Nominal-Model-Based Sliding-Mode Control for Traveling-Wave Ultrasonic Motor
Abstract
1. Introduction
2. Modeling of TWUSMs
2.1. Mechanism of TWUSMs
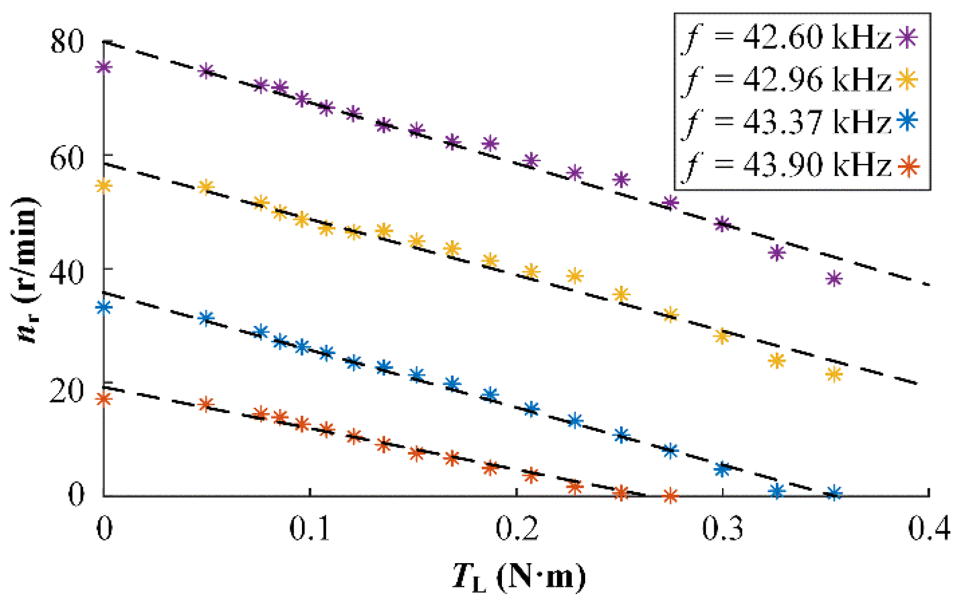
2.2. Simplified Speed Model of TWUSMs
3. Controller Design
3.1. Linear Controller for the Nominal Model
3.2. Sliding-Mode Controller on the Nominal Model
3.3. Stability Analysis
3.4. Control Law of Amplitude-Frequency Coordination
4. Simulations and Experiments
4.1. Dynamic Response of Nominal Model
4.2. Simulation for Speed Control on NMSMC
4.3. Experiments
5. Conclusions
Author Contributions
Funding
Data Availability Statement
Conflicts of Interest
References
- Zeng, W.J.; Pan, S.; Chen, L.; Xu, Z.F.; Xiao, Z.; Zhang, J.J. Research on ultra-low speed driving method of traveling wave ultrasonic motor for CMG. Ultrasonics 2020, 103, 106088. [Google Scholar] [CrossRef] [PubMed]
- Huang, J.H.; Sun, D. Performance Analysis of a Travelling-Wave Ultrasonic Motor under Impact Load. Micromachines 2020, 11, 689. [Google Scholar] [CrossRef] [PubMed]
- Lau, J.Y.; Liang, W.Y.; Tan, K.K. Adaptive sliding mode enhanced disturbance observer-based control of surgical device. ISA Trans. 2019, 90, 178–188. [Google Scholar] [CrossRef] [PubMed]
- Tan, K.K.; Liang, W.Y.; Huang, S.; Pham, L.P.; Chen, S.; Gan, C.W.; Lim, H.Y. Precision Control of Piezoelectric Ultrasonic Motor for Myringotomy with Tube Insertion. J. Dyn. Sys. Meas. Control 2015, 137, 064504. [Google Scholar]
- Gao, X.Y.; Yang, J.K.; Wu, J.G.; Xin, X.D.; Li, Z.M.; Yuan, X.T.; Shen, X.Y.; Dong, S.X. Piezoelectric actuators and motors: Materials, designs, and applications. Adv. Mater. Technol. 2019, 5, 1900716. [Google Scholar] [CrossRef]
- Nakagawa, Y.; Saito, A.; Maeno, T. Nonlinear dynamic analysis of traveling wave-type ultrasonic motors. IEEE Trans. Ultrason. Ferroelectr. Freq. Control 2008, 55, 717–725. [Google Scholar] [CrossRef]
- Zhang, B.; Yuan, X.H.; Zeng, Y.S.; Lang, L.H.; Liang, H.L.; Zhang, Y.H. Dahl Friction Model for Driving Characteristics of V-Shape Linear Ultrasonic Motors. Micromachines 2022, 13, 1407. [Google Scholar] [CrossRef]
- Delibas, B.; Koc, B.; Thielager, J.; Stiebel, C. A novel drive and control method for piezoelectric motors in microscopy stages. In Proceedings of the Euspen’s 21st International Conference & Exhibition, Copenhagen, Denmark, 7–10 June 2021. [Google Scholar]
- Ho, S.T.; Jan, S.J. A piezoelectric motor for precision positioning applications. Precis. Eng. 2016, 43, 285–293. [Google Scholar] [CrossRef]
- Yoshimura, Y.; Tanaka, K.; Wakasa, Y.; Akashi, T.; Kobayashi, N.; Uchikado, S.; Osa, Y. Variable gain type IMC-PID speed control for ultra-sonic motor. In Proceedings of the 2008 World Automation Congress, Waikoloa, HI, USA, 28 September–2 October 2008; p. 513. [Google Scholar]
