Design of a Four-Port Flexible UWB-MIMO Antenna with High Isolation for Wearable and IoT Applications
Abstract
1. Introduction
2. Antenna Design
2.1. Single Element Antenna
2.2. Four-Element Flexible UWB Antenna
2.3. Isolation Structure Analysis
3. Simulated and Measured Results
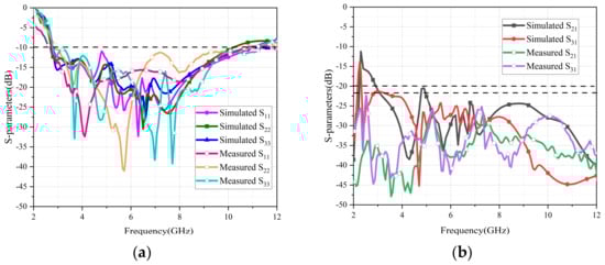
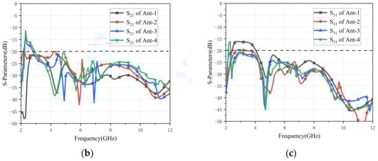
3.1. S-Parameter
3.2. Radiation Patterns
4. Diversity Performance
4.1. ECC and DG of the Flexible MIMO Antenna
4.2. Gain and Radiation Efficiency
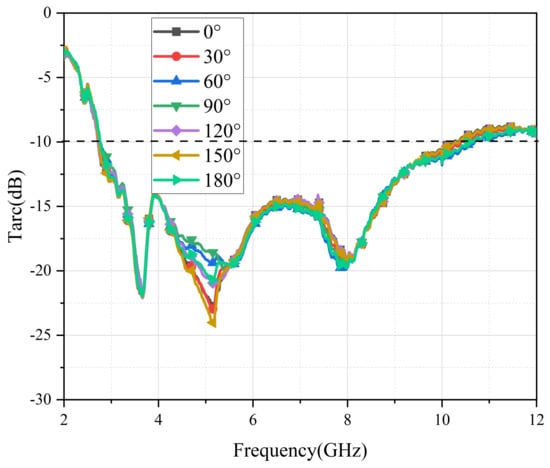
4.3. Total Active Reflection Coefficient (TARC)
5. Flexible Study
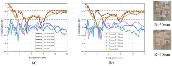
5.1. Flexibility Analysis
5.2. Analysis of On-Body Condition
6. Performance Comparison
7. Conclusions
Author Contributions
Funding
Data Availability Statement
Conflicts of Interest
References
- Federal Communications Commission. Report and Order, Revision of Part 15 of the Commission’s Rules Regarding Ultra Wideband Transmission Systems; Federal Communications Commissions: Washington, DC, USA, 2002; Tech. Rep. FCC02-48.
- Song, Y.; Guo, N.; Qiu, R.C. Towards a Real-Time UWB MIMO Testbed for Sensing and Communications. In Proceedings of the IEEE Southeastcon, Nashville, TN, USA, 17–20 March 2011; pp. 59–63. [Google Scholar]
- Rahman, M.; Khan, W.T.; Imran, M. Penta-Notched UWB Antenna with Sharp Frequency Edge Selectivity Using Combination of SRR, CSRR, and DGS. AEU-Int. J. Electron. Commun. 2018, 93, 116–122. [Google Scholar] [CrossRef]
- Dwivedi, R.P.; Kommuri, U.K. Compact High Gain UWB Antenna Using Fractal Geometry and UWB-AMC. Microw. Opt. Technol. Lett. 2019, 61, 787–793. [Google Scholar] [CrossRef]
- Alsaif, H.; Usman, M.; Chughtai, M.T. Multiple Input Multiple Output Ultra Wide Band Antenna System for Short Range Wireless Communication. J. Appl. Sci. Eng. 2019, 22, 379–384. [Google Scholar]
- Kumar, A.; Ansari, A.Q.; Kanaujia, B.K.; Kishor, J.; Kumar, S. An Ultra-Compact Two-Port UWB-MIMO Antenna with Dual Band-Notched Characteristics. AEU-Int. J. Electron. Commun. 2020, 114, 152997. [Google Scholar] [CrossRef]
- Arun, H. CPW Fed Circularly Polarized Wideband Pie-Shaped Monopole Antenna for Multi-Antenna Techniques. COMPEL-Int. J. Comput. Math. Electr. Electron. Eng. 2018, 37, 2109–2121. [Google Scholar] [CrossRef]
- Tan, X.; Wang, W.; Wu, Y.; Liu, Y.; Kishk, A.A.; Wang, H. Enhancing Isolation and Bandwidth in Planar Monopole Multiple Antennas Using Thin Inductive Line Resonator. AEU-Int. J. Electron. Commun. 2020, 117, 153094. [Google Scholar] [CrossRef]
- Kulkarni, J.; Desai, A.; Sim, C.Y.D. Wideband Four-Port MIMO Antenna Array with High Isolation for Future Wireless Systems. AEU-Int. J. Electron. Commun. 2021, 128, 153507. [Google Scholar] [CrossRef]
- Srivastava, G.; Mohan, A.; Chakraborty, A. A Compact Multidirectional UWB MIMO Slot Antenna with High Isolation. Microw. Opt. Technol. Lett. 2017, 59, 243–248. [Google Scholar] [CrossRef]
- Saad, A.A.R.; Mohamed, H.A. Conceptual Design of a Compact Four-Element UWB MIMO Slot Antenna Array. IET Microw. Antennas Propag. 2019, 13, 208–215. [Google Scholar] [CrossRef]
