Effects of Group-I Elements on Output Voltage Generation of ZnO Nanowires Based Nanogenerator; Degradation of Screening Effects by Oxidation of Nanowires
Abstract
:1. Introduction
2. Material and Methods
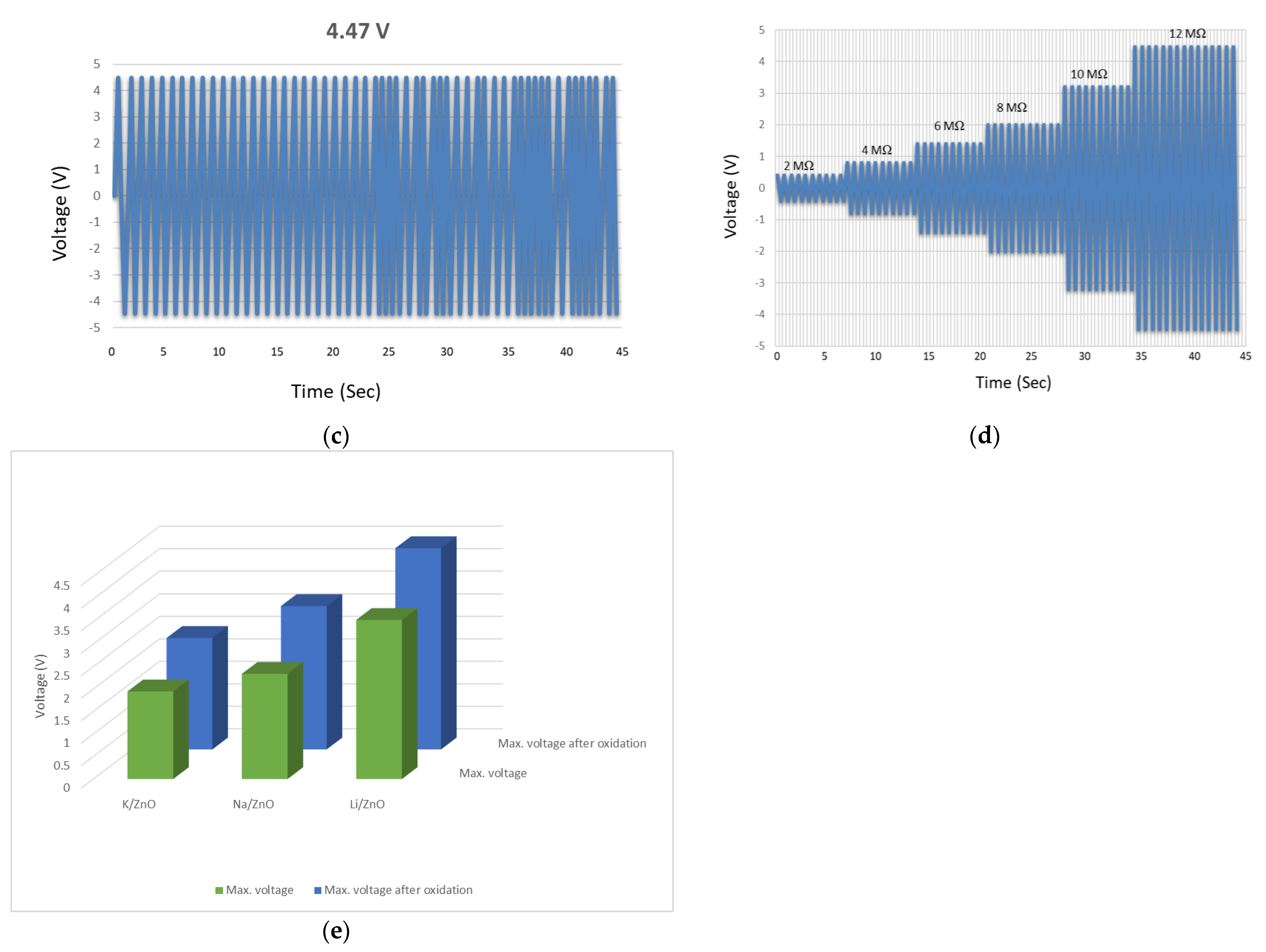
3. Results and Discussions
4. Conclusions
Author Contributions
Funding
Acknowledgments
Conflicts of Interest
References
- Wang, Z.L. ZnO nanowire and nanobelt platform for nanotechnology. Mater. Sci. Eng. R 2009, 64, 33–71. [Google Scholar] [CrossRef]
- Huang, M.H.; Mao, S.; Feick, H.; Yan, H.Q.; Wu, Y.Y.; Kind, H.; Weber, E.; Russo, R.; Yang, P.D. Room-Temperature Ultraviolet Nanowire Nanolasers. Science 2001, 292, 1897. [Google Scholar] [CrossRef] [PubMed]
- Jabeen, M.; Iqbal, M.; Ahmad, M. Pd-doped zinc oxide nanostructures for liquefied petroleum gas detection at low temperature. Sens. Bio-Sens. Res. 2019, 25, 100293. [Google Scholar] [CrossRef]
- Su, Y.; Xie, G.; Huiling, T.; Li, S.; Yang, B.; Wang, S.; Zhang, Q.; Du, H.; Zhang, H.; Du, X.; et al. Self-powered room temperature NO2 detection driven by triboelectric nanogenerator under UV illumination. Nano Energy 2018, 47, 316–324. [Google Scholar] [CrossRef]
- Jabeen, M.; Iqbal, M.A.; Kumar, R.V.; Ahmad, M. Hydrogen gas sensing of ZnO nanowires synthesis by hydrothermal technique. Dig. Mater. Nonmater. Biostruct. 2018, 13, 263–269. [Google Scholar]
- Wang, C.; Luo, S.; Liu, C.; Liu, X.; Chen, C. Photocatalytic performance of single crystal ZnO nanorods and ZnO nanorods films under natural sunlight. Inorg. Chem. Commun. 2020, 114, 107842. [Google Scholar] [CrossRef]
- Kong, P.; Wang, R.; Zhang, C.; Du, Z.; Li, H. Synthesis of 4-aminothiophenol functionalized quantum dots to sensitize silver nanowires and its application for solar cells. Synth. Met. 2017, 226, 50–55. [Google Scholar] [CrossRef]
- Loyola Poul Raj, I.; Christy, A.J.; Prabu, R.D.; Chidhambaram, N.; Shkir, M.; Alfaify, S.; Khan, A. Significance of Ni doping on structure-morphology-photoluminescence, optical and photocatalytic activity of CBD grown ZnO nanowires for opto-photocatalyst applications. Inorg. Chem. Commun. 2020, 119, 108082. [Google Scholar] [CrossRef]
- Luxton, R.; Ahmad, M.; Kiely, J.; Luxton, R.W.; Jabeen, M.; Khalid, M. Facile aqueous growth of 150 nm ZnO nanowires for energy harvester: Enhanced output voltage using Pt sputtered electrode. Sens. Bio Sens. Res. 2016, 7, 141–145. [Google Scholar]
- Ahmad, M.; Ahmad, M.K.; Nafarizal, N.; Soon, C.F.; Suriani, A.B. Effects of As, P and Sb on the output voltage generation of ZnO nanowires based nanogenerator: Mitigation of screening effect by using surface modified ZnO nanowires. Vacuum 2022, 202, 111130. [Google Scholar] [CrossRef]
