A General FEM Model for Analysis of Third-Order Nonlinearity in RF Surface Acoustic Wave Devices Based on Perturbation Theory
Abstract
1. Introduction
2. Theoretical Background and Analysis Procedures
2.1. Linear Equations of Piezoelectricity
2.2. Nonlinear Equations of Piezoelectricity
2.3. Derivation of Third-Order Nonlinear Responses
2.4. Analysis Procedures of Nonlinear Signals
3. Simulation Results and Validations Examples
4. Generation Mechanisms and Suppression of Nonlinearity
4.1. Generation Mechanisms of Third-Order Nonlinearity
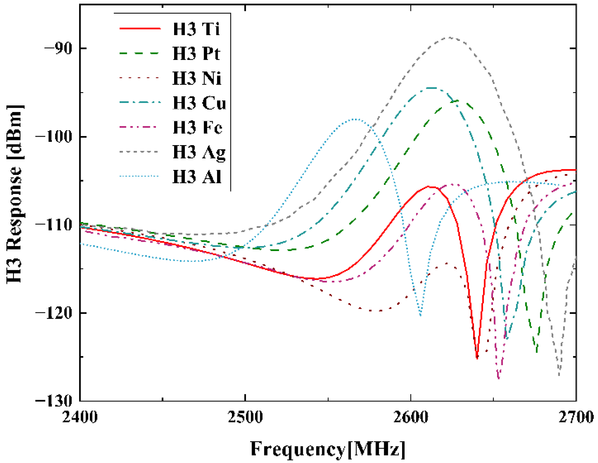
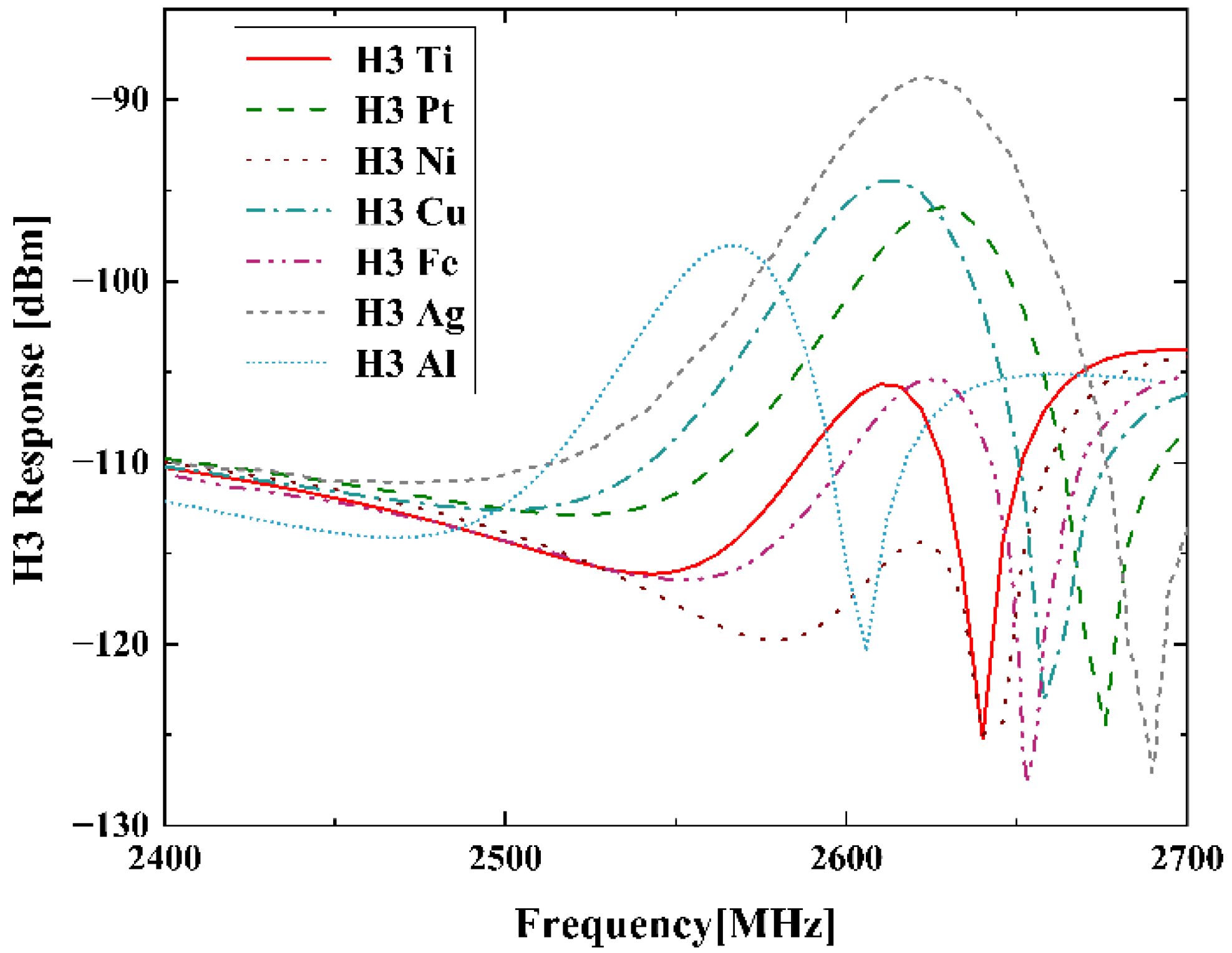
4.2. Nonlinearity Suppression
5. Conclusions
Author Contributions
Funding
Institutional Review Board Statement
Informed Consent Statement
Data Availability Statement
Acknowledgments
Conflicts of Interest
References
- Hagelauer, A.; Fattinger, G.; Ruppel, C.C.; Ueda, M.; Hashimoto, K.-Y.; Tag, A. Microwave acoustic wave devices: Recent advances on architectures, modeling, materials, and packaging. IEEE Trans. Ultrason. Ferroelectr. Freq. Control 2018, 66, 4548–4562. [Google Scholar] [CrossRef]
- Warder, P.; Link, A. Golden age for filter design: Innovative and proven approaches for acoustic filter, duplexer, and multiplexer design. IEEE Microw. Mag. 2015, 16, 60–72. [Google Scholar] [CrossRef]
- Liu, Y.; Cai, Y.; Zhang, Y.; Tovstopyat, A.; Liu, S.; Sun, C. Materials, Design, and Characteristics of Bulk Acoustic Wave Resonator: A Review. Micromachines 2020, 11, 630. [Google Scholar] [CrossRef] [PubMed]
- Hashimoto, K.-Y.; Omori, T.; Maruta, K.; Ahn, C.-J. Nonlinearity in RF front-end as a bottleneck in high speed mobile communications. In Proceedings of the 2017 International Symposium on Nonlinear Theory and Its Applications (NOLTA2017), Cancún, Mexico, 4–7 December 2017; pp. 193–196. [Google Scholar]
- Hashimoto, K.-Y. Theoretical considerations on influence of circuit impedance to IMD2 measurement of radio-frequency bulk acoustic wave duplexers. In Proceedings of the 2010 IEEE International Frequency Control Symposium, Newport Beach, CA, USA, 1–4 June 2010; pp. 146–150. [Google Scholar]
- Collado, C.; Rocas, E.; Mateu, J.; Padilla, A.; O’Callaghan, J.M. Nonlinear distributed model for bulk acoustic wave resonators. IEEE Trans. Microw. Theory Techn. 2009, 57, 3019–3029. [Google Scholar] [CrossRef][Green Version]
