Analysis and Suppression of Laser Intensity Fluctuation in a Dual-Beam Optical Levitation System
Abstract
:1. Introduction
2. The TVOF Model
2.1. Optical Forces in a Dual-Beam Optical Trap
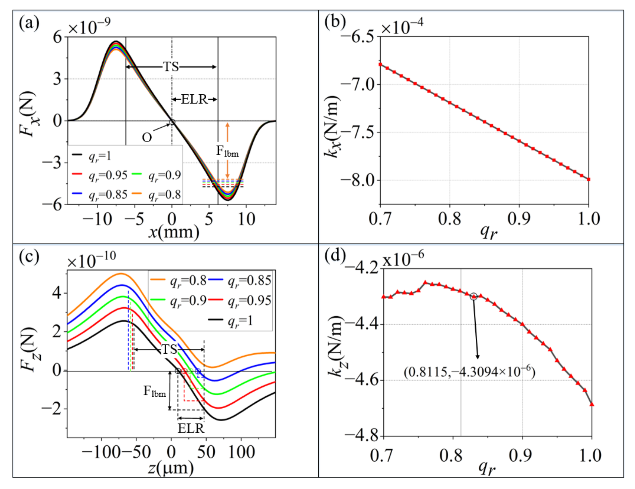
2.2. Effect of Laser Intensity Fluctuation on the Trap Stability
2.3. Effect of Laser Intensity Fluctuation on Particle Movement
2.3.1. Statistical Analysis of the Synchronous Laser Intensity Fluctuations
2.3.2. Dynamic Analysis of Laser Intensity Fluctuation
3. Laser Intensity Fluctuation Suppression
- (a)
 - Set the system initial parameter and AD sampling laser intensive data. The sampling frequency is determined by the particle resonance frequency and the RIN relaxation oscillation, and a sliding smoothing filter is used to eliminate the influence of an abnormal transient singularity signal.
 - (b)
 - The FPGA storage short-time sampling of data is performed in real-time. The RIN data are acquired from real-time sampling, and the mean value in short-time is obtained.
 - (c)
 - Comparing the storage data and real-time data, the suppression effect and control speed is calculated. The factor values to control the RIN data are auto adjusted.
 - (d)
 - The long-term drift factor is adjusted by the history storage and setting parameter.
 - (e)
 - All parameters acting on the final control output are compared with the corresponding value threshold. The output signal controls the AOM to suppress the laser intensity in long-term intensity fluctuation and RIN.
 
