Simultaneous Measurement of Temperature and Refractive Index Using Michelson Interferometer Based on Waist-Enlarged Fiber Bitaper
Abstract
:1. Introduction
2. Principle and Design
3. Experiment and Discussion
3.1. Refractive Index Response Experiment
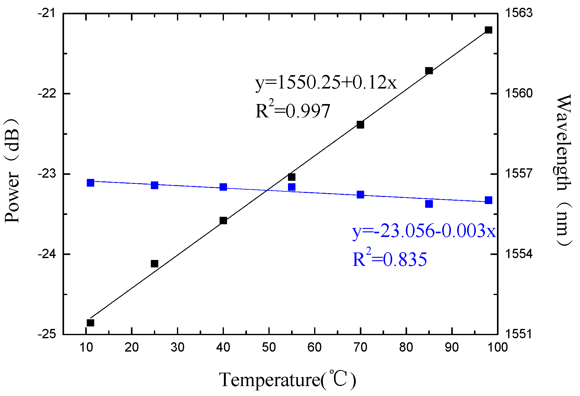
3.2. Temperature Response Experiment
4. Conclusions
Author Contributions
Funding
Conflicts of Interest
References
- Høvik, J.; Yadav, M.; Noh, J.W.; Aksnes, A. Waveguide asymmetric long-period grating couplers as refractive index sensors. Opt. Express 2020, 28, 23936–23949. [Google Scholar] [CrossRef] [PubMed]
- Fukushima, K.; Bui, Q.H.; Nakaya, K.; Soares, M.G.; Wada, A.; Tanaka, S.; Ito, F. EDF ring laser using cascaded-chirped long period fiber grating for temperature measurement. Opt. Express 2020, 28, 13081–13090. [Google Scholar] [CrossRef] [PubMed]
- Yang, H.; Li, Y.; Li, X. Intensity-modulated refractive index sensor based on the side modes of fiber Bragg grating. Opt. Commun. 2022, 505, 127319. [Google Scholar] [CrossRef]
- Laffont, G.; Cotillard, R.; Roussel, N.; Desmarchelier, R.; Rougeault, S. Temperature resistant fiber Bragg gratings for on-line and structural health monitoring of the next-generation of nuclear reactors. Sensors 2018, 18, 1791. [Google Scholar] [CrossRef] [Green Version]
- Kappel, E.; Prussak, R.; Wiedemann, J. On a simultaneous use of fiber-Bragg-gratings and strain-gages to determine the stress-free temperature Tsf during GLARE manufacturing. Compos. Struct. 2019, 227, 111279. [Google Scholar] [CrossRef]
- Saimon, S.M.; Noor, M.Y.M.; Abdullah, A.S.; Salim, M.R.; Ibrahim, M.H.; Azmi, A.I.; Ngajikin, N.H.; Ahmad, M.H.; Othman, A.F. Simultaneous measurement of high refractive index and temperature based on SSRS-FBG. IEEE Photonics Technol. Lett. 2021, 33, 715–718. [Google Scholar] [CrossRef]
- Gao, X.; Ning, T.; Zheng, J.; Li, J.; Pei, L.; Zhang, C.; Liu, L.; He, X. Simultaneous measurement of refractive index, strain, and temperature based on a Mach-Zehnder interferometer with hybrid structure optical fiber. Appl. Opt. 2019, 58, 8187–8193. [Google Scholar] [CrossRef]
- Wu, B.; Bao, H.; Zhou, Y.; Liu, Y.; Zheng, J. Simultaneous measurement of refractive index and temperature based on bent core-offset in-line fiber Mach-Zehnder interferometer. Adv. Sens. Syst. Appl. 2021, 11901, 72–78. [Google Scholar] [CrossRef]
- Marrujo-García, S.; Hernández-Romano, I.; Torres-Cisneros, M.; May-Arrioja, D.A.; Minkovich, V.P.; Monzón-Hernández, D. Temperature-independent curvature sensor based on in-fiber Mach-Zehnder interferometer using hollow-core fiber. J. Lightwave Technol. 2020, 38, 4166–4173. [Google Scholar] [CrossRef]
- Harvey, C.M.; Mühlberger, K.; Fokine, M. Mach-Zehnder interferometer for in-situ non-contact temperature monitoring during thermal processing of an optical fibre. J. Lightwave Technol. 2021, 39, 7223–7230. [Google Scholar] [CrossRef]
- Zhang, H.; Cong, B.; Zhang, F.; Qi, Y.; Hu, T. Simultaneous measurement of refractive index and temperature by Mach–Zehnder cascaded with FBG sensor based on multi-core microfiber. Opt. Commun. 2021, 493, 126985. [Google Scholar] [CrossRef]