- Rocas, E.; Collado, C.; Mateu, J.; Orloff, N.D.; Booth, J.C.; Aigner, R. Electro-thermo-mechanical model for bulk acoustic wave resonators. IEEE Trans. Ultrason. Ferroelectr. Freq. Control 2013, 60, 2389–2403. [Google Scholar] [CrossRef] [PubMed]
- Larson, J.D.; Bradley, P.D.; Wartenberg, S.; Ruby, R.C. Modified Butterworth-Van Dyke circuit for FBAR resonators and automated measurement system. In Proceedings of the 2000 IEEE Ultrasonics Symposium, San Juan, PR, USA, 22–25 October 2000; pp. 863–868. [Google Scholar]
- Shim, D.S.; Feld, D.A. A general nonlinear Mason model and its application to piezoelectric resonators. Int. J. RF Microw. Comput-Aid. Eng. 2011, 21, 486–495. [Google Scholar] [CrossRef]
- Brachtendorf, H.G.; Welsch, G.; Laur, R. Fast simulation of the steady-state of circuits by the harmonic balance technique. In Proceedings of the ISCAS’95-International Symposium on Circuits and Systems, Seattle, WA, USA, 30 April–3 May 1995; pp. 1388–1391. [Google Scholar]
- Gourary, M.; Ulyanov, S.; Zharov, M.; Rusakov, S.; Gullapalli, K.; Mulvaney, B. A robust and efficient oscillator analysis technique using harmonic balance. Comput. Methods Appl. Mech. Engrg. 2000, 181, 451–466. [Google Scholar] [CrossRef]
- Hashimoto, K.-Y.; Li, X.; Bao, J. Perturbation analysis of nonlinear signal generation in radio frequency bulk acoustic wave resonators. In Proceedings of the 2017 Joint Conference of the European Frequency and Time Forum and IEEE International Frequency Control Symposium (EFTF/IFCS), Besancon, France, 9–13 July 2017; pp. 538–541. [Google Scholar]
- Hashimoto, K.-Y.; Li, X.; Bao, J.; Qiu, L.; Omori, T. Perturbation Analysis of Nonlinearity in Radio Frequency Bulk Acoustic Wave Resonators Using Mass-Spring Model. IEEE Trans. Ultrason. Ferroelectr. Freq. Control. 2020, 67, 1479–1484. [Google Scholar] [CrossRef] [PubMed]
- Chen, L.; Solal, M.; Briot, J.; Hester, S.; Malocha, D.; Wahid, P. A nonlinear mason model for 3 rd order harmonic and intermodulation simulations of SAW duplexers. In Proceedings of the 2012 IEEE International Ultrasonics Symposium, Dresden, Germany, 7–10 October 2012; pp. 56–60. [Google Scholar]
- Chen, L.; Briot, J.; Girard, P.; Ledesma, C.; Solal, M.; Cheema, K.; Malocha, D.; Wahid, P. Third order nonlinear distortion of SAW duplexers in UMTS system. In Proceedings of the 2010 IEEE International Ultrasonics Symposium, San Diego, CA, USA, 11–14 October 2010; pp. 283–286. [Google Scholar]