- Su, Y.; Yang, T.; Zhao, X.; Cai, Z.; Chen, G.; Yao, M.; Chen, K.; Bick, M.; Wang, J.; Li, S.; et al. A wireless energy transmission enabled wearable active acetone biosensor for non-invasive prediabetes diagnosis. Nano Energy 2020, 74, 104941. [Google Scholar] [CrossRef]
- Sheng, X.; Yong, Q.; Chen, X.; Wei, Y.; Yang, R.; Wang, Z. Self-powered nanowire devices. Nat. Nanotechnol. 2010, 46, 366–373. [Google Scholar]
- Wang, Z.L.; Rusen, Y.; Jun, Z.; Yong, Q.; Xu, C.; Hu, Y.; Xu, S. Lateral nanowire/nanobelt based nanogenerators, piezotronics and piezo-phototronics. Mater. Sci. Eng. R 2010, 70, 320. [Google Scholar] [CrossRef]
- Kong, X.Y.; Wang, Z.L. Polar-surface dominated ZnO nanobelts and the electrostatic energy induced nanohelixes, nanosprings, and nanospirals. Appl. Phys. Lett. 2004, 84, 975. [Google Scholar] [CrossRef]
- Kong, X.Y.; Wang, Z.L. Spontaneous Polarization-Induced Nanohelixes, Nanosprings, and Nanorings of Piezoelectric Nanobelts. Nano Lett. 2003, 3, 1625. [Google Scholar] [CrossRef]
- Gao, P.X.; Ding, Y.; Mai, W.J.; Hughes, W.L.; Lao, C.S.; Wang, Z.L. Conversion of Zinc Oxide Nanobelts into Superlattice-Structured Nanohelices. Science 2005, 309, 1700. [Google Scholar] [CrossRef]
- Ahmad, M.; Ahmad, M.K.; Nafarizal, N. Temperature dependant high output voltage generation via mechanical transducer by using surface modified (O2, CO2, NO2) ZnO nanowires. Microelectron. Eng. 2021, 248, 111614. [Google Scholar] [CrossRef]
- Ahmad, M.; Ahmad, M.K.; Nafarizal, N. Adsorption effect of NO2 on ZnO (100 nm) nanowires, leading towards reduced reverse leakage current and voltage enhancement. Bull. Mater. Sci. 2020, 43, 267. [Google Scholar] [CrossRef]
- Ahmad, M.; Ahmad, M.K.; Nafarizal, N. Adsorption effect of oxygen on ZnO Nanowires (100 nm) leading towards pronounced edge effects and voltage enhancement. Mater. Res. Express 2020, 7, 095004. [Google Scholar] [CrossRef]
- Ahmad, M.; Ahmad, M.K.; Nafarizal, N.; Soon, C.F.; Suriani, A.B. Chemisorbed CO2 molecules on ZnO nanowires (100 nm) surface leading towards enhanced piezoelectric voltage. Vacuum 2020, 182, 109565. [Google Scholar] [CrossRef]
- Riaz, M.; Song, J.; Omer, N.; Wang, Z.L. Study of the Piezoelectric Power Generation of ZnO Nanowire Arrays Grown by Different Method. Adv. Funct. Mater. 2010, 2, 628–633. [Google Scholar] [CrossRef]
- Ahmad, M.; Iqbal, M.A.; Kiely, J.; Luxton, R. Enhanced output voltage generation via ZnO Nanowires (50 nm): Effect of diameter thinning on voltage enhancement. J. Phys. Chem. Solids 2017, 104, 281–285. [Google Scholar] [CrossRef]
