An AlGaN/GaN Lateral Bidirectional Current-Regulating Diode with Two Symmetrical Hybrid Ohmic-Schottky Structures
Abstract
:1. Introduction
2. Structure and Mechanism
3. Results and Discussion
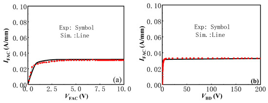
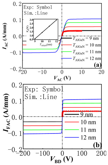
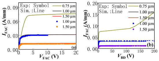
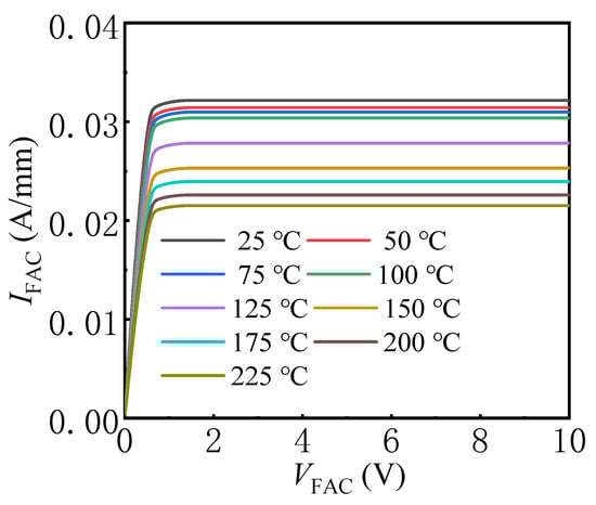
3.1. Static Characteristics of the Proposed AlGaN/GaN Lateral B-CRD
3.2. Switching Characteristics of the Proposed AlGaN/GaN Lateral B-CRD
4. Conclusions
Author Contributions
Funding
Institutional Review Board Statement
Informed Consent Statement
Data Availability Statement
Conflicts of Interest
References
- Chen, K.J.; Häberlen, O.; Lidow, A.; Tsai, C.L.; Ueda, T.; Uemoto, Y.; Wu, Y. GaN-on-Si Power Technology: Devices and Applications. IEEE Trans. Electron Devices 2017, 64, 779–795. [Google Scholar] [CrossRef]
- Shi, Y.; Huang, S.; Bao, Q.; Wang, X.; Wei, K.; Jiang, H.; Li, J.; Zhao, C.; Li, S.; Zhou, Y.; et al. Normally off GaN-on-SiMIS-HEMTs Fabricated with LPCVD-SiNx Passivation and High-Temperature Gate Recess. IEEE Trans. Electron Devices 2016, 63, 614–619. [Google Scholar] [CrossRef]
- Zhu, M.; Song, B.; Qi, M.; Hu, Z.; Nomoto, K.; Yan, X.; Cao, Y.; Johnson, W.; Kohn, E.; Jena, D.; et al. 1.9-kV AlGaN/GaN Lateral Schottky Barrier Diodes on Silicon. IEEE Electron Device Lett. 2015, 36, 375–377. [Google Scholar] [CrossRef]
- Chen, W.; Wong, K.-Y.; Chen, K.J. Single-Chip Boost Converter Using Monolithically Integrated AlGaN/GaN Lateral Field-Effect Rectifier and Normally off HEMT. IEEE Electron Device Lett. 2009, 30, 430–432. [Google Scholar] [CrossRef]
- He, Y.; Qiao, M.; Dai, G.; Yu, L.; Zhang, K.; Zhao, X.; Ou, J.; Zhu, X.; Li, Z.; Tang, Y.; et al. A vertical current regulator diode with trench cathode based on double epitaxial layers for LED lighting. In Proceedings of the IEEE 27th International Symposium on Power Semiconductor Devices & IC’s (ISPSD), Hong Kong, China, 10–14 May 2015. [Google Scholar]
- Current Regulator Diodes, Document 70195, VISHAY, Datasheet. Available online: https://pdf1.alldatasheetcn.com/datasheet-pdf/view/84165/LINEAR/J505.html (accessed on 1 March 2004).