- Nakagawa, R.; Suzuki, T.; Shimizu, H.; Kyoya, H.; Nako, K.; Hashimoto, K.-Y. Discussion about generation mechanisms of third-order nonlinear signals in surface acoustic wave resonators based on simulation. Jpn. J. Appl. Phys. 2016, 55, 07KD02. [Google Scholar] [CrossRef]
- Chauhan, V.; Mayer, M.; Ruile, W.; Ebner, T.; Bleyl, I.; Wagner, K.; Weigel, R.; Hagelauer, A. A P-Matrix Model for Third Order Electric and Acoustic Nonlinearities in TC-SAW Devices. In Proceedings of the 2018 IEEE International Ultrasonics Symposium (IUS), Kobe, Japan, 22–25 October 2018. [Google Scholar]
- Forster, T.; Mayer, M.; Chauhan, V.; Ebner, T.; Wagnery, K.-C.; Hagelauer, A. A general P-matrix model to calculate second-order nonlinearity in TC-SAW devices. In Proceedings of the 2020 IEEE International Ultrasonics Symposium (IUS), Las Vegas, NV, USA, 7–11 September 2020; pp. 1–4. [Google Scholar]
- Mayer, A.; Mayer, E.; Mayer, M.; Jäger, P.; Ruile, W.; Bleyl, I.; Wagner, K. Full 2D-FEM calculations of third-order intermodulations in SAW devices. In Proceedings of the 2016 IEEE International Ultrasonics Symposium (IUS), Tours, France, 18–21 September 2016; pp. 1–4. [Google Scholar]
- Guan, P.; Shi, R.; Yang, Y.; Qin, P.; Han, T. Mechanisms of Third-order Harmonic in TC-SAW Resonators Using a Nonlinear FEM Model. In Proceedings of the 2021 IEEE International Ultrasonics Symposium (IUS), Xi’an, China, 11–16 September 2021; pp. 1–4. [Google Scholar]
- Pang, X.; Yong, Y.K. Simulation of Nonlinear Resonance, Amplitude-Frequency, and Harmonic Generation Effects in SAW and BAW Devices. IEEE Trans. Ultrason. Ferroelectr. Freq. Control 2020, 67, 422–430. [Google Scholar] [CrossRef] [PubMed]
- Li, B.; Zhang, Q.; Liu, H.; Zhao, X.; Fu, S.; Wang, W. A General Fem model for Analysis of Nonlinearity in RF BAW Devices. In Proceedings of the 2020 15th Symposium on Piezoelectrcity, Acoustic Waves and Device Applications (SPAWDA), Zhengzhou, China, 16–19 April 2021; pp. 54–57. [Google Scholar]
- Bajenitchev, A. A numerical procedure for a non-linear elastic problem for incompressible material based on a perturbation method. Comput. Methods Appl. Mech. Engrg. 1996, 131, 31–39. [Google Scholar] [CrossRef]
- Auld, B.A. Thermodynamics of solids. In Acoustic Fields and Waves in Solids; Wiley: New York, NY, USA, 1973; Volume 1, pp. 275–278. [Google Scholar]