- Qu, J.; Ge, Y.R.; Zu, B.Y.; Li, Y.X.; Dou, X.C. Transition-metal-doped p-Type ZnO nanoparticle-based sensory array for instant discrimination of explosive vapors. Small 2016, 12, 1369–1377. [Google Scholar] [CrossRef] [PubMed]
- Sharma, P.; Bhardwaj, R.; Singh, R.; Kumar, S.; Mukherjee, S. Investigation of formation mechanism of Li-P dual-acceptor doped p-type ZnO. Appl. Phys. Lett. 2017, 111, 091604. [Google Scholar] [CrossRef]
- Baek, S.D.; Biswas, P.; Kim, J.-W. Low-Temperature Facile Synthesis of Sb-Doped p-Type ZnO Nanodisks and Its Application in Homojunction Light-Emitting Diode. ACS Appl. Mater. Interfaces 2016, 8, 13018. [Google Scholar] [CrossRef] [PubMed]
- Wun, C.; Huang, Q. Synthesis of Na-doped ZnO nanowires and their photocatalytic properties. J. Lumin. 2010, 130, 2136. [Google Scholar]
- Hamid, H.M.A.; Butler, Z.Ç. Characterization and performance analysis of Li-doped ZnO nanowire as a nano-sensor and nano-energy harvesting element. Nano Energy 2018, 50, 159. [Google Scholar] [CrossRef]
- Hao, P.; Zhu, T.; Su, Q.; Lin, J.; Cui, R. Electrospun Single Crystalline Fork-Like K2V8O21 as High-Performance Cathode Materials for Lithium-Ion Batteries. Front. Chem. 2018, 6, 195. [Google Scholar] [CrossRef] [PubMed]
- Fang, F.; Zhao, D.; Fang, X.; Li, J.; Wei, Z.; Wang, S.; Wu, J.; Wang, X. Optical and electrical properties of individual p-type ZnO microbelts with Ag dopant. J. Mater. Chem. 2011, 21, 14979. [Google Scholar] [CrossRef]
- Braunstein, G.; Muraviev, A.; Saxena, H.; Dhere, N. p type doping of zinc oxide by arsenic ion implantation. Appl. Phys. Lett. 2005, 87, 192103. [Google Scholar] [CrossRef]
- Schneider, C.A.; Rasband, W.S.; Eliceiri, K.W. NIH Image to ImageJ: 25 years of image analysis. Nat. Methods 2012, 9, 671. [Google Scholar] [CrossRef]
- Kalapsazova, M.L.; Zhecheva, E.N.; Georgi, T. Effects of the Particle Size Distribution and of the Electrolyte Salt on the Intercalation Properties of P3-Na2/3Ni1/2Mn1/2O2. J. Phys. Chem. 2017, 11, 5931–5940. [Google Scholar] [CrossRef]
- Kumari, R.; Sahai, A.; Goswami, N. Effect of nitrogen doping on structural and optical properties of ZnO nanoparticles. Nat. Sci. Mater. Int. 2015, 25, 300–309. [Google Scholar] [CrossRef]
- Zhang, Y.; Apostoluk, A.; Theron, C.; Cornier, T. Doping of ZnO inorganic-organic nanohybrids with metal elements. Sci. Rep. 2019, 9, 11959. [Google Scholar] [CrossRef] [PubMed] [Green Version]
- Saaedi, A.; Yousefi, R.; Sheini, F.; Cheraghizade, M. Optical properties of group-I-doped ZnO nanowires. Ceram. Int. 2014, 40, 4327. [Google Scholar] [CrossRef]