4. Experiment
5. Conclusions
Author Contributions
Funding
Data Availability Statement
Conflicts of Interest
References
- Gonzalez-Ballestero, C.; Aspelmeyer, M.; Novotny, L.; Quidant, R.; Romero-Isart, O. Levitodynamics Levitation and Control of Microscopic Objects in Vacuum. Science 2021, 374, eabg3027. [Google Scholar] [CrossRef]
 - Li, N.; Zhu, X.; Li, W.; Fu, Z.; Hu, M.; Hu, H. Review of Optical Tweezers in Vacuum. Front. Inf. Technol. Electron. Eng. 2019, 20, 655–673. [Google Scholar] [CrossRef]
 - Li, T.; Kheifets, S.; Raizen, M.G. Millikelvin cooling of an optically trapped MS in vacuum. Nat. Phys. 2011, 7, 527–530. [Google Scholar] [CrossRef]
 - Gavartin, E.; Verlot, P.; Kippenberg, T.J. A Hybrid on-Chip Optomechanical Transducer for Ultrasensitive Force Measurements. Nat. Nanotechnol. 2012, 7, 509–514. [Google Scholar] [CrossRef] [Green Version]
 - Ranjit, G.; Cunningham, M.; Casey, K.; Geraci, A.A. Zeptonewton Force Sensing with Nanospheres in an Optical Lattice. Phys. Rev. A 2016, 93, 053801. [Google Scholar] [CrossRef] [Green Version]
 - Ranjit, G.; Atherton, D.P.; Stutz, J.H.; Cunningham, M.; Geraci, A.A. Attonewton Force Detection Using MSs in a Dual-Beam Optical Trap in High Vacuum. Phys. Rev. A 2015, 91, 051805. [Google Scholar] [CrossRef] [Green Version]
 - Yin, Z.; Geraci, A.A.; Li, T. Optomechanics of Levitated Dielectric Particles. Int. J. Mod. Phys. B 2013, 27, 1330018. [Google Scholar] [CrossRef] [Green Version]
 - McCumber, D.E. Intensity Fluctuations in the Output of Cw Laser Oscillators. I. Phys. Rev. 1966, 141, 306–322. [Google Scholar] [CrossRef]
 - Savard, T.A.; O’Hara, K.M.; Thomas, J.E. Laser-Noise-Induced Heating in Far-Off Resonance Optical Traps. Phys. Rev. A 1997, 56, R1095–R1098. [Google Scholar] [CrossRef] [Green Version]
 - Gehm, M.E.; O’Hara, K.M.; Savard, T.A.; Thomas, J.E. Dynamics of noise-induced heating in atom traps. Phys. Rev. A. 1998, 58, 3914–3921. [Google Scholar] [CrossRef] [Green Version]
 - Wang, Y.; Wang, K.; Fenton, E.F.; Lin, Y.W.; Ni, K.K.; Hood, J.D. Reduction of Laser Intensity Noise over 1 Mhz Band for Single Atom Trapping. Opt. Express 2020, 28, 31209–31215. [Google Scholar] [CrossRef] [PubMed]
 - Jain, V.; Gieseler, J.; Moritz, C.; Dellago, C.; Quidant, R.; Novotny, L. Direct Measurement of Photon Recoil from a Levitated Nanoparticle. Phys. Rev. Lett. 2016, 116, 243601. [Google Scholar] [CrossRef] [PubMed]
 - Monteiro, F.; Li, W.Q.; Afek, G.; Li, C.L.; Mossmanand, M.; Moore, D.C. Force and Acceleration Sensing with Optically Lev-itated Nanogram Masses at Microkelvin Temperatures. Phys. Rev. A. 2020, 101, 053835. [Google Scholar] [CrossRef]
 - Butts, L.G. Development of a Light Force Accelerometer. Master’s Thesis, MIT, Cambridge, MA, USA, 2009. [Google Scholar]
 - Moore, D.C.; Rider, A.D.; Gratta, G. Search for Millicharged Particles Using Optically Levitated microspheres. Phys. Rev. Lett. 2014, 113, 251801. [Google Scholar] [CrossRef] [Green Version]
 - Callegari, A.; Mijalkov, M.; Gököz, A.B.; Volpe, G. Computational Toolbox for Optical Tweezers in Geometrical Optics. J. Opt. Soc. Am. B 2015, 32, B11–B19. [Google Scholar] [CrossRef] [Green Version]
 - Ricci, F.; Cuairan, M.T.; Conangla, G.P.; Schell, A.W.; Quidant, R. Accurate Mass Measurement of a Levitated Nanomechanical Resonator for Precision Force-Sensing. Nano Lett. 2019, 19, 6711–6715. [Google Scholar] [CrossRef] [Green Version]
 - Duan, L.; Fang, J.; Li, R.; Jiang, L. Light Intensity Stabilization Based on the Second Harmonic of the Photoelastic Modulator Detection in the Atomic Magnetometer. Opt. Express 2015, 23, 32481–32489. [Google Scholar] [CrossRef]
 - Li, C.; Xu, S.; Huang, X.; Xiao, Y.; Feng, Z.; Yang, C.; Zhou, K.; Lin, W.; Gan, J.; Yang, Z. All-Optical Frequency and Intensity Noise Suppression of Single-Frequency Fiber Laser. Opt. Lett. 2015, 40, 1964–1967. [Google Scholar] [CrossRef]
 - Michael, E.A.; Pallanca, L. Broadband near-to-Shot-Noise Suppression of Arbitrary Cw-Laser Excess Intensity Noise in the Gigahertz Range. Opt. Lett. 2015, 40, 1334–1337. [Google Scholar] [CrossRef]
 - Gieseler, J.; Novotny, L.; Quidant, R. Thermal Nonlinearities in a Nanomechanical Oscillator. Nat. Phys. 2013, 9, 806–810. [Google Scholar] [CrossRef] [Green Version]
 - Zhu, X.; Li, N.; Yang, J.; Chen, X.; Hu, H. Revolution of a Trapped Particle in Counter-Propagating Dual-Beam Optical Tweezers under Low Pressure. Opt. Express 2021, 29, 11169–11180. [Google Scholar] [CrossRef] [PubMed]
 









Publisher’s Note: MDPI stays neutral with regard to jurisdictional claims in published maps and institutional affiliations.  | 
© 2022 by the authors. Licensee MDPI, Basel, Switzerland. This article is an open access article distributed under the terms and conditions of the Creative Commons Attribution (CC BY) license (https://creativecommons.org/licenses/by/4.0/).
Share and Cite
Wang, X.; Zhu, Q.; Hu, M.; Li, W.; Chen, X.; Li, N.; Zhu, X.; Hu, H. Analysis and Suppression of Laser Intensity Fluctuation in a Dual-Beam Optical Levitation System. Micromachines 2022, 13, 984. https://doi.org/10.3390/mi13070984
Wang X, Zhu Q, Hu M, Li W, Chen X, Li N, Zhu X, Hu H. Analysis and Suppression of Laser Intensity Fluctuation in a Dual-Beam Optical Levitation System. Micromachines. 2022; 13(7):984. https://doi.org/10.3390/mi13070984
Chicago/Turabian StyleWang, Xia, Qi Zhu, Mengzhu Hu, Wenqiang Li, Xingfan Chen, Nan Li, Xunmin Zhu, and Huizhu Hu. 2022. "Analysis and Suppression of Laser Intensity Fluctuation in a Dual-Beam Optical Levitation System" Micromachines 13, no. 7: 984. https://doi.org/10.3390/mi13070984
APA StyleWang, X., Zhu, Q., Hu, M., Li, W., Chen, X., Li, N., Zhu, X., & Hu, H. (2022). Analysis and Suppression of Laser Intensity Fluctuation in a Dual-Beam Optical Levitation System. Micromachines, 13(7), 984. https://doi.org/10.3390/mi13070984
        
                                                