- Choudhary, N.; Malhotra, H.; Kumar, N.; Sharma, M. Compact Cross Elliptical Patch Antenna with Wideband Characteristics for IoT Applications. In Proceedings of the International Conference on Reliability, Infocom Technologies and Optimization (Trends and Future Directions) (ICRITO), Noida, India, 3–4 September 2021; pp. 1–4. [Google Scholar]
- Dong, J.; Li, Q.; Deng, L. Compact Planar Ultrawideband Antennas with 3.5/5.2/5.8 GHz Triple Band-Notched Characteristics for Internet of Things Applications. Sensors 2017, 17, 349. [Google Scholar] [CrossRef]
- Mustaqim, M.; Khawaja, B.A.; Chattha, H.T.; Shafique, K.; Zafar, M.J.; Jamil, M. Ultra-Wideband Antenna for Wearable Internet of Things Devices and Wireless Body Area Network Applications. Int. J. Numer. Model. Electron. Netw. Devices Fields 2019, 32, e2590. [Google Scholar] [CrossRef]
- Al-Sehemi, A.; Al-Ghamdi, A.; Dishovsky, N.; Atanasova, G.; Atanasov, N. A Flexible Broadband Antenna for IoT Applications. Int. J. Microw. Wirel. Technol. 2020, 12, 531–540. [Google Scholar] [CrossRef]
- Kirtania, S.G.; Younes, B.A.; Hossain, A.R.; Karacloak, T.; Sekhar, P.K. CPW-Fed Flexible Ultra-Wideband Antenna for IoT Applications. Micromachines 2021, 12, 453. [Google Scholar] [CrossRef] [PubMed]
- Maurya, N.K.; Bhattacharya, R. Design of Compact Dual-Polarized Multiband MIMO Antenna Using Near-Field for IoT. AEU-Int. J. Electron. Commun. 2020, 117, 153091. [Google Scholar] [CrossRef]
- Palanisamy, P.; Subramani, M. Design of Metallic Via Based Octa-Port UWB MIMO Antenna for IoT Applications. IETE J. Res. 2021, 1–11. [Google Scholar] [CrossRef]
- Mathur, R.; Dwari, S. Frequency and Port Reconfigurable MIMO Antenna for UWB/5G/WLAN Band IoT Applications. Int. J. RF Microw. Comput. Aided Eng. 2021, 31, e22692. [Google Scholar] [CrossRef]
- Raad, H.K. An UWB Antenna Array for Flexible IoT Wireless Systems. Prog. Electromagn. Res. 2018, 162, 109–121. [Google Scholar] [CrossRef]
- Biswas, A.K.; Chakraborty, U. Investigation on Decoupling of Wide Band Wearable Multiple-Input Multiple-Output Antenna Elements Using Microstrip Neutralization Line. Int. J. RF Microw. Comput. Aided Eng. 2019, 29, e21723. [Google Scholar] [CrossRef]
- Li, W.; Hei, Y.; Grubb, P.M.; Shi, X.; Chen, R.T. Compact Inkjet-Printed Flexible MIMO Antenna for UWB Applications. IEEE Access 2018, 6, 50290–50298. [Google Scholar] [CrossRef]
- Desai, A.; Kulkarni, J.; Kamruzzaman, M.M.; Hubálovský, Š.; Hsu, H.T.; Ibrahim, A.A. Interconnected CPW Fed Flexible 4-Port MIMO Antenna for UWB, X, and Ku Band Applications. IEEE Access 2022, 10, 57641–57654. [Google Scholar] [CrossRef]
- Ibrahim, A.A.; Ahmed, M.I.; Ahmed, M.F. A Systematic Investigation of Four Ports MIMO Antenna Depending on Flexible Material for UWB Networks. Sci. Rep. 2022, 12, 14351. [Google Scholar] [CrossRef] [PubMed]
- Blanch, S.; Romeu, J.; Corbella, I. Exact Representation of Antenna System Diversity Performance from Input Parameter Description. Electron. Lett. 2003, 39, 705–707. [Google Scholar] [CrossRef]