- Li, S.; Kang, E.T.; Neoh, K.G.; Ma, Z.H.; Tan, K.L. In situ XPS studies of thermally deposited potassium on poly(p-phenylene vinylene) and its ring-substituted derivatives. Appl. Surf. Sci. 2001, 181, 201. [Google Scholar] [CrossRef]
- Lizandara-Pueyo, C.; Dilger, S.; Wagner, M.R.; Gerigk, M. Li-doped ZnO nanorods with single-crystal quality—Non-classical crystallization and self-assembly into mesoporous materials. CrystEngComm 2014, 16, 1525. [Google Scholar] [CrossRef]
- Yin, J.; Zhang, G.; Liu, H.; Liang, J. Hydrothermal Fabrication and Ferroelectric Behavior of Lithium-Doped Zinc Oxide Nanoflakes. Sci. Adv. Mater. 2013, 5, 1139. [Google Scholar] [CrossRef]
- Carvalho, A.; Alkauskas, A.; Pasquarello, A.; Tagantsev, A.K. A hybrid density functional study of lithium in ZnO: Stability, ionization levels, and diffusion. Phys. Rev. B 2009, 80, 195205. [Google Scholar] [CrossRef]
- Karthikeyan, B.; Sandeep, C.S.S.; Pandiyarajan, T.; Venkatesan, P.; Philip, R. Optical and nonlinear absorption properties of Na doped ZnO nanoparticle dispersions. Appl. Phys. Lett. 2009, 95, 023118. [Google Scholar] [CrossRef]
- Orlinskii, S.B.; Schmidt, J.; Baranov, P.G.; Hofmann, D.M. Probing the Wave Function of Shallow Li and Na Donors in ZnO Nanoparticles. Phys. Rev. Lett. 2004, 92, 047603. [Google Scholar] [CrossRef] [PubMed]
- Shin, S.; Kim, Y.; Lee, M.H.; Jung, J.; Seol, J.H.; Nah, J. Lithium-doped zinc oxide nanowires-polymer composite for high performance flexible piezoelectric nanogenerator. ACS Nano 2014, 8, 10844. [Google Scholar] [CrossRef]
- Yu, C.; Chen, J.Y.; Yang, T.P.; Huang, C.W. Excellent piezoelectric and electrical properties of lithium-doped ZnO nanowires for nanogenerator applications. Nano Energy 2014, 8, 291. [Google Scholar]
- Wang, X.B.; Song, C.; Li, D.M.; Geng, K.W.; Zeng, F.; Pan, F. The influence of different doping elements on microstructure, piezoelectric coefficient and resistivity of sputtered ZnO film. Appl. Surf. Sci. 2006, 253, 1639. [Google Scholar] [CrossRef]
- Patterson, C.H. Role of defects in ferromagnetism in Zn1−xCoxO: A hybrid density-functional study. Phys. Rev. B 2006, 74, 144432. [Google Scholar] [CrossRef] [Green Version]
- Gao, H.-X.; Xia, J.-B. Effect of Li-doping on the magnetic properties of ZnO with Zn vacancies. J. Appl. Phys. 2012, 111, 093902. [Google Scholar] [CrossRef]
- Tilke, A.T.; Simmel, F.C.; Lorenz, H.; Blick, R.H. Quantum interference in a one-dimensional silicon nanowire. Phys. Rev. B 2003, 68, 075311. [Google Scholar] [CrossRef]
- Gao, Y.; Wang, Z.L. Equilibrium Potential of Free Charge Carriers in a Bent Piezoelectric Semiconductive Nanowire. Nano Lett. 2009, 9, 1103–1110. [Google Scholar] [CrossRef]
