuator with Large Stroke and High Speed. Micromachines. 2023; 14(2):267. https://doi.org/10.3390/mi14020267
Chicago/Turabian StyleDuan, Qirui, Yajun Zheng, Jun Jin, Ningdong Hu, Zenglei Zhang, and Hongping Hu. 2023. "Design and Experimental Study of a Stepping Piezoelectric Actuator with Large Stroke and High Speed" Micromachines 14, no. 2: 267. https://doi.org/10.3390/mi14020267
APA StyleDuan, Q., Zheng, Y., Jin, J., Hu, N., Zhang, Z., & Hu, H. (2023). Design and Experimental Study of a Stepping Piezoelectric Actuator with Large Stroke and High Speed. Micromachines, 14(2), 267. https://doi.org/10.3390/mi14020267