- Nakagawa, R.; Kyoya, H.; Shimizu, H.; Kihara, T.; Hashimoto, K.-Y. Study on generation mechanisms of second-order nonlinear signals in surface acoustic wave devices and their suppression. Jpn. J. Appl. Phys. 2015, 54, 07HD12. [Google Scholar] [CrossRef]
- Nakagawa, R.; Suzuki, T.; Shimizu, H.; Kyoya, H.; Hashimoto, K.-Y. Influence of electrode structure on generation of third-order nonlinearity in surface acoustic wave devices. Jpn. J. Appl. Phys. 2015, 54, 07HD11. [Google Scholar] [CrossRef]








| Electrode Type | Cu Thickness (nm) | Ti Thickness (nm) |
|---|---|---|
| A | 136.5 | 15 |
| B | 100 | 87.6 |
| C | 80 | 127.3 |
| Metal | [GPa] | [GPa] | [GPa] | |
|---|---|---|---|---|
| Al | 70.00 | 0.33 | 51.08 | 26.32 |
| Ag | 83.00 | 0.37 | 86.22 | 30.29 |
| Cu | 110.00 | 0.35 | 95.06 | 40.74 |
| Ti | 115.70 | 0.32 | 78.53 | 43.79 |
| Fe | 152.00 | 0.27 | 70.25 | 59.84 |
| Pt | 168.00 | 0.38 | 192.75 | 60.87 |
| Ni | 219.00 | 0.31 | 136.38 | 83.59 |
Publisher’s Note: MDPI stays neutral with regard to jurisdictional claims in published maps and institutional affiliations. |
© 2022 by the authors. Licensee MDPI, Basel, Switzerland. This article is an open access article distributed under the terms and conditions of the Creative Commons Attribution (CC BY) license (https://creativecommons.org/licenses/by/4.0/).
Share and Cite
Li, B.; Zhang, Q.; Zhao, X.; Zhi, S.; Qiu, L.; Fu, S.; Wang, W. A General FEM Model for Analysis of Third-Order Nonlinearity in RF Surface Acoustic Wave Devices Based on Perturbation Theory. Micromachines 2022, 13, 1116. https://doi.org/10.3390/mi13071116
Li B, Zhang Q, Zhao X, Zhi S, Qiu L, Fu S, Wang W. A General FEM Model for Analysis of Third-Order Nonlinearity in RF Surface Acoustic Wave Devices Based on Perturbation Theory. Micromachines. 2022; 13(7):1116. https://doi.org/10.3390/mi13071116
Chicago/Turabian StyleLi, Baichuan, Qiaozhen Zhang, Xiangyong Zhao, Shaotao Zhi, Luyan Qiu, Sulei Fu, and Weibiao Wang. 2022. "A General FEM Model for Analysis of Third-Order Nonlinearity in RF Surface Acoustic Wave Devices Based on Perturbation Theory" Micromachines 13, no. 7: 1116. https://doi.org/10.3390/mi13071116
APA StyleLi, B., Zhang, Q., Zhao, X., Zhi, S., Qiu, L., Fu, S., & Wang, W. (2022). A General FEM Model for Analysis of Third-Order Nonlinearity in RF Surface Acoustic Wave Devices Based on Perturbation Theory. Micromachines, 13(7), 1116. https://doi.org/10.3390/mi13071116