- Loo, K.H.; Lun, W.K.; Tan, S.C. On driving techniques for LEDs: Toward a Generalized methodology. IEEE Trans. Power Electron 2009, 24, 2967–2976. [Google Scholar] [CrossRef]
- Hu, Y.; Jovanovic, M.M. LED Driver with Self-Adaptive Drive Voltage. IEEE Trans. Power Electron. 2008, 23, 3116–3125. [Google Scholar] [CrossRef] [Green Version]
- Kim, J.K.; Lee, J.B.; Moon, G.W. Isolated switch-mode current regulator with integrated two boost LED drivers. IEEE Trans. Ind. Electron 2014, 61, 4649–4653. [Google Scholar] [CrossRef]
- Zhang, k. Research and Design of a Vertical Constant Current Diode; University of Electronic Science and Technology of China: Chengdu, China, 2016; pp. 7–12. [Google Scholar]
- Xu, L.; Fan, K.; Sun, H.; Guo, Z. Improving the External Quantum Efficiency of High-Power GaN-Based Flip-Chip LEDs by Using Sidewall Composite Reflective Micro Structure. Micromachines 2021, 12, 1073. [Google Scholar] [CrossRef] [PubMed]
- Kim, S.-J.; Oh, S.; Lee, K.-J.; Kim, S.; Kim, K.-K. Improved Performance of GaN-Based Light-Emitting Diodes Grown on Si (111) Substrates with NH3 Growth Interruption. Micromachines 2021, 12, 399. [Google Scholar] [CrossRef] [PubMed]
- Zhang, A.; Zhou, Q.; Shi, Y.; Yang, C.; Shi, Y.; Yang, Y.; Zhu, L.; Chen, W.; Li, Z.; Zhang, B. AlGaN/GaN Lateral CRDs with Hybrid Trench Cathodes. IEEE Trans. Electron Devices 2018, 65, 2660. [Google Scholar] [CrossRef]
- Sun, F.; Wang, Y.; Xie, J.; Dou, Q. Research on thermal performance of AC-LED light engine driven by segmented linear constant current driver. In Proceedings of the IEEE 3rd Information Technology and Mechatronics Engineering Conference, Chongqing, China, 3–5 October 2017. [Google Scholar]
- Kuo, C.; Liang, T.; Chen, K.; Chen, J. Design and implementation of high frequency AC-LED driver with digital dimming. In Proceedings of the IEEE International Symposium on Circuits and Systems, Paris, France, 30 May–2 June 2010. [Google Scholar]
- Qiao, M.; Li, L.; Liang, L.; Song, X.; Zhu, X.; Yu, L.; Zhang, B. LED Constant Current Driving Circuit Having Light Modulation Function. Chinese Patent CN201710311508.7, 5 May 2017. [Google Scholar]
- Hwu, K.I.; Tu, W.C. Controllable and Dimmable AC LED Driver Based on FPGA to Achieve High PF and Low THD. IEEE Trans. Ind. Inform. 2013, 9, 1330–1342. [Google Scholar] [CrossRef]
- Hwu, K.I.; Tu, W.C. A high brightness light-emitting diode driver with power factor and total harmonic distortion improved. In Proceedings of the 26th IEEE Applied Power Electronics Conference and Exposition (APEC), Fort Worth, TX, USA, 6–10 March 2011. [Google Scholar]
- Shi, Y.; Chen, W.; Liu, C.; Cui, X.; Li, M.; Xia, Y. Investigation on the Device Geometry-Dependent Reverse Recovery Characteristic of AlGaN/GaN Lateral Field-Effect Rectifier (L-FER). Superlattices Microstruct. 2018, 120, 605–610. [Google Scholar] [CrossRef]
- Wang, Z.; Zhang, B.; Chen, W.; Li, Z. A Closed-Form Charge Control Model for the Threshold Voltage of Depletion- and Enhancement-Mode AlGaN/GaN Devices. IEEE Trans. Electron Devices 2013, 60, 1607. [Google Scholar] [CrossRef]
- Synopsys, Inc.: Sentaurus Device User Guide. 315–326 in Chapter 12, 344–351 in Chapter 13, 687–690 in Chapter 27 (2010.09). Available online: https://solvnet.synopsys.com (accessed on 1 September 2010).











Publisher’s Note: MDPI stays neutral with regard to jurisdictional claims in published maps and institutional affiliations. |
© 2022 by the authors. Licensee MDPI, Basel, Switzerland. This article is an open access article distributed under the terms and conditions of the Creative Commons Attribution (CC BY) license (https://creativecommons.org/licenses/by/4.0/).
Share and Cite
Shi, Y.; Cai, Z.; Huang, Y.; He, Z.; Chen, Y.; Cheng, L.; Lu, G. An AlGaN/GaN Lateral Bidirectional Current-Regulating Diode with Two Symmetrical Hybrid Ohmic-Schottky Structures. Micromachines 2022, 13, 1157. https://doi.org/10.3390/mi13071157
Shi Y, Cai Z, Huang Y, He Z, Chen Y, Cheng L, Lu G. An AlGaN/GaN Lateral Bidirectional Current-Regulating Diode with Two Symmetrical Hybrid Ohmic-Schottky Structures. Micromachines. 2022; 13(7):1157. https://doi.org/10.3390/mi13071157
Chicago/Turabian StyleShi, Yijun, Zongqi Cai, Yun Huang, Zhiyuan He, Yiqiang Chen, Liye Cheng, and Guoguang Lu. 2022. "An AlGaN/GaN Lateral Bidirectional Current-Regulating Diode with Two Symmetrical Hybrid Ohmic-Schottky Structures" Micromachines 13, no. 7: 1157. https://doi.org/10.3390/mi13071157
APA StyleShi, Y., Cai, Z., Huang, Y., He, Z., Chen, Y., Cheng, L., & Lu, G. (2022). An AlGaN/GaN Lateral Bidirectional Current-Regulating Diode with Two Symmetrical Hybrid Ohmic-Schottky Structures. Micromachines, 13(7), 1157. https://doi.org/10.3390/mi13071157