- Kannappan, L.; Palaniswamy, S.K.; Wang, L.; Kanagasabai, M.; Kumar, S.; Alsath, M.G.N.; Rao, T.R. Quad-Port Multiservice Diversity Antenna for Automotive Applications. Sensors 2021, 21, 8238. [Google Scholar] [CrossRef] [PubMed]
- Li, Y.J.; Lu, Z.Y.; Yang, L.S. CPW-Fed Slot Antenna for Medical Wearable Applications. IEEE Access 2019, 7, 42107–42112. [Google Scholar] [CrossRef]


















| L1 | L2 | FW | R1 | W1 | W2 | Hd |
|---|---|---|---|---|---|---|
| 30 | 12 | 1.56 | 5.9 | 22 | 9.5 | 8 |
| Frequency | 4 GHz | 6 GHz | 8 GHz |
|---|---|---|---|
| 10 g Tissue (W/kg) (H =3 mm) | 1.04 | 0.59 | 0.89 |
| 10 g Tissue (W/kg) (H =5 mm) | 0.86 | 0.45 | 0.79 |
| Ref. | Substrate | Bands (GHz) | Size (mm3) | Isolation (dB) | Port Number | ECC | DG | Feeder Method |
|---|---|---|---|---|---|---|---|---|
| [10] | FR4 | 3.1–10.8 | 24 × 24 × 0.8 | <−20 | 4 | <0.008 | NA | Microstrip feed |
| [11] | FR4 | 2.94–14 | 40 × 40 × 1.575 | <−17 | 4 | <0.03 | NA | Microstrip feed |
| [15] | Rubber | 0.856–2.513 | 92 × 121.5 × 2 | NA | 1 | NA | NA | Microstrip feed |
| [16] | PET | 3.04–10.7 15.18–18 | 47 × 25 × 0.135 | NA | 1 | NA | NA | CPW feed |
| [18] | FR4 | 3–12 | 54 × 54 × 1.6 | <−20 | 8 | <0.009 | 9.9 | Microstrip feed |
| [20] | Kapton polyimide | 3.1–13 | 100 × 22 × 0.508 | <−23 | 2 | <0.01 | 9.98 | CPW feed |
| [21] | Jeans textile | 3.1–10.6 | 30 × 50 × 1.5 | <−32 | 2 | <0.12 | 9.8 | Microstrip feed |
| [22] | Kapton polyimide | 2.9–12 | 22 × 33 × 0.125 | <−15 | 2 | <0.3 | NA | Microstrip feed |
| [23] | FR4 | 3.89–17.09 | 56 × 68 × 0.2 | <−15 | 4 | <0.02 | NA | Microstrip feed |
| [24] | Roger3003 | 3.5–11 | 54 × 54 × 0.13 | <−17 | 4 | <0.03 | NA | CPW feed |
| Prop. | LCP | 2.9–10.86 | 65 × 65 × 0.1 | <−22 | 4 | <0.01 | 9.999 | CPW feed |
Publisher’s Note: MDPI stays neutral with regard to jurisdictional claims in published maps and institutional affiliations. |
© 2022 by the authors. Licensee MDPI, Basel, Switzerland. This article is an open access article distributed under the terms and conditions of the Creative Commons Attribution (CC BY) license (https://creativecommons.org/licenses/by/4.0/).
Share and Cite
Zhang, J.; Du, C.; Wang, R. Design of a Four-Port Flexible UWB-MIMO Antenna with High Isolation for Wearable and IoT Applications. Micromachines 2022, 13, 2141. https://doi.org/10.3390/mi13122141
Zhang J, Du C, Wang R. Design of a Four-Port Flexible UWB-MIMO Antenna with High Isolation for Wearable and IoT Applications. Micromachines. 2022; 13(12):2141. https://doi.org/10.3390/mi13122141
Chicago/Turabian StyleZhang, Jie, Chengzhu Du, and Ruohui Wang. 2022. "Design of a Four-Port Flexible UWB-MIMO Antenna with High Isolation for Wearable and IoT Applications" Micromachines 13, no. 12: 2141. https://doi.org/10.3390/mi13122141
APA StyleZhang, J., Du, C., & Wang, R. (2022). Design of a Four-Port Flexible UWB-MIMO Antenna with High Isolation for Wearable and IoT Applications. Micromachines, 13(12), 2141. https://doi.org/10.3390/mi13122141