- Xue, X.; Nie, Y.; He, B.; Xing, L.; Zhang, Y.; Wang, Z.L. Surface free-carrier screening effect on the output of a ZnO nanowire nanogenerator and its potential as a self-powered active gas sensor. Nanotechnology 2013, 24, 225501. [Google Scholar] [CrossRef]
- Liu, X.; Zhang, J.; Guo, X.; Wang, S. Amino acid-assisted one-pot assembly of Au, Ptnanoparticles onto one-dimensional ZnO microrods. Nanoscale 2010, 2, 1178. [Google Scholar] [CrossRef]
- Yang, R.S.; Qin, Y.; Li, C.; Zhu, G.; Wang, Z.L. Converting Biomechanical Energy into Electricity by a Muscle-Movement-Driven Nanogenerator. Nano Lett. 2009, 9, 1201. [Google Scholar] [CrossRef] [PubMed]
- Suo, B.; Zhanga, L.; Xua, Q.; Wang, Z.L. Two dimensional woven nanogenerator. Nano Energy 2013, 2, 749. [Google Scholar]














Publisher’s Note: MDPI stays neutral with regard to jurisdictional claims in published maps and institutional affiliations. |
© 2022 by the authors. Licensee MDPI, Basel, Switzerland. This article is an open access article distributed under the terms and conditions of the Creative Commons Attribution (CC BY) license (https://creativecommons.org/licenses/by/4.0/).
Share and Cite
Ahmad, M.; Ahmad, M.K.; Mamat, M.H.; Mohamed, A.; Suriani, A.B.; Ismail, N.M.A.N.; Soon, C.F.; Nafarizal, N. Effects of Group-I Elements on Output Voltage Generation of ZnO Nanowires Based Nanogenerator; Degradation of Screening Effects by Oxidation of Nanowires. Micromachines 2022, 13, 1450. https://doi.org/10.3390/mi13091450
Ahmad M, Ahmad MK, Mamat MH, Mohamed A, Suriani AB, Ismail NMAN, Soon CF, Nafarizal N. Effects of Group-I Elements on Output Voltage Generation of ZnO Nanowires Based Nanogenerator; Degradation of Screening Effects by Oxidation of Nanowires. Micromachines. 2022; 13(9):1450. https://doi.org/10.3390/mi13091450
Chicago/Turabian StyleAhmad, Mansoor, M. K. Ahmad, M. H. Mamat, A. Mohamed, A. B. Suriani, N. M. A. N. Ismail, C. F. Soon, and N. Nafarizal. 2022. "Effects of Group-I Elements on Output Voltage Generation of ZnO Nanowires Based Nanogenerator; Degradation of Screening Effects by Oxidation of Nanowires" Micromachines 13, no. 9: 1450. https://doi.org/10.3390/mi13091450
APA StyleAhmad, M., Ahmad, M. K., Mamat, M. H., Mohamed, A., Suriani, A. B., Ismail, N. M. A. N., Soon, C. F., & Nafarizal, N. (2022). Effects of Group-I Elements on Output Voltage Generation of ZnO Nanowires Based Nanogenerator; Degradation of Screening Effects by Oxidation of Nanowires. Micromachines, 13(9), 1450. https://doi.org/10.3390/mi13091450