- Piah, K.A.M.; Yusoff, W.A.W.; Azmi, N.I.M.; Romlay, F.R.M. PSO-based PID Speed Control of Traveling Wave Ultrasonic Motor under Temperature Disturbance. In Proceedings of the IOP Conference Series: Materials Science and Engineering, Bandung Intitute Technol, Yogyakarta, Indonesia, 7–8 December 2017. [Google Scholar]
- Pan, S.; Niu, Z.J. Speed control of SGCMG driven by ultrasonic motor. Electr. Mach. Control 2019, 23, 73–79. [Google Scholar]
- Mu, S.; Shibata, S.; Yamamoto, T.; Nakashima, S.; Tanaka, K. Speed Control of Ultrasonic Motor using a Variable Gain Type PID Control Based on Neural Networks. In Proceedings of the 7th International Conference on Intelligent Systems and Image Processing, Taipei, Taiwan, 5–9 September 2019. [Google Scholar]
- Shi, J.Z.; Liu, Y.; Huang, J.T.; Xu, M.Y.; Zhang, J.W.; Zhang, L. Novel intelligent PID control of traveling wave ultrasonic motor. ISA Trans. 2014, 53, 1670–1679. [Google Scholar]
- Senjyu, T.; Miyazato, H.; Yokoda, S.; Uezato, K. Speed control of ultrasonic motors using neural network. IEEE Trans. Power Electron. 1998, 13, 381–387. [Google Scholar] [CrossRef]
- Liu, Y. Nonlinear Iterative Learning Control of Travelling Wave Ultrasonic Motor. In Proceedings of the 4th International Conference on Intelligent System and Applied Material (GSAM), Taiyuan, China, 23–24 August 2014; pp. 973–976. [Google Scholar]
- Song, L.; Shi, J.Z.; Zhou, Y. Secant iterative learning control of ultrasonic motor. ISA Trans. 2020, 103, 343–354. [Google Scholar]
- Kuhne, M.; Rochin, R.G.; Cos, R.S.; Astorga, G.J.R.; Peer, A. Modeling and Two-Input Sliding Mode Control of Rotary Traveling Wave Ultrasonic Motors. IEEE Trans. Ind. Electron. 2018, 65, 7149–7159. [Google Scholar] [CrossRef]
- Alem, S.F.; Izadi, I.; Sheikholeslam, F. Adaptive Sliding Mode Control of Hysteresis in Piezoelectric Actuator. IFAC PapersOnLine 2017, 50, 15574–15579. [Google Scholar] [CrossRef]
- Velasco, J.; Barambones, O.; Calvo, I.; Zubia, J.; de Ocariz, I.S.; Chouza, A. Sliding Mode Control with Dynamical Correction for Time-Delay Piezoelectric Actuator Systems. Materials 2019, 13, 132. [Google Scholar] [CrossRef]
- Liu, J.K.; Sun, F.C. Nominal Model-Based Sliding Mode Control with Backstepping for 3-Axis Flight Table. Chin. J. Aeronaut. 2006, 19, 65–71. [Google Scholar] [CrossRef]
- Jing, K. Trum Dynamic Modeling and the Optimal Control of Vibration Mode Vector. Ph.D. Thesis, Hebei University of Technology, Tianjin, China, 2017. [Google Scholar]
- Giraud, F.; Semail, B.; Audren, J.T. Analysis and phase control of a piezoelectric traveling-wave ultrasonic motor for haptic stick application. In Proceedings of the 38th Annual Meeting of the Industry-Applications-Society, Salt Lake City, UT, USA, 12–16 October 2003; pp. 1541–1549. [Google Scholar]