- Wang, S.; Yang, Y.; Niu, P.; Wu, S.; Liu, S.; Jin, R.B.; Lu, P.; Hu, X.; Dai, N. Fiber tip Michelson interferometer for temperature sensing based on polymer-filled suspended core fiber. Opt. Laser Technol. 2021, 141, 107147. [Google Scholar] [CrossRef]
- Zhao, Y.; Dai, M.; Chen, Z.; Liu, X.; Gandhi, M.A.; Li, Q.; Fu, H.Y. Ultrasensitive temperature sensor with Vernier-effect improved fiber Michelson interferometer. Opt. Express 2021, 29, 1090–1101. [Google Scholar] [CrossRef] [PubMed]
- Wang, J.; Liu, B.; Wu, Y.; Mao, Y.; Zhao, L.; Sun, T.; Nan, T. A novel fiber in-line Michelson interferometer based on end face packaging for temperature and refractive index measurement. Optik 2019, 194, 163094. [Google Scholar] [CrossRef]
- Qi, K.; Zhang, Y.; Sun, J.; Yi, G. All-Fiber high temperature and refractive index sensor based on three microspheres array Michelson interferometer. Opt. Laser Technol. 2020, 129, 106300. [Google Scholar] [CrossRef]
- Zheng, J.; Liu, B.; Zhao, L.; Mao, Y.; Han, Y.; Nan, T.; Wu, Y.; Wang, J.; Wang, T.; Zhang, Y. Simultaneous transverse load, refractive index, and high-temperature sensor based on michelson interferometer. Opt. Fiber Technol. 2021, 67, 102686. [Google Scholar] [CrossRef]
- Zhang, Y.; Wu, Y.; Han, Y.; Mao, Y.; Wu, J.; Zhao, L.; Tang, R.; Ren, J.; Liu, B. Simultaneous temperature and refractive index sensor based on an L-like Michelson interferometer. Appl. Opt. 2021, 60, 10101–10108. [Google Scholar] [CrossRef]
- Ruan, S. High-Temperature Measurement of a Fiber Probe Sensor Based on the Michelson Interferometer. Sensors 2021, 22, 289. [Google Scholar] [CrossRef]
- Shao, M.; Zhang, R.; Gao, H.; Liu, Y.; Qiao, X.; Lin, Y. A High-Sensitivity Low-Temperature Sensor Based on Michelson Interferometer in Seven-Core Fiber. IEEE Photonics Technol. Lett. 2021, 33, 1293–1296. [Google Scholar] [CrossRef]
- Yu, R.; Wang, C.; Benabid, F.; Chiang, K.S.; Xiao, L. Robust mode matching between structurally dissimilar optical fiber waveguides. ACS Photonics 2021, 8, 857–863. [Google Scholar] [CrossRef]
- Wang, C.; Yu, R.; Debord, B.; Gérôme, F.; Benabid, F.; Chiang, K.S.; Xiao, L. Ultralow-loss fusion splicing between negative curvature hollow-core fibers and conventional SMFs with a reverse-tapering method. Opt. Express 2021, 29, 22470–22478. [Google Scholar] [CrossRef] [PubMed]
- Liang, Y.; Yan, G.; He, S. Enlarged-taper tailored Fiber Bragg grating with polyvinyl alcohol coating for humidity sensing. In Proceedings of the 2015 International Conference on Optical Instruments and Technology: Optical Sensors and Applications, International Society for Optics and Photonics, Beijing, China, 10 August 2015; Volume 9620, p. 962007. [Google Scholar] [CrossRef]
- Yao, Q. Optics Course, 2nd ed.; Higher Education Press: Beijing, China, 1989; Volume 94, p. 151. ISBN 9787040239157. [Google Scholar]
- Bhardwaj, V.; Singh, V.K. Fabrication and characterization of cascaded tapered Mach-Zehnder interferometer for refractive index sensing. Sens. Actuators A Phys. 2016, 244, 30–34. [Google Scholar] [CrossRef]