- Mashimo, T.; Terashima, K. Dynamic analysis of an ultrasonic motor using point contact model. Sens. Actuator A-Phys. 2015, 233, 15–21. [Google Scholar] [CrossRef]
- Ben Messaoud, W.; Giraud, F.; Lemaire-Semail, B.; Amberg, M.; Bueno, M.A. Amplitude Control of an Ultrasonic Vibration for a Tactile Stimulator. IEEE/ASME Trans. Mechatron. 2016, 21, 1692–1701. [Google Scholar] [CrossRef]
- Fang, Z.W.; Yang, T.Y.; Zhu, Y.F.; Li, S.Y.; Yang, M. Velocity Control of Traveling-Wave Ultrasonic Motors Based on Stator Vibration Amplitude. Sensors 2019, 19, 5326. [Google Scholar] [CrossRef]
- Senjyu, T.; Nakamura, M.; Urasaki, N.; Sekine, H.; Funabashi, T. Mathematical Model of Ultrasonic Motors for Speed Control. Electr. Power Compon. Syst. 2008, 36, 637–648. [Google Scholar] [CrossRef]
- Chen, N.; Jiao, X.K.; Tan, R.Y.; Zheng, J.J.; Fan, S.X. A multi-parameter speed control model of traveling wave ultrasonic motor. Int. J. Appl. Electromagn. Mech. 2020, 64, 457–464. [Google Scholar] [CrossRef]
- Qin, F.; Chen, Y.; Sun, X.Y.; Wang, Y.C.; Dai, G.; Du, Y.J. An Adjustable Magnetic Preloading and Stepping Controlled Piezoelectric Traveling-Wave Ultrasonic Micromotor. J. Microelectromech. Syst. 2019, 28, 264–270. [Google Scholar] [CrossRef]












| Symbol | Value | Symbol | Value |
|---|---|---|---|
| 27.58 mm2 | 2 × 10−5 kg·m2 | ||
| 1.72 × 10−5 kg·m2 | 2.2 × 10−4 N·m·s | ||
| 2.46 × 10−4 N·m·s | 2.6 × 10−4 N·m·s | ||
| 0.01 N·m·s | 0.008 N·m·s | ||
| 1.4 × 10−5 kg·m2 | 0.02 N·m·s |
Publisher’s Note: MDPI stays neutral with regard to jurisdictional claims in published maps and institutional affiliations. |
© 2022 by the authors. Licensee MDPI, Basel, Switzerland. This article is an open access article distributed under the terms and conditions of the Creative Commons Attribution (CC BY) license (https://creativecommons.org/licenses/by/4.0/).
Share and Cite
Liang, J.; Jing, K.; Dong, Y.; Lin, X.; Wang, Y. Nominal-Model-Based Sliding-Mode Control for Traveling-Wave Ultrasonic Motor. Micromachines 2022, 13, 1846. https://doi.org/10.3390/mi13111846
Liang J, Jing K, Dong Y, Lin X, Wang Y. Nominal-Model-Based Sliding-Mode Control for Traveling-Wave Ultrasonic Motor. Micromachines. 2022; 13(11):1846. https://doi.org/10.3390/mi13111846
Chicago/Turabian StyleLiang, Jing, Kai Jing, Yan Dong, Xiaping Lin, and Yuqing Wang. 2022. "Nominal-Model-Based Sliding-Mode Control for Traveling-Wave Ultrasonic Motor" Micromachines 13, no. 11: 1846. https://doi.org/10.3390/mi13111846
APA StyleLiang, J., Jing, K., Dong, Y., Lin, X., & Wang, Y. (2022). Nominal-Model-Based Sliding-Mode Control for Traveling-Wave Ultrasonic Motor. Micromachines, 13(11), 1846. https://doi.org/10.3390/mi13111846