- Kapany, N.S. Fiber Optics Principles and Applications. In Chapter E Challenge of Purchasing & Supply Management Leenders; Academic Press: Cambridge, MA, USA, 1967; Volume 1, p. 564. [Google Scholar] [CrossRef]
- Wang, Q.; Wei, W.; Guo, M.; Zhao, Y. Optimization of cascaded fiber tapered Mach-Zehnder interferometer and refractive index sensing technology. Sens. Actuators B Chem. 2016, 222, 159–165. [Google Scholar] [CrossRef]
- Li, H.; Fu, H.; Shao, M.; Zhao, N.; Qiao, X.; Liu, Y.; Li, Y.; Yan, X. In-fiber Mach-Zehnder interferometer based on fiber core etched air-bubble and core diameter mismatch for liquid refractive index sensing. Acta Phys. Sin. 2013, 62, 214209. [Google Scholar] [CrossRef]
- Pang, F.; Liang, W.; Xiang, W.; Chen, N.; Zeng, X.; Chen, Z.; Wang, T. Temperature-insensitivity bending sensor based on cladding-mode resonance of special optical fiber. IEEE Photonics Technol. Lett. 2008, 21, 76–78. [Google Scholar] [CrossRef]
- Wang, Z. Humidity has a bearing on the refractivity of air. J. Dalian Marit. Univ. 1986, 4, 107–115. [Google Scholar] [CrossRef]
- Greub, W.H. Linear Algebra; Springer: Berlin/Heidelberg, Germany, 1981. [Google Scholar] [CrossRef]












| X | nLP0x | Δneff |
|---|---|---|
| 1 | 1.4658679 | 0 |
| 2 | 1.4627498 | 0.0031181 |
| 3 | 1.4625833 | 0.0032846 |
| 4 | 1.4623038 | 0.0035641 |
| 5 | 1.4619147 | 0.0039532 |
| 6 | 1.4614194 | 0.0044485 |
| 7 | 1.4608213 | 0.0050466 |
| 8 | 1.4601245 | 0.0057434 |
| 9 | 1.4593324 | 0.0065355 |
Publisher’s Note: MDPI stays neutral with regard to jurisdictional claims in published maps and institutional affiliations. |
© 2022 by the authors. Licensee MDPI, Basel, Switzerland. This article is an open access article distributed under the terms and conditions of the Creative Commons Attribution (CC BY) license (https://creativecommons.org/licenses/by/4.0/).
Share and Cite
Zhao, N.; Wang, Z.; Zhang, Z.; Lin, Q.; Yao, K.; Zhu, L.; Tian, B.; Zhao, L.; Yang, P.; Jiang, Z. Simultaneous Measurement of Temperature and Refractive Index Using Michelson Interferometer Based on Waist-Enlarged Fiber Bitaper. Micromachines 2022, 13, 658. https://doi.org/10.3390/mi13050658
Zhao N, Wang Z, Zhang Z, Lin Q, Yao K, Zhu L, Tian B, Zhao L, Yang P, Jiang Z. Simultaneous Measurement of Temperature and Refractive Index Using Michelson Interferometer Based on Waist-Enlarged Fiber Bitaper. Micromachines. 2022; 13(5):658. https://doi.org/10.3390/mi13050658
Chicago/Turabian StyleZhao, Na, Zelin Wang, Zhongkai Zhang, Qijing Lin, Kun Yao, Liangquan Zhu, Bian Tian, Libo Zhao, Ping Yang, and Zhuangde Jiang. 2022. "Simultaneous Measurement of Temperature and Refractive Index Using Michelson Interferometer Based on Waist-Enlarged Fiber Bitaper" Micromachines 13, no. 5: 658. https://doi.org/10.3390/mi13050658
APA StyleZhao, N., Wang, Z., Zhang, Z., Lin, Q., Yao, K., Zhu, L., Tian, B., Zhao, L., Yang, P., & Jiang, Z. (2022). Simultaneous Measurement of Temperature and Refractive Index Using Michelson Interferometer Based on Waist-Enlarged Fiber Bitaper. Micromachines, 13(5), 658. https://doi.org/10.3390/mi13050658

